摘要
采用动电位极化、线性极化、电化学阻抗等电化学测试技术,研究了不同应力比 (R) 下MS X65管线钢在含H2S介质中的腐蚀电化学行为随交变载荷频率变化的规律。结果表明:自腐蚀电流密度Icorr、电荷转移电阻Rct、线性极化电阻Rp等腐蚀电化学动力学参数均随着交变载荷频率的增加,先上升或下降,后趋于稳定,存在一个临界交变频率;且由R=0.4时的0.25 Hz增大到R=0.85时的1 Hz,这与不同应力比和交变频率对电极表面电化学活性反应位点和腐蚀介质中阴极反应物扩散速率的交互影响有关。
关键词: MS X65管线钢; 交变载荷; 临界交变频率; 应力比
随着社会科技发展对油气资源的需求量持续增长及大量高含硫油气井的开采利用,管线钢在运输高H2S及酸性物质的油气过程中发生的管道失效问题越来越突出,因此对管线钢抗H2S腐蚀的能力提出了更高的要求[1-3]。在酸性湿H2S环境中,氢致开裂 (HIC) 及应力腐蚀开裂 (SCC) 作为管线钢失效的两种主要形式一直是材料腐蚀学科的研究重点[4],而上述两种失效形式的机理均与酸性H2S环境中产生的氢原子渗入管线钢有关[5-7]。而作为氢原子最主要来源的电化学腐蚀阴极反应对酸性环境中管线钢失效行为影响的研究也就变得至关重要。
大量研究表明,恒载荷能够使管线钢的腐蚀发生较为明显的改变[8]。Kim等[8]和Mohtadi-Bonab等[9]认为,在湿H2S环境中弹性范围内的静拉伸应力和应力应变速率对管线钢阴极氢还原促进作用比阳极Fe溶解速率更大。同时,Townsend等[10]也曾指出当金属表面原子键受到弹性应力拉伸时,质子放电活化能降低,从而使氢阴极还原交换电流密度增加,氢还原速度也随之增加。可见恒定应力的施加能够对材料的腐蚀电化学行为造成较大的影响。但油气管线在服役过程中不仅会受到大量恒载荷的作用,而且还会受到各种低频小幅交变载荷的作用,如管线内油气输送压力的波动、埋地管线因地面载荷的变化引起的震动、海洋管线承受的海浪波动及海流变化引起的震动及管线受到的卡曼震动等[11-15]。对于交变载荷,申毅等[16]研究发现交变载荷能够促进阳极溶解的过程从而提高其阳极溶解的电流密度,但并不影响阳极反应的机理。然而,Guan等[17]却认为当交变载荷的峰值压力不超过材料的屈服强度时,交变载荷对腐蚀电化学行为的影响基本可以忽略。
目前为止对交变载荷作用下材料腐蚀行为的研究多集中于对裂纹扩展行为的研究[18-20],有关交变载荷频率、应力比对材料腐蚀电化学行为的研究相对较少,且不同学者所持的观点也不同。因此,本工作采用电化学手段研究不同应力比下载荷频率对MS X65管线钢在酸性湿H2S环境中的腐蚀电化学行为影响,为耐酸管线钢失效行为分析和在高H2S环境下的安全服役提供理论依据和数据支持。
1 实验方法
实验材料为宝武钢铁集团生产的MS X65耐酸管线钢,其化学成分 (质量分数,%) 为:C 0.05,Si 0.26,Mn 1.14,P 0.022,S 0.035,Nb 0.021,V 0.04,Ti 0.016,Al 0.026,Cr 0.39,Cu 0.124,Ni 0.11,Mo 0.001,Fe余量。MS X65管线钢的显微组织主要为细小的多边形铁素体上均匀分布有少量珠光体,如图1所示。室温下其屈服强度为470 MPa,抗拉强度为550 MPa,工程应力应变曲线如图2所示。实验所用介质为pH 3.5的0.01 mol/L H2S+5%NaCl溶液。配置溶液前,所有待用溶液通入高纯氩气除氧2 h,然后将固定量的Na2S加入通过HCl调节pH 3.5的5% (质量分数) NaCl溶液中,通过Na2S与HCl反应生成H2S。最后采用0.01 mol/L HCl将溶液调至pH 3.5,以确保所有溶液最终的pH相同。

