摘要
重点关注了吉林油田中更换的L80油套管的腐蚀行为,通过SEM和体式显微镜对其表面形貌和腐蚀产物进行了分析,同时采用电化学测试和慢应变速率拉伸实验对模拟油井采出液环境中试样的电化学性能和应力腐蚀开裂风险进行了评估。结果表明,在吉林油田服役一段时间后,L80套管钢的外壁腐蚀比较轻微,主要以均匀腐蚀为主,仅有少量的腐蚀产物在表面附着;而L80套管的内壁腐蚀程度相对严重,有一层致密的腐蚀产物覆盖在基体表面,且在产物膜下出现了一定程度的局部腐蚀和点蚀坑,伴随着一些细小的微裂纹。室内研究表明,服役环境中的水分增加、CO2和H2S的产生均能加速其电化学过程,从而加速L80钢在油田采出液中的腐蚀。然而,这些因素对其应力腐蚀敏感性影响较小。L80钢在模拟油田采出水环境中具有较好的耐应力腐蚀开裂性能,说明其作为油井中的油套管材料具有较小的应力腐蚀开裂风险。
关键词: L80油套管; CO2/H2S; 含水率; 应力腐蚀; 点蚀
近年来,随着石油和天然气资源需求的加大,各类油管钢得到大量应用[1,2,3]。在油气开采过程中,油管材料会长期处于油井采出液环境中。油井采出液及伴生气中通常含有大量的CO2和H2S等气体,随着时间的推移,能够形成强烈的酸性腐蚀环境。同时由于采油井底压力、油藏温度、含水率和pH值等因素变化,往往会导致油管钢发生严重的腐蚀[4,5,6,7,8,9],甚至由此引发安全问题。世界上多处油田均发生过由于腐蚀特别是应力腐蚀开裂 (SCC) 导致的油管钢失效事故[10,11]。
吉林油田是一个老油田,位于吉林省松原市,始建于1961年,为了提高采收率采用了CO2注入驱油技术。然而,CO2注入导致下游设备发生腐蚀[12],其在长期注入开采过程中还会产生次生的H2S,进一步加重腐蚀。油管钢服役环境属于典型的H2S与CO2共存环境。相关调查表明,随着注水开采时间的延长,原油含水率达到约85%,腐蚀可能已经发生并进入了快速发展阶段。高含水率、CO2以及次生H2S等多重因素的协同作用极易引发腐蚀,大大加速油管钢的腐蚀速率,甚至提高受力管段和部件的硫致SCC风险[13,14,15],极大程度上影响油套管的服役寿命。因此,有必要对吉林油田环境中服役的油管钢开展腐蚀行为调查,对其腐蚀机理进行分析,同时结合室内腐蚀电化学技术和慢应变速率拉伸实验,判断其SCC开裂倾向,为油管钢在吉林油田的安全服役提供相应的理论依据和技术支撑。
