引用文章:
宗玙, 宋仁国, 花天顺, 蔡思伟, 王超, 李海。 脉冲频率对7050高强铝合金微弧氧化膜层的影响[J]. 航空学报, 2019, 40(11): 422967.(点击可阅读原文)
研究背景
7050高强铝合金,具有密度小、强度高、加工性能好以及焊接性能好等特点,是重要的轻质高强结构材料,且被广泛地应用于航空工业以及民用工业等领域。但是,由于7xxx系列铝合金化学性质活泼,会发生点蚀、晶间腐蚀以及剥落腐蚀,其耐蚀性大大限制了它的进一步使用。近年来,人们对提高铝及其铝合金的耐蚀性展开了大量的研究,发现通过阻碍其与外界环境接触进行表面改性是一种很好的方法。
微弧氧化(Micro-arc Oxidation,MAO),又称等离子体电解氧化,是在阳极氧化基础上发展起来的一种表面改性技术,是通过电解液和相应的电参数相结合,在Al、Mg等金属及其合金的表面依靠弧光放电所产生的瞬时高压作用,生长出以基体金属为氧化物为主的陶瓷层。微弧氧化工艺简单,生产效率高,基本无排放,因而是一种环保型表面处理技术。研究发现脉冲频率对微弧氧化膜层具有重要的影响。
解决问题及创新点
为了研究脉冲频率对7050高强铝合金微弧氧化膜层性能的影响,在脉冲频率为50、250、500、750、1000 Hz的条件下,在硅酸盐溶液下((Na2PO3)6:10 g/L,Na2SiO3:8 g/L,NaOH:2 g/L),应用微弧氧化(MAO)技术在7050高强铝合金表面制备了陶瓷膜层,并采用扫描电镜(SEM)、X射线衍射仪(XRD)、电化学工作站、摩擦磨损试验机等手段分别对陶瓷膜的表面形貌、相组成、耐腐蚀性、耐磨性等进行分析。
总结与展望
1)7050高强铝合金MAO陶瓷膜层表面呈多孔状,且频率越高,表面越粗糙,膜层越薄。当脉冲频率为250 Hz时,表面最为光滑,膜层最厚。
2) 摩擦磨损试验表明,当脉冲频率逐渐升高时,摩擦因数呈现先下降后升高的趋势,当脉冲频率为250 Hz时,摩擦因数达到最低值,失重量最低,此时耐磨性最好。
3)显微硬度测试表明,当脉冲频率逐渐升高时,微弧氧化膜层的硬度值呈现先上升后下降的趋势,当脉冲频率为250 Hz时,显微硬度值达到最高。
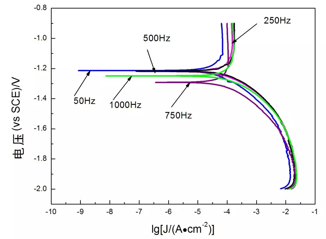
4) 浸泡试验以及电化学试验表明,脉冲频率对MAO陶瓷膜层的耐蚀性有着显著的影响;当脉冲频率为250 Hz时,膜层的受损程度最低,且自腐蚀电位最高,自腐蚀电流最低,耐腐蚀性能最佳。

图1 不同脉冲频率下MAO膜层的摩擦系数随时间的变化曲线

图2 不同脉冲频率下7050铝合金MAO膜层的动电位极化曲线
团队研究方向
常州大学材料科学与工程学院腐蚀与防护研究所,是一个致力于环境敏感断裂与纳米表面工程的创新团队。已在国内外重要刊物及会议上发表论文110余篇,其中SCI收录30余篇,EI收录40余篇。
作者简介

宗玙 女,硕士研究生,就读于常州大学材料科学与工程学院。主要研究方向为金属腐蚀与防护。目前共发表学术论文6篇,其中SCI论文4篇,EI论文2篇。
近几年团队相关论文
[1] Yu Zong, Guoping Cao, Tianshun Hua, Siwei Cai, Renguo Song. Effects of electrolyte system on the microstructure and properties of MAO ceramics coatings on 7050 high strength aluminum alloy[J]. Anti-Corrosion Methods and Materials, 2019.(DOI: 10.1108/ACMM-02-2019-2083)
[2] Yu Zong, Renguo Song, Tianshun Hua, Siwei Cai. Effects of graphene additive on microstructure and properties of MAO ceramic coatings formed on AA7050[J]. Materials Research Express, 2019,6:056558.
[3] Yu Zong, Renguo Song, Tianshun Hua, Siwei Cai, Chao Wang, Hongxia Li. Effects of current frequency on the MAO coatings on AA7050[J]. Surface Engineering, 2019.(DOI:10.1080/02670844.2019.1596577)
(封面图片来源:西南建材网)
免责声明:本网站所转载的文字、图片与视频资料版权归原创作者所有,如果涉及侵权,请第一时间联系本网删除。
官方微信
《中国腐蚀与防护网电子期刊》征订启事
- 投稿联系:编辑部
- 电话:010-62316606-806
- 邮箱:fsfhzy666@163.com
- 中国腐蚀与防护网官方QQ群:140808414



