摘要:
采用宏观形貌观察,SEM,XRD和EIS等方法研究了汽车材料DC06超深冲冷轧钢在中性盐雾环境中的腐蚀行为,并分析了其腐蚀机制。结果表明,在中性盐雾实验过程中,DC06超深冲冷轧钢随实验时间的延长,试样表面的腐蚀产物不断增多,腐蚀产物颜色由最初的棕红色变为黑褐色,其表面形貌由针状团簇向棉团状转变;腐蚀产物厚度不断增加,截面有较多的横向及纵向裂纹,腐蚀产物呈现分层且与基材的结合不紧密;腐蚀产物含有Fe3O4,α-FeOOH和γ-FeOOH,主要为Fe3O4;EIS解析结果显示双电层电阻随实验时间的延长不断降低,其界面腐蚀速率呈增加趋势,且双电层电阻数值较小,腐蚀产物对材料的保护作用不明显。
关键词: 中性盐雾 ; 超深冲冷轧钢 ; 电化学阻抗 ; 腐蚀层保护性 ; SEM
冷轧低碳钢和超低碳钢具有良好的深冲性能、焊接性能和较好的力学性能,因而广泛应用于汽车零部件领域[1,2]。冷轧低碳钢按用途可分为一般用钢、冲压用钢、深冲压用钢和超深冲压用钢。DC06冷轧板属于超深冲钢,具有优异的延展性、冲压性及拉伸性,广泛适用于超深冲成形和生产极复杂的变形零部件[3,4,5]。但其腐蚀过程和腐蚀行为尚未进行系统的研究。
目前,汽车冷轧板腐蚀行为和耐蚀性能研究主要采用室外暴露实验和实验室加速实验。室内加速实验主要采用中性盐雾 (NSS) 实验,其具有实验周期短、可操作性强的优点,可以在室内条件下快速评价汽车零部件的耐蚀性。张建斌等[5]研究了AF1410高强钢在中性盐雾环境下的腐蚀,认为其腐蚀失重随腐蚀时间的延长而增加。郝雪龙等[6]在WHT 1300HF高强钢的中性盐雾实验中证明腐蚀是从点蚀开始,并且腐蚀孔内金属不断溶解扩大而形成大面积腐蚀。于美等[7]研究了23Co14Ni12Cr3Mo超高强钢在模拟海水环境中的腐蚀行为,以中性盐雾作为海洋大气模拟标准,认为Cl-和氧含量是引发材料点蚀的重要原因。刘建华等[8,9]通过对比0Cr18Ni5与AF1410高强钢的腐蚀行为,确定了Cr含量对钢材腐蚀行为的影响。周克崧等[10]研究40CrNi2SiMoVA超高强钢耐盐雾腐蚀性能,得出盐雾腐蚀24 h后该材料即发生明显腐蚀。但是,中性盐雾实验主要集中在短期即约480 h的实验现象进行讨论分析。
本文以DC06超深冲冷轧板为研究材料,采用中性盐雾实验模拟研究材料在海洋大气环境的长期腐蚀行为和过程。采用扫描电镜 (SEM) 观察腐蚀宏观形貌,采用X射线衍射 (XRD) 分析其腐蚀产物组成,采用电化学阻抗 (EIS) 研究其腐蚀电化学行为,以此探讨DC06超深冲钢在海洋大气环境的腐蚀行为及腐蚀机理。
1 实验方法
1.1 实验材料
研究材料为DC06超深冲冷轧板,其主要成分 (质量分数,%) 为:C 0.005;Si 0.01;Mn 0.1;P 0.003;S 0.007;Al 0.02;N 0.001;Ti 0.02;Nb 0.004;Fe余量。中性盐雾实验试样规格为:150 mm×75 mm×1.2 mm,试样经碱洗、酒精超声清洗后吹干,采用胶布封装4棱边后备用。EIS试样规格为10 mm×10 mm×1.2 mm,试样经环氧树脂封装,后用200,400,800和1200#砂纸打磨暴露面,之后经过抛光处理,使样品呈光亮状态后备用。
1.2 实验步骤
中性盐雾实验参照标准GB/T 10125-2012《人造气氛腐蚀试验盐雾试验》进行,实验仪器为YSYW-90盐雾实验箱,采用5% (质量分数) NaCl溶液作为气氛制造溶液。具体方法为:试样放在V型架上,测试面朝上,与水平面呈25°。为了观察其表面变化情况及其腐蚀行为,每一批次采用4块平行样品进行数据采集。电化学测试样品横放在V型架上,暴露面向上,并与水平面呈25°,每一批次采用3个平行样。取样和电化学测试时间分别为24,48,72,96,120,240,480,720,960和1200 h。
实验结束后,测试样放在室内风干0.5 h,用清水洗净表面盐雾,再用酒精清洗后用吹风机冷风吹干。为了观察合金腐蚀后横截面微观形貌,将腐蚀样品沿垂直于腐蚀层的方向锯开,通过机械抛光制备横截面观察样品。
采用尼康 (Nikon) D7100单反套机收集红光照相样;通过Quanta-250型SEM观察腐蚀层的表面和截面微观形貌;通过Rigaku-D/max-2500PC型XRD测试腐蚀产物的组成成分;通过CS350型电化学工作站进行EIS测试,采用3.5% (质量分数) NaCl溶液作为电解液,扫描频率为105~10-1 Hz,采用ZSimpWin软件解析实验结果。
2 实验结果
2.1 腐蚀产物宏观形貌
DC06冷轧板经中性盐雾实验后其宏观腐蚀形貌如图1所示。试样经24 h实验后,表面大部分已经覆盖了一层棕红色腐蚀产物,仅有少部分基体裸露 (图1a);试样经48 h实验后,表面覆盖腐蚀产物范围少量扩大,腐蚀产物颜色略微加深 (图1b);试样经过120 h实验后,腐蚀产物覆盖面积进一步扩大,并且腐蚀层厚度开始增加,呈黑色纹路状,仅有极少部分基材裸露 (图1c);试样经过240 h实验后,表面已经完全被腐蚀层覆盖,表面锈层呈现亮红褐色,并存在明显黑色腐蚀产物纹路 (图1d);试样经过720 h实验后,表面锈层颜色开始向深色转变呈黄褐色,其中纹路状腐蚀产物颜色逐渐转变为黑色 (图1e);试样经过1200 h实验后,表面锈层绝大部分转变成黑色 (图1f)。