本工作利用体式显微镜、扫描电子显微镜 (SEM) 手段,结合现场工况条件,对现场服役过的L80油管钢内外壁腐蚀行为进行了对比分析,通过电化学阻抗谱、极化曲线测量和慢应变速率拉伸实验研究了L80钢在模拟油田采出水环境中的电化学和SCC行为。
1 实验方法
1.1 实验材料
实验材料为CO2驱油区块某采油井中服役过一段时间的L80油套管钢,其化学成分 (质量分数,%) 为:C 0.29,S 0.001,P 0.007,Si 0.21,Mn 1.32,Cu 0.09,Fe余量。利用线切割切取一端面积为1 cm×1 cm的块状试样,并通过砂纸逐级打磨,然后抛光和酒精清洗,接着用4% (体积分数) 硝酸进行刻蚀,金相组织照片见图1。可以看出,L80油管钢的晶粒细小均匀,主要由针状铁素体和少量多边形铁素体组成,并未观察到较大尺寸的夹杂物。

图1 L80油管钢金相组织
1.2 带锈油管腐蚀行为分析
将L80油管钢带锈试样置于VHX-2000体式显微镜和Quanta 250 型SEM下观察其锈层形貌,同时采用EDAX Elite T型能谱仪 (EDS) 对锈层成分进行鉴定。随后,利用除锈液 (500 mL H2O+500 mL HCl+4~10 g六次甲基四胺) 超声去除表面腐蚀产物,利用SEM和体视显微镜分别对其表面腐蚀形貌和点蚀深度进行分析。
1.3 室内电化学测量
利用传统的三电极体系在P2273型电化学工作站上进行电化学阻抗谱和极化曲线测量,其中L80钢为工作电极,Pt片为对电极,饱和甘汞电极 (SCE) 为参比电极。试样尺寸为10 mm×10 mm×3 mm,工作面积为1 cm×1 cm。测量之前先将试样用环氧树脂密封,将工作面用砂纸逐级打磨至2000#,然后置于腐蚀环境中30 min,获得稳定的开路电位。阻抗谱的激励电位为10 mV,扫描范围为105~10-2 Hz。极化曲线电位扫描区间为-1.2~0 VSCE,扫描速率为0.5 mV/s。每组电化学曲线测量3次以确保其准确性。电化学测试环境为不同含水率、CO2和H2S分压下的油田腐蚀环境模拟液,实验温度为80 ℃,含水率分别为30%和80%,CO2分压分别为0,0.5和1.1 MPa,H2S分压分别为0,0.03和0.15 MPa,其中总压为10 MPa。
1.4 室内慢应变速率拉伸实验
利用慢应变速率拉伸实验研究了L80钢在上述模拟油井采出液下的SCC行为和敏感性,模拟溶液成分与电化学测试溶液保持一致。采用标准的片状拉伸试样,其中间工作段长度为30 mm,宽度和厚度分别为6和2 mm。为了更好地模拟已服役过的L80钢的力学性能,先将试样置于油田采出液腐蚀环境中720 h,然后取出试样进行实验。其中一组试样直接在空气中拉伸,其它试样分别在各自的腐蚀液中拉伸。实验前先将试样置于500 N预加载力维持24 h以便避免夹具间缝隙,随后开始实验直至试样断裂。拉伸速率为1×10-6 s-1,每组曲线测量3次以确保其准确性。