图1 MS X65管线钢显微组织图

图2 MS X65管线钢的工程应力-应变曲线
实验所用试样尺寸如图3a所示,实验前将试样工作段用砂纸逐级打磨至2000#,然后依次用去离子水及无水乙醇清洗并用冷风吹干,最后的打磨痕迹需与拉伸方向一致,用硅橡胶涂附试样工作段并留出1 cm2的测试面积,最后用硅橡胶将试样密封在如图3b的反应容器中。

图3 MS X65管线钢板状拉伸样尺寸交变载荷下电化学实验装置示意图
交变载荷的施加通过Instron 8801疲劳试验机实现,实验采用载荷控制,交变载荷的波形为拉-拉正弦波,峰值应力为325 MPa,实验选用的应力比 (R为谷值应力/峰值压力) 分别为0.4及0.85,载荷频率分别为0.05、0.1、0.25、0.5、1.0和1.5 Hz。在整个实验中均需保持交变载荷的施加,且所有实验测试时温度均为 (25±2) ℃。
电化学测试在AutoLab AUT86052电化学工作站上进行。电化学测试均采用三电极体系,MS X65管线钢拉伸样为工作电极,铂片为辅助电极,饱和甘汞电极 (SCE) 为参比电极。在进行电化学测试前,实验介质导入容器后立即将工作电极在-1.3 V (vs SCE) 下极化3 min以去除试样表面带有的氧化膜。在阴极极化去膜后立即进行开路电位 (OCP) 的测量,待OCP稳定后进行其他电化学测量。动电位极化曲线的测量范围为-0.6~0.35 V,测试扫描速率为0.25 mV/s。电化学阻抗谱 (EIS) 的测试电位为0 V (vs OCP),测试频率范围为105~10-2 Hz,交流信号幅值为10 mV,通过ZView对阻抗谱进行拟合得到相关元件参数。线性极化曲线采用动电位扫描方法测试,以0.25 mV/s的速率从-0.01~0.01 V得到线性极化曲线,然后通过软件拟合斜率得到线性极化电阻Rp。
2 结果与讨论
2.1 不同应力比和载荷交变频率下MS X65管线钢开路电位
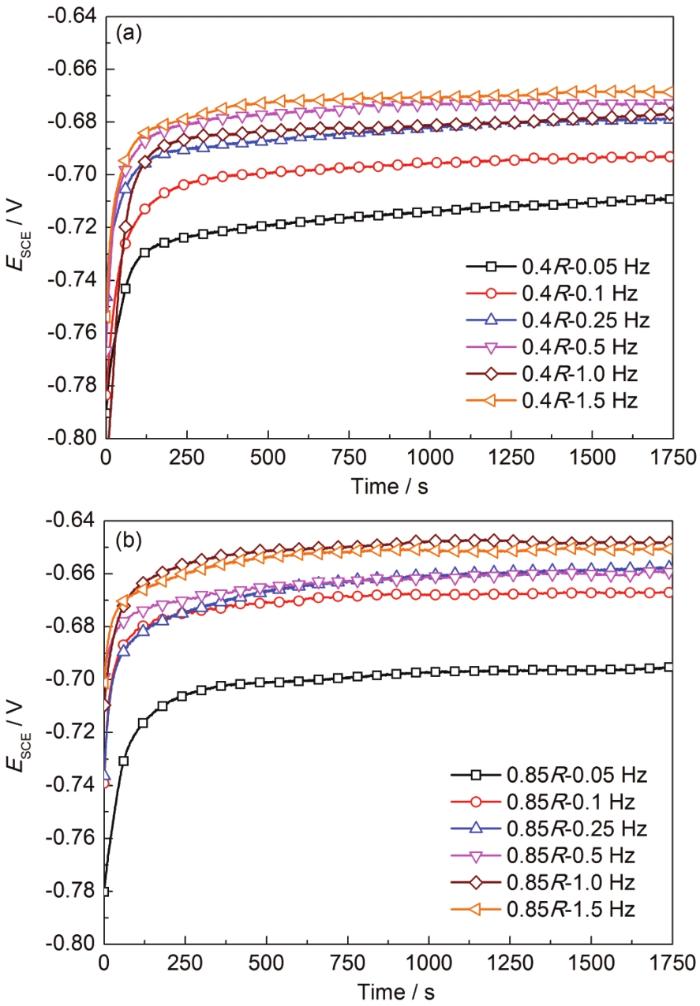
MS X65管线钢在酸性H2S介质中应力比0.4和应力比0.85、不同交变频率下开路电位随时间变化曲线如图4所示。

