油气管道在通过河流、连片水塘、高速公路、海湾等特殊地理环境时,最优的方式是水平定向钻穿越(HDD)。随着水平定向钻技术的发展,穿越管道的管径、长度和穿越深度等记录不断被刷新,穿越的地质环境也越来越严苛。同样随着管道技术的发展,油气输送管道的直径越来越大,管壁越来越厚,管道自重也越来越大,直径1422mm管道达到约1t/m,这些参数的增大对水平定向钻技术的要求也越来越高,如保持穿越管道防腐蚀层完整性。
为最大限度降低管道腐蚀穿孔引起的环境破坏和财产损失,穿越管道防腐蚀层质量的评价技术得到了广泛应用,且越来越受重视。本文对国内外几种水平定向钻穿越管道外防腐蚀层质量评价方法进行了介绍,希望为编制相应的国家规范做准备。
1 评价方法分类
目前,国内外相关标准对水平定向钻穿越管道外防腐蚀层质量的评价方法进行了规定。根据测试过程中所测电位的不同,这些方法分为“ON(通电)电位测试法”和“OFF(断电)电位测试法”。
01 ON电位测试法
该方法通过向被测管道施加阴极测试电流,使管道的ON电位偏移达到要求,然后根据电流和电位的变化计算管道防腐蚀层的绝缘电阻率或单位电流密度。其要点是测试管道通电后的管/地ON电位。ON电位测试法有俄罗斯ΓOCT 51164-1998标准规定的防腐蚀层绝缘电阻率法和澳大利亚/新西兰等国采用的单位电流密度法。
■ 防腐蚀层绝缘电阻率法
防腐蚀层绝缘电阻率法主要应用于中俄原油管道项目、中亚塔国项目、中亚哈国项目的水平定向钻穿越管道外防腐蚀层质量评价中。
ON电位测试防腐蚀层绝缘电阻率法的测试接线如图1所示。

图1 主动齿轮与从动齿轮啮合图片
1.管道;2.未经防腐蚀处理的管头;3.电缆;4.直流供电电源;5.临时辅助阳极地床;6.安培表;7.可调电阻器;8.伏特表;9.铜/饱和硫酸铜参比电极
测试步骤分为以下四步:
(1)切断被测管道的所有外部电连接,测量管道两端的管/地自然腐蚀电位和土壤电阻率。
(2)按图1所示连接测试仪器和仪表。其中,临时辅助阳极地床与被测管道的距离不小于100m。开启电源,调节可调电阻,直至管/地ON电位较自然腐蚀电位的偏移量大于0.7V。
(3)测量管道两端的管/地ON电位,记录对应的测试电流值。
(4)按下式计算被测管道的防腐蚀层绝缘电阻率,对防腐蚀层质量进行评价。

式中:RT为管道防腐蚀层绝缘电阻率,Ω·m2;RP为阳极地床分流电阻率,Ω·m2;ρ为土壤电阻率,Ω·m;D为管道直径,m;H为管道的埋深,m;R为钢管的纵向电阻,Ω/m;L为管道长度,m;ΔU为电位偏移量,V;I为测试电流,A。
ON电位测试防腐蚀层绝缘电阻率法的管道防腐蚀层质量评价准则为:
(1)对于两层、三层聚烯烃防腐蚀层和热收缩聚烯烃材料防腐蚀层,其绝缘电阻率应不小于30×104Ω·m2;
(2)对于液体环氧防腐蚀层和熔结环氧粉末防腐蚀层,其绝缘电阻率应不小于10×104Ω·m2;
(3)对于沥青类防腐蚀层,其绝缘电阻率应不小于5×104Ω·m2。
■ 单位电流密度法
该方法主要应用于澳大利亚或新西兰等国家的项目上,但还没有成形标准,应用较少,国内也没有引入,部分项目文件上有简单的应用介绍。
ON电位测试单位电流密度法的测试接线如图2所示。

图2 单位电流密度法测试接线示意图
1.直流供电电源;2.电流通断器;3.直流电压表;4.直流电流表;5.临时阳极地床;6.铜/饱和硫酸铜参比电极
测试步骤为:
(1)切断被测管道的所有外部电连接,测量管道两端的管/地自然腐蚀电位。
(2)按图2所示连接测试仪器和仪表。其中,临时辅助阳极地床与被测管道的距离不小于100m。开启电源,调节可调电阻,使管/地ON电位较自然腐蚀电位的偏移量大于1000mV。
(3)测量管道两端的管/地ON电位,记录对应的测试电流值。
(4)按下式计算被测管道的单位电流密度,对防腐蚀层质量进行评价。