图1 DC06冷轧板在中性盐雾实验不同时间后的宏观表面形貌
2.2 腐蚀产物微观形貌
DC06冷轧板腐蚀产物表面的微观形貌如图2所示。试样经中性盐雾实验240 h后的形貌显示,腐蚀产物多数呈针状团簇,团簇直径约5~12 μm,在团簇下方可以看到大量不规则针状结构 (图2b);实验720 h后的SEM像显示,试样表面仍然有大量针状团簇,直径约为5~8 μm,团簇上针状密度相对240 h的有所下降,其下方腐蚀产物开始向棉球状转化,在棉球状腐蚀产物表面可以看到比较明显的裂纹 (图2d);实验1200 h的SEM像显示,腐蚀产物主要呈现棉球状,且其有较明显的堆积现象,已经基本观测不到针状结构的腐蚀产物(图2f)[11,12]。

图2 DC06冷轧板在中性盐雾实验后腐蚀产物的微观形貌
DC06冷轧板腐蚀产物截面微观形貌如图3所示。试样经中性盐雾实验240 h后的截面形貌显示,其腐蚀产物的最大厚度约为15 μm。DC06冷轧板的腐蚀产物松散,存在一些横向和纵向的裂纹,Cl-和O2易从裂纹渗入与基体接触,故腐蚀产物对基体的保护作用较小 (图3a)。实验720 h时,DC06钢表面锈层增厚,从 (图3b) 中可以看到明显的分层现象,上层颜色较深,约厚15 μm,腐蚀产物上存在大量的横向和纵向裂纹;下层腐蚀产物颜色较浅,最厚处约20 μm,其上也有一定裂纹,故对腐蚀的抑制作用也不强。同时从下层腐蚀产物部分可以明显看到少量区域暴露出的基体表面,因此材料腐蚀存在明显不均匀性。实验1200 h后,腐蚀产物表面分层现象已经不再明显 (图3c),可以看到腐蚀层厚度超过50 μm,腐蚀产物上表面可以看见大量的裂纹,并且其颜色相对内层腐蚀产物的较深,内层腐蚀产物相对于720 h的明显致密,但腐蚀产物上仍可以看到较多细小的裂纹,故其对基体的保护程度也有限。