图4 不同应力比及频率下的开路电位
由图4a和b可看出,随着不同频率载荷施加,MS X65管线钢在湿H2S环境中的开路电位随时间快速正移,并达到稳定。图5给出应力比0.4和应力比0.85下,MS X65管线钢在湿H2S环境中开路电位随载荷频率的变化。随着施加载荷频率的增加,开路电位均正向小幅移动,当载荷频率超过一定临界值后基本保持不变。定义此临界频率为MS X65管线钢在酸性H2S介质下的腐蚀电化学热力学动力学参数由随频率升高变化较快转变为随频率升高基本不变所对应的频率,即交变载荷频率变化能够对腐蚀电化学动力学造成较大影响的最大频率。在较低应力比下 (R=0.4) 时,开路电位在载荷频率升至0.25 Hz后基本保持不变,并最终稳定在-0.673 V (vs SCE) 左右;而在较高应力比下 (R=0.85) 时,载荷频率超过1 Hz后趋于稳定且最终稳定在-0.658 V (vs SCE) 左右,比应力比0.4下正移约15 mV。开路电位越正表明试样的热力学腐蚀倾向越小,可以发现,随着载荷频率的升高,MS X65管线钢在湿H2S环境中腐蚀的热力学倾向均减小,且高应力比时临界频率下降,腐蚀热力学倾向减小。

图5 不同应力比下开路电位随交变载荷频率变化折线图
2.2 不同应力比和载荷交变频率下MS X65管线钢动电位极化行为
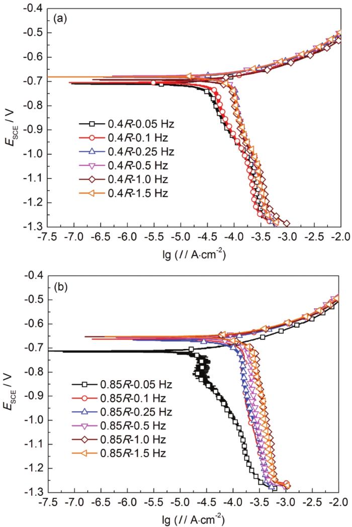
应力比0.4和应力比0.85下,不同载荷频率下MS X65管线钢在湿H2S环境中的动电位极化曲线如图6所示。通过CView对动电位极化曲线进行拟合,结果列于表1。