式中:J为单位电流密度即每1000mV的ON电位变化时引起的电流密度变化,μA/(m2·mV);I为测试电流,μA;Ua,on为a点ON电位,mV(相对于铜/饱和硫酸铜参比电极CSE,下同);Ub,on为b点ON电位,mV;Ua,自为a点自然腐蚀电位,mV;Ub,自为b点自然腐蚀电位,mV;D为管道直径,m;L为管道长度,m。
ON电位测试单位电流密度法的管道防腐蚀层质量评价准则为:每1000mV ON电位变化,单位电流密度不大于1μA/(m2·mV)时,管道防腐蚀层质量合格,反之,管道防腐蚀层质量不合格。
02 OFF电位测试法
OFF电位测试法通过向被测管道施加阴极测试电流,使被测管道的OFF电位达到要求,再根据电位和电流的比值计算被测管段的防腐蚀层绝缘电阻率、电导率或单位电流密度。该方法的要点是测试管道通电后的管/地OFF电位,极化时间应足够。
OFF电位测试法有NACE TM0102-2002标准规定的防腐蚀层电导率法、国内几个标准规定的防腐蚀层绝缘电阻率法及澳大利亚/新西兰等国使用的单位电流密度法。
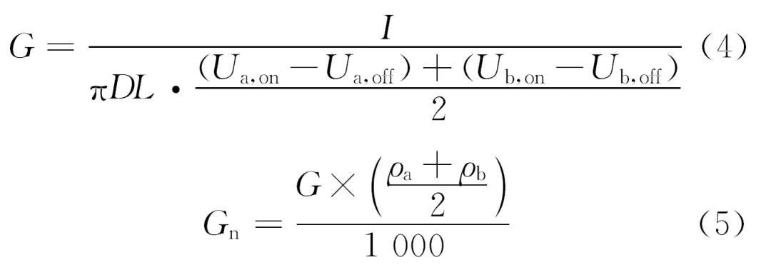
■ 防腐蚀层电导率法
防腐蚀层电导率法是现行水平定向钻穿越管道防腐蚀层质量评价中应用最广泛的方法,国际管道研究委员会(PRCI)对此方法的评分高达83分,排名第一。OFF电位测试防腐蚀层电导率法的测试接线也如图2所示,测试步骤为:
(1)切断被测试管道的所有外部电连接,测量管道两端的管/地自然腐蚀电位和土壤电阻率。
(2)按图2所示连接测试仪器和仪表。其中,临时辅助阳极地床与被测管道的距离不小于100m。开启电源,调节可调电阻,使管/地的OFF电位不低于-1100mV。
(3)测量管道两端的管/地ON电位和OFF电位,记录对应的测试电流值。
(4)按下式计算被测管道的标称防腐蚀层电导率,对防腐蚀层质量进行评价。

式中:G为防腐蚀层电导率,S/m2;Gn为防腐蚀层标称电导率(在电阻率为1000Ω·cm土壤中),S/m2;I为测试电流,A;Ua,on为a点ON电位,V;Ub,on为b点ON电位,V;Ua,off为a点OFF电位,V;Ub,off为b点OFF电位,V;D为管道直径,m;L为管道长度,m;ρa为a点处的土壤电阻率,Ω·cm;ρb为b点处的土壤电阻率,Ω·cm。
OFF电位测试防腐蚀层电导率法的管道防腐蚀层质量评价准则如表1所示。
表1 防腐蚀层电导率法的管道防腐蚀层质量评价准则

■ 防腐蚀层绝缘电阻率法
国内用于水平定向钻穿越管道防腐蚀层质量测试和评价的主要规范是GB 50424-2015《油气输送管道穿越工程施工规范》?SY/T 6968-2013《油气输送管道工程水平定向钻穿越设计规范》和SY/T 7368-2017《穿越管道防腐技术规范》?这3个标准均参照NACE TM0102-2002标准编制,因此测试的接线方式、测试步骤和计算公式均与NACE TM0102-2002标准相同。表2为防腐蚀层绝缘电阻率法的管道防腐蚀层质量评价准则。将防腐蚀层绝缘电阻率转换为防腐蚀层标称电导率,结果也列于表2中。
表2 防腐蚀层绝缘电阻率法的管道防腐蚀层质量评价准则