图3 DC06冷轧板在中性盐雾实验后的截面形貌图
2.3 腐蚀产物组成
DC06冷轧板经中性盐雾实验1200 h后表面腐蚀产物的XRD谱见图4。试样表面腐蚀产物主要为Fe3O4,α-FeOOH和γ-FeOOH。产物中存在的α-FeOOH和γ-FeOOH是由于中性盐雾实验中湿度很高,容易在材料表面形成水膜,外表面供氧比较充足。腐蚀最初阳极Fe溶解,生成Fe2+ ;阴极氧去极化控制,Fe2+与OH-结合生成Fe(OH)2,之后继续氧化脱水形成FeO(OH) 和Fe3O4。其中,γ-FeOOH不易形成致密的氧化膜,对提高材料的耐蚀性没有明显帮助;α-FeOOH容易形成致密的氧化膜,可以将基体与外界环境隔绝,从而提高材料的耐蚀性。而XRD结果表明,腐蚀产物中含有Fe3O4。其来源为:随实验的进行,腐蚀产物厚度不断增加,此时基体材料由于α-FeOOH氧化膜保护,与外界环境尤其是水分子接触较少,故最终生成的腐蚀产物为Fe3O4[13,14,15]。

图4 DC6冷轧板经中性盐雾实验1200 h后表面腐蚀产物的XRD谱
2.4 EIS谱
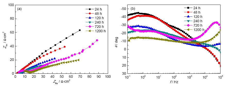
图5为DC06钢经中性盐雾实验不同时间后的阻抗谱。可以看出,随着实验的进行容抗弧半径随时间的增加而减小,故腐蚀产物对基材未有明显的保护作用。同时随着实验时间的延长,阻抗谱低频容抗弧开始叠加扩散控制的Warburg阻抗,阻抗谱均表现为拉长变形的半圆弧形,其原因为随着实验的进行,基材表面完全被腐蚀产物覆盖,参与反应的离子主要以扩散的形式通过腐蚀产物到达基材表面,同时存在腐蚀介质加速反应发生。此时的电极反应为混合控制,即为扩散和活化的共同作用。

图5 DC06冷轧板中性盐雾实验不同时间的EIS测试结果
为了更好地理解DC06冷轧板在模拟海洋大气环境下的阻抗特点,采用ZsimpWin软件对其电化学阻抗进行拟合。文献[16]对腐蚀产物膜的电化学阻抗拟合结果为R(QR)(Q(RW) (图6a)。本文根据实际实验结果进行电路图简化,获得最佳的拟合等效电路为R(Q(RW))(图6b),拟合数据如表1所示。在等效电路图中,等效元件Rs表示溶液电阻;Q1代表电极表面吸附腐蚀产物膜电容;Q2代表电极表面与溶液之间的双层电容;n1为常相位角指数,表示弥散效应程度,本实验n1的数值范围在0.51~0.85;Rct为电荷转移电阻;Rr代表腐蚀产物膜电阻;W代表Warburg半无限扩散阻抗[17,18]。