图6 MS X65管线钢在不同应力比及频率下的极化曲线
表1 MS X65管线钢在不同应力比及频率下的极化曲线拟合结果

由图6可以看出,不同应力比、各载荷频率下,阳极极化曲线均表现出相似的活化溶解行为,表明频率的变化对MS X65管线钢在酸性湿H2S环境中阳极溶解行为基本不产生影响。阴极极化曲线均表现出扩散极化为主的特征,这表明MS X65管线钢在酸性湿H2S环境中发生腐蚀主要由阴极极化过程控制。仔细观察发现,阴极扩散极化行为随载荷频率变化而变化:除-1.25 V以后完全活化极化控制以外,低应力比 (R=0.4) 下,在加载频率f<0.25时,阴极先由活化和扩散混合控制,-0.85 V左右转化为由扩散控制为主;f≥0.25 Hz时,阴极包括两步扩散过程,这与文献[21-23]的研究结果一致,即与H+的扩散过程有关;高应力比 (R=0.85) 时,f<0.1 Hz时,呈现出与其他频率下明显不同的阴极极化行为,先扩散控制,再活化和扩散混合控制;f≥0.1 Hz时,虽然阴极极化只由扩散控制,但阴极极限扩散电流密度Ic,d会随频率增加而变大,并最终在f≥1 Hz后达到稳定,这与表1中的Ic,d拟合结果相同。
另外,从表1中可以看出,通过极化曲线拟合出的自腐蚀电位Ecorr随载荷频率变化的规律与开路电位的测量结果基本一致。通过阳极极化曲线拟合得到自腐蚀电流Icorr也随着载荷频率的增加而先上升后逐渐趋于稳定,低应力比 (R=0.4) 时,Icorr达到稳定的临界频率为0.25 Hz,而高应力 (R=0.85) 比时达到稳定的临界频率会升至1 Hz。另外,0.85R下的Icorr是0.4R下的2.5倍左右,表明虽然各交变频率下高应力比试样相对于低应力比试样的腐蚀倾向更小,但腐蚀速率更快。
2.3 不同应力比和载荷交变频率下MS X65管线钢电化学阻抗行为
EIS是一种以小幅度的正弦波电位或者电流为扰动信号的电化学测量方法,由于其对腐蚀体系的影响较小而应用广泛。不同应力比及频率下MS X65管线钢在酸性H2S环境中的EIS如图7和8所示。可以看出,不同应力比及频率下的Nyquist图均由高中频段的一个容抗弧和低频段的Warburg阻抗扩散组成,此时整个电极过程由扩散过程控制,与极化曲线测试结果一致。

图7 MS X65管线钢在应力比0.4下的阻抗谱

图8 MS X65管线钢在应力比0.85下的阻抗谱
采用图9所示的等效电路对EIS进行拟合[24,25]。拟合后的电荷转移电阻Rct随频率的变化如图10所示。Rct能够代表腐蚀电化学反应发生的速率,由图10可以看出:低应力比 (R=0.4) 时,Rct随载荷频率的增加而降低,当频率增加至0.25 Hz后,Rct基本保持不变;高应力比 (R=0.85) 时,Rct同样表现出先降低后稳定的趋势,最终在1 Hz时趋于稳定。

图9 拟合阻抗谱所用电路图

图10 不同应力比及频率下MS X65管线钢的阻抗值
2.4 不同应力比和载荷交变频率下MS X65管线钢线性极化行为
线性极化电阻法是一种快速测量瞬时腐蚀速率的方法。当工作电极在相对其开路电位的±10 mV范围内被极化时,极化电位与极化电流近似成线性关系,其比值可以被定义为极化电阻Rp。通过线性极化方程 (1) 和 (2) 可以得到[26]:

式中,Rp为线性极化电阻;△E为极化电位与开路电位的差值;△i为△E对应的极化电位下的极化电流;Icorr为自腐蚀电流密度;ba和bc分别为阴阳极的Tafel常数;B为常数。
MS X65管线钢在交变载荷下的线性极化曲线如图11所示。腐蚀电流与极化电阻成反比关系,且对于同样的腐蚀电化学体系,Tafel常数相同。因此可以通过Rp得到Icorr随载荷频率变化的规律,图12给出了Rp随频率变化的结果。可以看出,R=0.4时,线性极化电阻随载荷频率的增加先急剧降低,大于0.25 Hz临界频率后趋于稳定,基本保持不变。当R=0.85时,线性极化电阻总体上也是随着频率的升高先降低后趋于稳定,与R=0.4不同的是临界频率增大至1 Hz,与EIS的拟合结果有较好的一致性。