2 结果与讨论
2.1 L80钢腐蚀产物成分
图2所示为L80油管钢带锈的表面腐蚀形貌。可见,L80油管钢的外壁腐蚀比较轻微,仅出现一些斑点锈迹,外层有脱落现象,外表面附着少量的腐蚀产物。油管钢表面并未观察到明显的局部腐蚀或者点蚀现象。相比之下,油管钢内壁锈层堆积明显,形成了一层薄的腐蚀产物膜,腐蚀产物较为致密,为基体提供了一定程度的保护作用,但也易于引起局部腐蚀行为[16,17],加速油管钢的腐蚀穿孔或SCC。

图2 L80油管钢表面腐蚀产物形貌照片
图3所示为L80钢内外表面腐蚀产物EDS分析结果。内外壁腐蚀产物元素组成基本相同,主要由Fe、S、O和C这4种元素构成,其中S和C含量远高于基体成分。这说明L80钢在服役过程中受到外来介质的侵蚀。在石油开采过程中,油井采出液及伴生气中含有CO2和H2S等气体,容易与L80油管钢接触并形成FeS和FeCO3等腐蚀产物。图3中列出了各元素的质量分数,其结果显示外壁产物中S含量达到26.58%,而内壁中S仅有10.13%。这是由于FeS较为致密,通常处于腐蚀产物膜的最内侧,EDS检测到的仅为表面的S含量,因此相比外侧产物中的S含量有所降低。

图3 L80油管钢腐蚀产物EDS分析结果
2.2 L80钢腐蚀形貌
除去表面腐蚀产物后,采用体式显微镜对其表面点蚀坑深度进行检测,如图4所示。从表面形貌可以看出,外壁腐蚀较为一致,以均匀腐蚀为主。表面蚀坑较少,并未观察到较大较深的点蚀坑,所测坑深为35.47 μm。相比之下,L80钢内壁上局部腐蚀程度较为严重,最大蚀坑深度可达118.59 μm,远高于外侧蚀坑的,这是由于腐蚀产物膜的覆盖减缓了均匀腐蚀过程,诱导腐蚀坑的萌生和扩展,相比之下更容易引起SCC。

图4 L80油管钢表面点蚀坑观察
随后,通过SEM对试样内外表面的腐蚀形貌进行了观察,结果如图5所示。从图5a可以看出,L80钢的外壁腐蚀较为轻微,主要以均匀腐蚀为主,并未观察到蚀坑和裂纹。而内壁腐蚀非常严重,以局部腐蚀为主,呈现出大量的点蚀坑和微裂纹,这种局部腐蚀现象极易引起SCC,导致L80油管钢的突然失效。结合上述腐蚀产物分析和点蚀坑深度测量可以确定,管内壁上大量点蚀坑和微裂纹的萌生主要是由于生成的致密腐蚀产物膜,导致油管钢的腐蚀形式由全面腐蚀向局部腐蚀转变。同时,致密产物膜下容易产生闭塞自催化效应,从而诱发点蚀和微裂纹,在长期服役过程中影响其服役安全。