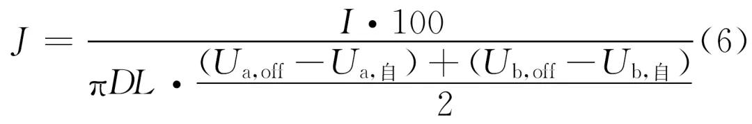
■ 单位电流密度法
香港长洲岛供水管道工程的水平定向钻穿越管道外防腐蚀层评价采用了此方法。OFF电位测试单位电流密度法的测试接线同样如图2所示,测试步骤与NACE TM0102-2002标准规定的防腐蚀层电导率法相同。
管道极化电位每变化100mV时,单位电流密度计算如下式所示:

式中:J为单位电流密度即每100mV OFF电位变化引起的电流密度变化,μA/(m2·mV);I为测试电流,μA;Ua,off为a点OFF电位,mV;Ub,off为b点OFF电位,mV;Ua,自为a点自然腐蚀电位,mV;Ub,自为b点自然腐蚀电位,mV;D为管道直径,m;L为管道长度,m。
OFF电位测试单位电流密度法的管道防腐蚀层质量评价准则为:每100mV OFF电位变化,单位电流密度值不大于0.1μA/(m2·mV)时,管道防腐蚀层质量合格;反之为不合格。
2 评价方法的难点和存在问题
01 测试方法的有效性
水平定向钻穿越管道防腐蚀层的质量评价方法均来源于浅埋大开挖方式施工管道的防腐蚀层质量评价方法。
管道浅埋时,埋设深度为1.5m时一般仅存在单一类型的土壤层,且在1~2km的水平距离上,管道所经过的地质情况基本相同,土壤电阻率没有大的变化,因此测试电流沿管道轴向在管道周围的土壤中均匀分散流通。这种均匀的土壤不会对测试电流的流动路径和分布产生大的影响,测试电流均匀流到管道表面。这样即使只测试管道两端的电位,也可以假设中间未测试段管道的电位也是按照均匀衰减规律分布的,这样就可利用两个端点的测试数值来确定中间未测试管段的数值,保证了测试方法的有效性。
但水平定向钻穿越管道的埋设深度远超过1.5m,已知的穿越深度可深达110m,管道穿越段在短距离内可能通过水域、沼泽、黏土、砂岩或花岗岩等各种电阻率差别非常大的地层,这种急剧变化的介质层将极大影响测试电流在各种电阻率介质中的流动,进而影响电流在管道上的分布。测试电流将由均匀流通变为仅通过低电阻率通道流通,高电阻率介质内的管段可能没有测试电流到达,而低电阻率介质内的管段得到了更多的测试电流。这导致高电阻率介质内的管段没有极化或仅部分极化,而低电阻率介质内的管段过度极化。整个管段的极化将不再遵循均匀衰减的规律,管道两端的电位将不能用于假定推测中间未测试管道的电位。
因此,对于采用定向钻穿越方式施工的管道,在利用此测试方法进行防腐蚀层质量评价时,应对测试方法的有效性进行分析。PRCI已有研究表明,这种测试方法在土壤电阻率变化剧烈时,极大的影响管道的轴向电位分布。
02 土壤电阻率的影响
在以NACE TM0102-2000 标准为代表的OFF电位测试方法(包括GB 50424-2015、SY/T 6968-2013和SY/T 7368-2017)中,土壤电阻率对测试结果有非常大的影响,甚至会成为评价结果的决定性因素。
比如某咸水海滩穿越管道在不考虑土壤电阻率时,防腐蚀层绝缘电阻率仅为81Ω·m2,根据评价准则为“差”级;但由于咸水的电阻率极低,仅为0.2Ω·m,当换算为标称防腐蚀层绝缘电阻率(10Ω·m)后,为4050Ω·m2,可评价为“良”级。防腐蚀层的质量等级由于土壤电阻率的介入而发生了剧烈的变化。
在ГОСТ 51164-1998标准的ON电位测试方法中,土壤电阻率对测试结果存在有限的影响。如某长江穿越管道,测试土壤电阻率为32.5Ω·m时,管道的防腐蚀层绝缘电阻率为89502Ω·m2;当土壤电阻率为325Ω·m时,则管道的防腐蚀层绝缘电阻率变为88094Ω·m2;当土壤电阻率为3.25Ω·m时,管道的防腐蚀层绝缘电阻率为89621Ω·m2。由此可见,土壤电阻对防腐蚀层绝缘电阻率的影响几乎可以忽略。