图11 MS X65管线钢在不同应力比及频率下的线性极化曲线

图12 不同应力比下极化电阻随载荷频率的变化规律
2.5 不同应力比和载荷交变频率下MS X65管线钢电化学行为影响的机理探讨
MS X65管线钢在酸性H2S介质中发生的腐蚀电化学反应可分为阳极反应和阴极反应,其中:
阳极反应主要为铁基体的溶解:
![]()
阴极反应:
![]()
H2S的二次水解:

总反应为:
![]()
交变载荷的施加一方面能够造成试样表面大量新的活性反应位点的出现,加速腐蚀电化学反应的发生,另一方面由于试样表面不断处于动态循环的状态,其表面的电化学反应过程会受到交变载荷应力比及交变频率的影响,主要表现为影响溶液中反应物的扩散过程[17]。本研究中交变频率和应力比对MS X65管线钢在湿H2S环境中的阳极活化极化行为影响不大,但对以扩散控制为主的阴极极化行为影响却较大 (图6a和b),这说明交变频率和应力比对电化学腐蚀的影响主要表现在对介质中反应物扩散速率的影响上。R=0.4时,谷值应力和峰值应力差别较大,当交变频率较低 (f<0.25 Hz) 时,试样表面的震动及不稳定未对腐蚀介质中反应物扩散过程造成过多的影响 (图6a),但此时由于交变载荷带来的试样表面反应活性位点的增加极大地促进了腐蚀反应发生的速率,造成了Rp和Rct的下降及Icorr的急剧升高。频率较高 (f≥0.25 Hz) 时,此时虽然更高的交变频率造成了试样表面更多的反应活性位点,但此时试样表面的扰动对H2S解离过程生成的氢离子的扩散造成了很大影响,此时电化学反应主要受到了两步扩散控制而不再是反应活性位点的影响,因此Rp、Rct及Icorr (图10和12及表1) 均趋于稳定。然而,在R=0.85时,谷值应力和峰值应力差别较小,当交变频率较低 (f<1 Hz) 时,虽然受交变频率升高的影响,阴极反应迅速由活化、扩散混合控制变为扩散控制,但不同的是在0.1~0.5 Hz之间有较为平缓的过渡,虽然在0.1 Hz时阴极电化学反应过程就已经表现为典型的扩散过程控制,但此时因交变载荷带来的较多活性位点而增加的极限扩散电流密度Ic,d并未达到最大值,而在 (f≥1 Hz) 时,交变载荷升高带来的反应物扩散速率的增加达到极限并使Ic,d趋于稳定。值得强调的是,R=0.4情况下并未出现类似R=0.85情况下的阴极两步扩散控制过程,可能是因为交变应力比较小时,电化学过程对交变频率的变化更敏感而造成的。总体而言,对于R=0.85时各频率下的腐蚀速率均要高于R=0.4时的现象,可能是由于相对于R=0.4,R=0.85时同交变频率下试样表面状态变化的速率相对于R=0.4情况下要慢的多,这就意味着有更多的反应活性位点有足够的时间及机会参与电极反应,进而使Icorr更大一些。
3 结论
(1) MS X65管线钢在湿H2S环境中的开路电位均先随交变载荷频率的增加而升高,最终达到稳定,R=0.85比R=0.4应力比下正移约15 mV。Rp、Rct随交变频率增加而降低,Icorr随频率增加而升高,三者最终均趋于稳定。
(2) 不同应力比下交变频率对MS X65管线钢在湿H2S环境中腐蚀电化学行为影响主要表现在对阴极极化行为的影响上,阴极极化过程由活化、扩散混合控制逐渐变为扩散控制为主,且临界频率由R=0.4时的0.25 Hz上升为R=0.85时的1 Hz,这可能与应力比和交变频率变化对电极表面电化学活性反应位点和腐蚀介质中阴极反应物扩散速率的交互影响有关。
参考文献
[1]
Cheng A K, Chen N Z.
An extended engineering critical assessment for corrosion fatigue of subsea pipeline steels
[J]. Eng. Fail. Anal., 2018, 84: 262
[本文引用: 1]
[2]
Zhao X Y, Huang F, Gan L J, et al.
Hydrogen-induced cracking susceptibility and hydrogen trapping efficiency of the welded MS X70 pipeline steel in H2S environment
[J]. Acta Metall. Sin., 2017, 53: 1579
赵小宇, 黄峰, 甘丽君等.
MS X70酸性环境用管线钢焊接接头氢致开裂敏感性及氢捕获效率研究
[J]. 金属学报, 2017, 53: 1579
[3]
Yuan W, Huang F, Gan L J, et al.
Effect of microstructure on hydrogen induced cracking and hydrogen trapping behavior of X100 pipeline steel
[J]. J. Chin. Soc. Corros. Prot., 2019, 39: 536
[本文引用: 1]
袁玮, 黄峰, 甘丽君等.
显微组织对X100管线钢氢致开裂及氢捕获行为影响
[J]. 中国腐蚀与防护学报, 2019, 39: 536
[本文引用: 1]
[4]
Zhou C S, Zheng S Q, Chen C F, et al.
The effect of the partial pressure of H2S on the permeation of hydrogen in low carbon pipeline steel
[J]. Corros. Sci., 2013, 67: 184
[本文引用: 1]
[5]