图5 L80油管钢除锈后的腐蚀形貌观察
2.3 电化学行为
2.3.1 阻抗谱分析
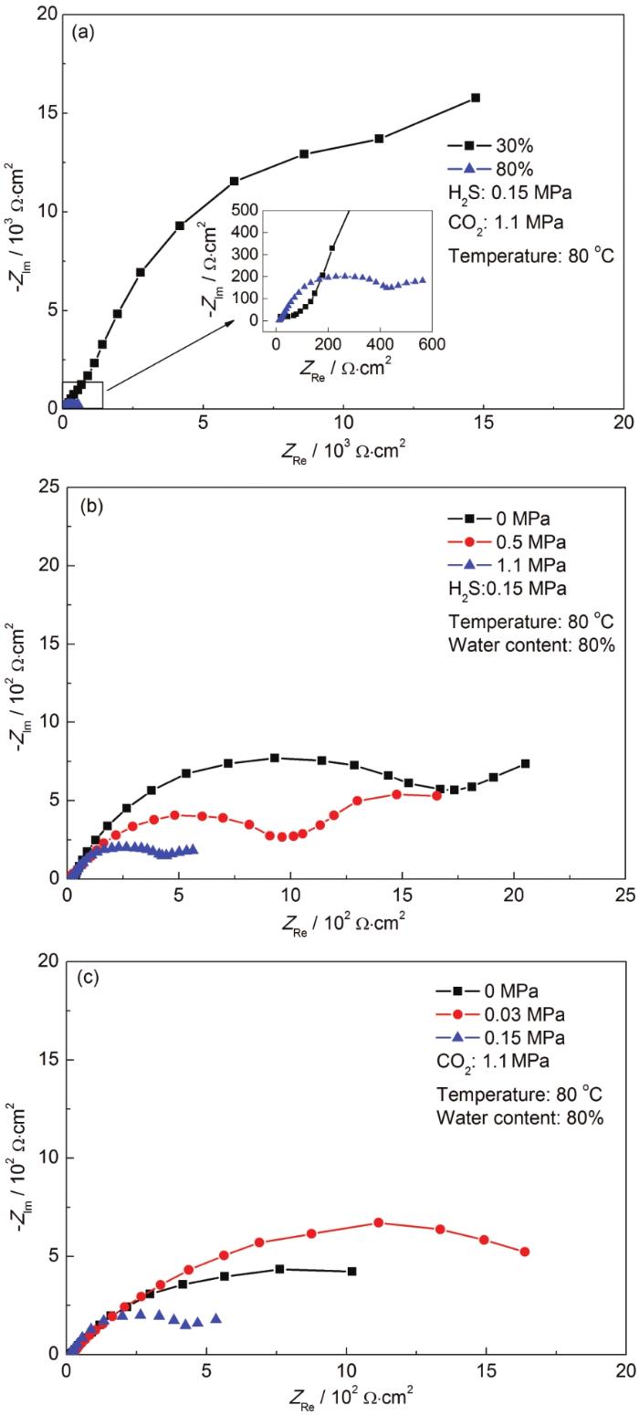
采用不同含水率、CO2和H2S分压条件下的油田腐蚀模拟液对L80钢电化学和SCC行为进行了研究,图6所示即为各种条件下的阻抗谱结果。各种条件下L80钢的阻抗均呈现出两个半圆弧,表明有两个时间常数。由图6a可以看出,含水率对阻抗弧半径产生显著的影响,当含水率从30%增加到80%,其阻抗弧半径从15000 Ω·cm2降到了600 Ω·cm2,表明其耐蚀性急剧下降。相比含水率,CO2和H2S分压的改变对阻抗的影响较低。当CO2分压从0 MPa增加到0.5 MPa时,其阻抗值变化较小;而继续增大CO2分压到1.1 MPa时,其阻抗弧半径有一个明显的缩小,体现出腐蚀能力的下降。H2S与上述两种因素不同,当其分压较低时,如0.03 MPa,其阻抗呈现出增大的现象;而继续增加H2S浓度至0.15 MPa时,阻抗弧半径则显著降低。这是因为当H2S浓度较低时,试样表面能够形成一层致密的腐蚀产物膜,为基体提供了一定程度的保护作用,从而增大了其耐蚀性。

图6 L80钢在不同条件下的油田模拟液中的电化学阻抗谱
2.3.2 极化曲线分析
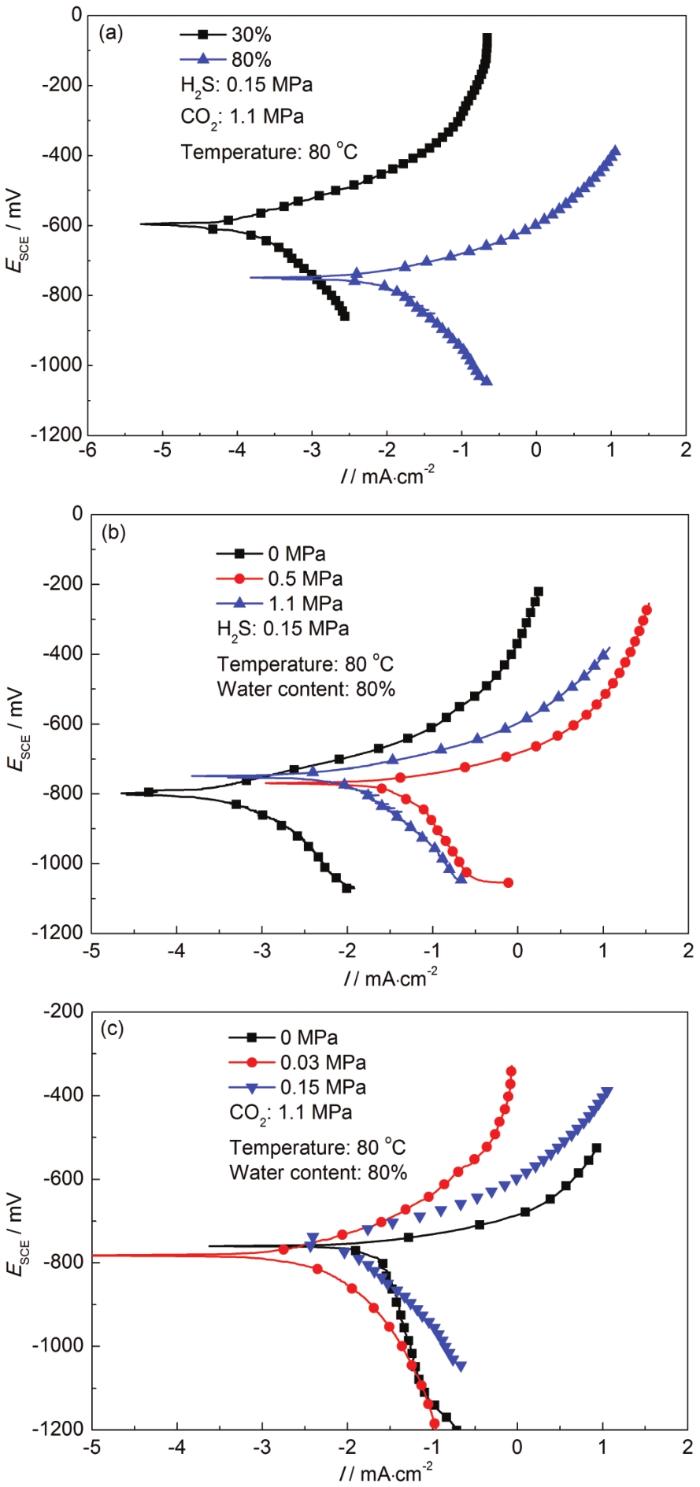
图7所示为L80钢在不同条件下的动电位极化曲线。可以看出,含水率、CO2和H2S浓度的变化并没有改变L80钢在油田模拟液中的阴阳极过程,阳极表现出明显的活性溶解过程,而阴极为吸氧和析氢反应的混合过程。含水量从30%增大到80%时,阴阳极过程均呈现出明显的右移现象,如图7a所示,腐蚀电流密度增大了两个数量级,表明其电化学过程得到显著的促进。同时,腐蚀电位降低近200 mV,说明含水率的增大降低了L80钢的耐蚀性,显著加剧了腐蚀电化学过程,这一结果与EIS测试结果相一致。

图7 不同条件下L80钢在模拟油田采出水环境中的极化曲线
CO2和H2S分压的改变并未对腐蚀电位产生较大的影响,这在热力学上说明,其耐蚀性并未受到明显的改变,如图7b和c所示,这与EIS分析结果相一致。然而,CO2和H2S的增加对其阴阳极过程也产生了一定的影响,随着CO2的增加,电化学阴阳极过程均呈现出右移的趋势,腐蚀电流密度增大一个数量级,说明其电化学过程得到较大的促进。H2S浓度的增大则呈现出不同的趋势,当浓度仅为0.03 MPa时,电化学阴阳极过程均向左移动,腐蚀电流密度有所下降,表明其电化学过程受到一定程度的抑制;继续增大H2S浓度时,阳极过程依然处于轻微的受抑制状态,而阴极析氢过程有所增加,这与H2S引起的酸化有关。