图6 DC06冷轧板的阻抗等效电路图
表1 等效电路拟合元件值

表1的结果表明,最初24和48 h虽然存在锈层,但其与基体的结合力较弱,拟合的Rr为1.519 Ω·cm2。在240 h内,Rr数值不断减小,可知腐蚀层完全未起到保护作用。实验720 h时,Rr增大到7.268 Ω·cm2,涨幅不大,证明保护作用依然不明显。到1200 h时,Rr为6.8 Ω·cm2,可以认为和720 h差别不大。由于Rr值过小,可以直接忽略,在等效电路中去掉该元件,同时认为其腐蚀层未有保护作用;Q1值为10-4数量级,其值也过小可以认为为通路,故可以将拟合等效电路图简化为如图6b所示,因而认定表面腐蚀层厚度增加没有对基体合金起到保护作用。同时随着时间的延长,电极表面的Rct由634.5 Ω·cm2下降到101.4 Ω·cm2,说明腐蚀产物的存在使电荷转移的阻力减小,促进了腐蚀反应的进行。
2.5 讨论与分析
DC06冷轧板在长时间中性盐雾实验过程中,由于长时间处于高Cl-环境,在试样表面形成一层很薄的含Cl-的水膜,试样表面的腐蚀以电化学腐蚀方式进行。而DC06中主要成分以Fe为主,其他组分含量较低,所以材料主要是Fe先参加反应,材料表面最初呈明显的红褐色可以得出产物为Fe3+,其化学反应为:
Fe → F e 3 + + 3 e -(1)
2 F e 3 + + 6 O H - → F e 2 O 3 + 3 H 2 O(2)
由宏观形貌可以看到,最初的240 h基体在还未完全被腐蚀产物覆盖时,腐蚀层主要以横向延伸为主,腐蚀产物增厚并不明显,故240 h时试样腐蚀层相对平整。240 h之后,腐蚀产物厚度增加呈不均匀性,故腐蚀产物表面存在明显纹路。
DC06冷轧板腐蚀240 h时,微观形貌中的针状团簇经对比分析其为典型的针铁矿,主要成分应为α-FeOOH[7,19],其颜色应呈现红棕色,与宏观形貌观察的结果一致。之后,针状团簇逐渐向棉团状α-FeOOH[19]发生转变,其过程自腐蚀产物底层开始并逐渐影响到腐蚀产物表层。在DC06冷轧板腐蚀720 h的微观形貌中,右侧针状团簇中心部分已经向棉团状发生转变,并最终发生完全转变。1200 h的微观形貌中,棉团状团簇直径基本与240 h针状团簇一致,也表明了腐蚀产物是基于针状团簇转变而成,其原因是材料处于长时间盐雾环境下,腐蚀产物表面的Cl-浓度偏高,从而诱发了腐蚀产物的形态结构转变。
从DC06冷轧板微观横截面上可以看到,腐蚀产物层中存在大量的裂纹,并随着腐蚀进行,裂纹逐渐减少,但是其依然不够致密。同时,240~720 h实验期间的腐蚀产物厚度增加约20 μm,720~1200 h期间约增加15 μm,考虑偏差的情况下,可以认为腐蚀并没有较明显的减缓,腐蚀产物对基体不具有明显的保护作用。这点从拟合电路中Rr的变化也可以得出相同的结论。其原因可能为在实验后期,内层腐蚀产物主要为Fe3O4,其与基体的结合并不紧密,不能有效的防止Cl-及O2与基体接触,故而没有明显的抗腐蚀性。
3 结论
(1) DC06冷轧板在中性盐雾实验过程中,腐蚀产物颜色由最初的棕红色变为黑褐色,表面形貌由针状团簇向棉团状转变;腐蚀产物主要为Fe3O4,同时还含有α-FeOOH和γ-FeOOH。
(2) DC06冷轧板在中性盐雾实验过程中表面的腐蚀产物上存在较多的横向及纵向裂纹,腐蚀产物呈现分层且与基材的结合不紧密。随着实验时间延长,裂纹的数量有所下降,但始终存在,故腐蚀产物无法对钢基体形成有效的保护。
(3) DC06冷轧板的电化学阻抗结果表明:随实验时间延长,界面腐蚀速率呈增加趋势,且双电层电阻数值较小,腐蚀产物对钢基体的保护作用不明显。
The authors have declared that no competing interests exist.
免责声明:本网站所转载的文字、图片与视频资料版权归原创作者所有,如果涉及侵权,请第一时间联系本网删除。
官方微信
《中国腐蚀与防护网电子期刊》征订启事
- 投稿联系:编辑部
- 电话:010-62316606-806
- 邮箱:fsfhzy666@163.com
- 中国腐蚀与防护网官方QQ群:140808414