Mohtadi-Bonab M A, Ghesmati-Kucheki H.
Important factors on the failure of pipeline steels with focus on hydrogen induced cracks and improvement of their resistance: review paper
[J]. Met. Mater. Int., 2019, 25: 1109
[本文引用: 1]
[6]
Mohtadi-Bonab M A, Eskandari M, Szpunar J A.
Role of cold rolled followed by annealing on improvement of hydrogen induced cracking resistance in pipeline steel
[J]. Eng. Fail. Anal., 2018, 91: 172
[7]
Zhang Q C, Huang Y L, Blackwood D J, et al.
On the long term estimation of hydrogen embrittlement risks of titanium for the fabrication of nuclear waste container in bentonite buffer of nuclear waste repository
[J]. J. Nucl. Mater., 2020, 533: 152092
[本文引用: 1]
[8]
Kim S J, Jung H G, Kim K Y.
Effect of tensile stress in elastic and plastic range on hydrogen permeation of high-strength steel in sour environment
[J]. Electrochim. Acta, 2012, 78: 139
[本文引用: 2]
[9]
Mohtadi-Bonab M A, Eskandari M, Rahman K M M, et al.
An extensive study of hydrogen-induced cracking susceptibility in an API X60 sour service pipeline steel
[J]. Int. J. Hydrogen Energy, 2016, 41: 4185
[本文引用: 1]
[10]
Townsend H E Jr.
Effects of stress on entry and permeation of hydrogen in iron
[J]. Corrosion, 1970, 26: 361
[本文引用: 1]
[11]
Zhang T M, Zhao W M, Li T T, et al.
Comparison of hydrogen embrittlement susceptibility of three cathodic protected subsea pipeline steels from a point of view of hydrogen permeation
[J]. Corros. Sci., 2018, 131: 104
[本文引用: 1]
[12]
Wu W, Li Y, Ji L K, et al.
Progress in research on fatigue behavior of pipeline steel
[J]. Welded Pipe Tube, 2009, 32(8): 31
武威, 李洋, 吉玲康等.
管线钢疲劳行为研究进展
[J]. 焊管, 2009, 32(8): 31
[13]
Mohtadi-Bonab M A, Eskandari M.
A focus on different factors affecting hydrogen induced cracking in oil and natural gas pipeline steel
[J]. Eng. Fail. Anal., 2017, 79: 351
[14]
Zhong Y, Xiao F R, Shan Y Y, et al.
Study of relationship between fatigue crack growth rate and fatigue life for pipeline steels
[J]. Acta Metall. Sin., 2005, 41: 523
钟勇, 肖福仁, 单以银等.
管线钢疲劳裂纹扩展速率与疲劳寿命关系的研究
[J]. 金属学报, 2005, 41: 523
[15]
Hagiwara N, Méziere Y, Oguchi N, et al.
Fatigue behavior of steel pipes containing idealized flaws under fluctuating pressure
[J]. JSME Int. J., 1999, 42A: 610
[本文引用: 1]
[16]
Shen Y.
The influence of the fluctuating stress to the SCC behavior of X80 pipeline steel in near neutral environments
[D]. Xi’an: Xi’an Shiyou University, 2015