2.4 实验室内SCC行为分析
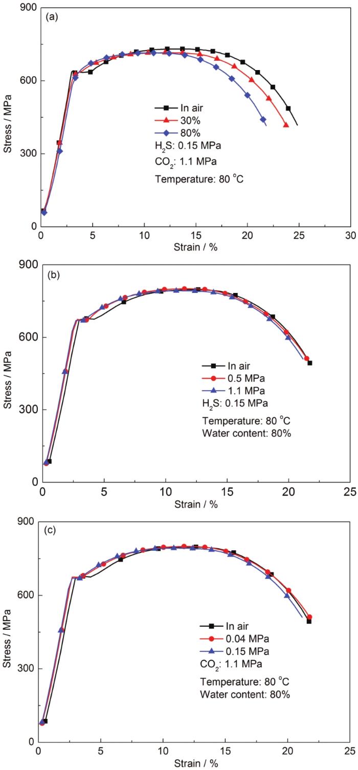
为了比较L80钢在不同含水率、CO2和H2S浓度下的油田模拟液中SCC行为,分别在相应环境中进行了慢应变速度拉伸实验,结果如图8所示。可以看出,含水率、CO2和H2S对L80钢的SCC行为均产生了一定的影响,且影响程度有所不同。图8a显示随着含水率的增加,L80钢的强度变化不大,但延伸率有所降低,试样在含80%水的油气开采液环境中表现出一定程度的敏感性。相比之下,无论是CO2浓度升高至1.1 MPa,还是H2S浓度升至0.15 MPa,L80钢的应力-应变曲线几乎与空气中的相重合,延伸率仅有微小的变化。这说明在特定的含水率 (80%) 条件下,L80钢的SCC敏感性受CO2和H2S浓度变化的影响较小,具有较好的抗SCC能力。

图8 不同条件下L80钢在模拟油田采出水环境中的应力应变曲线
3 分析与讨论
通过对吉林油田取回的L80油管钢进行腐蚀分析,显示其内外壁腐蚀并不一致,油管外壁以均匀腐蚀为主,腐蚀产物较少,尽管有一定的点蚀出现,但点蚀坑深度相对较浅,整体而言腐蚀较为轻微。相比之下,油管内壁表面覆盖有一层致密的腐蚀产物膜,膜下发生了较为严重的局部腐蚀,表面点蚀坑和微裂纹清晰可见,点蚀坑深度达约120 μm,容易诱发SCC,对其使用造成严重的威胁。
同时,为调查油田腐蚀环境中各因素与L80钢的电化学和应力腐蚀的关系,在实验室内分别进行了不同条件下的电化学阻抗谱、极化曲线测量和慢应变速率拉伸实验。结果显示,含水率为腐蚀过程中最为重要的环境因素,随着含水率的增加,阻抗弧半径急剧下降,腐蚀电流密度和腐蚀电位也急剧变化,表明其耐蚀性大大降低。更重要的是,SCC敏感性也随着含水率的增加而有所升高。虽然CO2和H2S对电化学过程产生了较为明显的影响,但在特定的含水率下,SCC行为几乎没有变化,SCC敏感性差异较小,表明L80钢在油田采出液环境中具有较好的耐SCC能力。