03 管/地电位的影响
在ON电位测试法中,ГОСТ 51164-1998标准要求ON电位较自然腐蚀电位偏移应大于0.7V,澳大利亚和新西兰的单位电流密度法则要求ON电位较自然腐蚀电位偏移应大于1.0V。
某穿越黑龙江的管道,采用ГОСТ 51164-1998标准评价,在电位偏移大于0.7V时,管道的防腐蚀层绝缘电阻率为34.2×104Ω·m2;但在增大测试电流,使电位偏移大于1.0V时,管道的防腐蚀层绝缘电阻率减小为19.7×104Ω·m2,变化量约为33%。
在OFF电位测试法中,NACE TM0102-2002标准仅规定了OFF电位应不低于-1100mV;GB 50424-2015和SY/T 7368-2017标准规定OFF电位应位于-850~-1050mV;澳大利亚和新西兰的单位电流密度法则要求OFF电位约为-1100mV。
某长江穿越管道,出?入土点极化电位分别为-994mV和-890mV时,管段的防腐蚀层绝缘电阻率为28370Ω·m2;当出?入土点极化电位分别负向偏移到-1071mV和-1058mV时,管段的防腐蚀层绝缘电阻率减小为16765Ω·m2,变化量超过40%。
评价方法的发展
目前,水平定向钻穿越管道外防腐蚀层质量的评价方法主要有两个研究方向。
一个方向是在现有测试方法的基础上结合现场目视检测的方法,以提高评价结果的准确性。如有文献就给出了电流/电位测试法和现场防腐蚀层目测相结合的判定法。这种综合评价方法需要管道在回拖结束后,再多回拖出1~2根管道进行管道防腐蚀层外观的目视检测。但在实际操作中,由于回拖钻机排放位置的限制,很难做到多回拖1~2根管道。有时为了多拖出管道,甚至采用了其他不得已的施工方法,这种施工方法很可能加剧出土端管道外防腐蚀层的破损程度,反而使得最终防腐蚀层的质量评价失实,违背了这种评价准则的初衷。
另一个方向是采用有限元法进行管道的阴极极化模拟,根据模拟结果确定防腐蚀层的真实状态。有文献采用此方法对某河流穿越管道的外防腐蚀层进行了模拟评价,模拟中将整个穿越管道定义为由相同长度单位组成的串联组合体,其中每个单位都假定了已知大小、形状和位置的防腐蚀层缺陷,而且每一个单位均可以随时激活或停用。结果发现:只有当假定的缺陷管段靠近出土点和入土点的测试位置时,模拟数值与实测数值才存在非常好的一致性;当缺陷位于中间最低位置、远离出土点和入土点的测试位置时,测试结果和模拟结果差别极大。
结论
(1) 电流/电位法是评价水平定向钻穿越管道防腐蚀层质量的主要方法。NACE TM0102-2002标准的理论基础和可操作性得到了世界范围内的共同认可。GB 50424-2015、SY/T 6968-2013和SY/T 7368-2017标准均参考NACE TM0102-2002标准编制了水平定向钻穿越管道防腐蚀层质量评价的方法和准则,适用性高。
(2) 防腐蚀层绝缘电阻率评价的是管道埋地后防腐蚀层质量优劣的参数。此参数大小仅与被测试管段上防腐蚀层缺陷的大小、数量有关。土壤电阻率、管/地电位等不应成为评价结果的决定性因素。
免责声明:本网站所转载的文字、图片与视频资料版权归原创作者所有,如果涉及侵权,请第一时间联系本网删除。
官方微信
《中国腐蚀与防护网电子期刊》征订启事
- 投稿联系:编辑部
- 电话:010-62316606-806
- 邮箱:fsfhzy666@163.com
- 中国腐蚀与防护网官方QQ群:140808414