[本文引用: 1]
申毅.
波动应力对X80管线钢在近中性环境中SCC的影响
[D]. 西安: 西安石油大学, 2015
[本文引用: 1]
[17]
Liu Z Y, Li X G, Du C W, et al.
Local additional potential model for effect of strain rate on SCC of pipeline steel in an acidic soil solution
[J]. Corros. Sci., 2009, 51: 2863
[本文引用: 2]
[18]
Li Y, Pei Z B, Zaman B, et al.
Effects of plastic deformations on the electrochemical and stress corrosion cracking behaviors of TC2 titanium alloy in simulated seawater
[J]. Mater. Res. Express, 2018, 5: 116516
[本文引用: 1]
[19]
Zhao T L, Liu Z Y, Du C W, et al.
Corrosion fatigue crack initiation and initial propagation mechanism of E690 steel in simulated seawater
[J]. Mater. Sci. Eng., 2017, A708: 181
[20]
Chen T, Nutter J, Hawk J, et al.
Corrosion fatigue crack growth behavior of oil-grade nickel-base alloy 718. Part 1: effect of corrosive environment
[J]. Corros. Sci., 2014, 89: 146
[本文引用: 1]
[21]
Ning J, Zheng Y G, Brown B, et al.
A thermodynamic model for the prediction of mild steel corrosion products in an aqueous hydrogen sulfide environment
[J]. Corrosion, 2015, 71: 945
[本文引用: 1]
[22]
Zheng Y G, Ning J, Brown B, et al.
Investigation of cathodic reaction mechanisms of H2S corrosion using a passive SS304 rotating cylinder electrode
[J]. Corrosion, 2016, 72: 1519
[23]
Zheng Y G, Ning J, Brown B, et al.
Electrochemical model of mild steel corrosion in a mixed H2S/CO2 aqueous environment in the absence of protective corrosion product layers
[J]. Corrosion, 2015, 71: 316
[本文引用: 1]
[24]
Liu H X, Huang F, Yuan W, et al.
Corrosion behavior of 690 MPa grade high strength Bainite steel in a simulated rural atmosphere
[J]. J. Chin. Soc. Corros. Prot., 2020, 40: 416
[本文引用: 1]
刘海霞, 黄峰, 袁玮等.
690 MPa级高强贝氏体钢在模拟乡村大气中的腐蚀行为
[J]. 中国腐蚀与防护学报, 2020, 40: 416
[本文引用: 1]
[25]
Sun F Y, Yang X, Lu Y, et al.
Influence of SRB on microbiological corrosion of X100 pipeline steel in saline soil
[J]. Pipeline Technol. Equip., 2018, (5): 42
[本文引用: 1]
孙福洋, 杨旭, 鲁元等.
盐渍性土壤中SRB对X100管线钢微生物腐蚀行为的影响
[J]. 管道技术与设备, 2018, (5): 42
[本文引用: 1]
[26]
Gao X, Shi W, Lu Q, et al.
Corrosion characteristics of TC17 titanium alloy in HCl solution
[J]. Gas Turb. Exp. Res., 2018, 31(6): 30
[本文引用: 1]
高兴, 石炜, 陆铨等.
TC17钛合金在盐酸溶液中的腐蚀特性
[J]. 燃气涡轮试验与研究, 2018, 31(6): 30
[本文引用: 1]
免责声明:本网站所转载的文字、图片与视频资料版权归原创作者所有,如果涉及侵权,请第一时间联系本网删除。
官方微信
《中国腐蚀与防护网电子期刊》征订启事
- 投稿联系:编辑部
- 电话:010-62316606-806
- 邮箱:fsfhzy666@163.com
- 中国腐蚀与防护网官方QQ群:140808414