吉林油田腐蚀环境以油水混合液和CO2/H2S伴生气为主,腐蚀初期含水率及H2S含量不高时,外壁腐蚀轻微;随着服役时间的延长,含水率及H2S含量有所增加,环境介质腐蚀性加剧,导致一定程度点蚀坑的生成,并形成较少的腐蚀产物。由于油管钢外表面涂覆有一层黑色的保护膜,在静态环境下,油水混合液中的水分难以接触L80钢表面,而轻微的腐蚀又难以形成稳定的腐蚀产物层,整个外壁表面活性一致,始终以均匀腐蚀为主。
相比之下,L80油管钢内壁始终处于流动的油水混合液以及CO2/H2S伴生气环境中,尽管腐蚀介质与外壁差异不大,但是介质的流动导致离子交换速度加快,在腐蚀初期含水率以及H2S含量较低时,腐蚀速率在一定程度上也能加快,形成一些结构致密的腐蚀产物FeCO3和FeS,而且这些腐蚀产物与基体具有较好的粘附性。随着时间的推移,腐蚀产物堆积逐渐形成一层薄的腐蚀产物层,对基体起到一定的保护作用[18,19],降低腐蚀速率,这也可以从实验室内H2S组的电化学结果中看出。随着吉林油田开采时间的延长,CO2和次生的H2S含量急剧增加,含水率持续上升,最高达到85%,环境介质腐蚀性显著增强,在流动力的作用下,水分更易穿透腐蚀产物层并在其下诱发局部腐蚀。同时,CO2和H2S的增多带来更多的腐蚀介质,因而外部环境中的腐蚀性离子不断补充,局部腐蚀效应显著加强,形成更深的点蚀坑,甚至诱发微裂纹的形成[20,21,22,23]。然而,考虑到油田浸出液中含水量才是诱发SCC更为主要的因素,而油管取出时检测到的水含量达85%,说明含水量增加的空间不大,即对SCC行为的进一步影响较为有限。因此,综合来看,吉林油田中使用的L80钢对SCC具有较好的抵抗力,适合用于采油井油管材料,在使用过程中只需加强对L80油管钢的监测和检测,即可避免出现问题。
4 结论
(1) L80钢在吉林油田环境中服役一段时间后,其内外表面均发生一定程度的腐蚀,外壁腐蚀轻微,仅可见较浅的腐蚀坑;内侧腐蚀较为严重,出现了尺寸较深的蚀坑,同时还伴随有一定的微裂纹。
(2) 点蚀坑和SCC微裂纹均由含水率高的CO2/H2S环境引起,其中较高的含水率和流动的内部介质是引起其内表面腐蚀严重和出现裂纹的主要原因。
(3) 总体而言,所选用的L80钢在模拟油田采出液环境下具有较低的SCC敏感性,CO2和H2S等环境因素对其SCC行为影响较小,适合用于采油井油管材料。
免责声明:本网站所转载的文字、图片与视频资料版权归原创作者所有,如果涉及侵权,请第一时间联系本网删除。
官方微信
《中国腐蚀与防护网电子期刊》征订启事
- 投稿联系:编辑部
- 电话:010-62316606-806
- 邮箱:fsfhzy666@163.com
- 中国腐蚀与防护网官方QQ群:140808414



