摘要:
利用定向电沉积技术在316L不锈钢表面设计制备了一种超疏水微纳镍镀层,通过对电沉积参数的优化,获得最佳电沉积工艺参数:初次电沉积电流密度5 Adm-2,电沉积时间为480 s,结晶调节剂浓度为1.5 mol/L;二次电沉积条件为10 Adm-2,60 s。借助SEM、XRD、电化学测试技术、接触角测试对涂层进行表征,结果表明制备的316L不锈钢表面镍镀层阵列微纳结构具有典型的花瓣状分级结构和较好的超疏水性能,镍镀层阵列微纳结构由具有 (110) 择优取向晶面的针锥阵列结构组成,随着二次电沉积电流密度的增大,镍镀层阵列微纳结构的生长经历从针锥向花瓣结构转变。
关键词: 定向电沉积 ; 超疏水 ; 镍镀层 ; 微纳分级结构
在金属材料表面制备超疏水涂层是一种有效的绿色防腐方法。超疏水表面是指水接触角大于150°并且滚动角小于5°的表面。通常超疏水表面存在微米结构和纳米结构相结合的二级结构,且粗糙的表面经低表面能物质修饰。这种具有超疏水结构的金属表面在浸入腐蚀介质时,材料疏水性使得表面形成一层空气层,借助空气层可以有效防止腐蚀现象的发生。目前,国内外学者已经开发出在多种金属表面制备超疏水涂层的方法,包括自组装法、刻蚀法、溶胶-凝胶法、化学气相沉积法、电化学沉积法、电化学阳极氧化法以及机械加工法等[1,2,3,4,5]。
目前,利用直接电沉积方法在316L不锈钢基体表面制备超疏水涂层的报道较少。尽管有少数学者在不锈钢、纯铜和镁合金表面进行了直接电沉积微纳结构的尝试,但是所制备的微纳结构中较少能够实现一维微米结构阵列垂直于基体定向规则排列,而且二维纳米精细结构较少[6,7],导致超疏水性能差且不稳定。直接电沉积法在金属材料表面制备微纳结构是基于传统电沉积理论所提出的一种新思路,通过调节电沉积条件,控制晶体生长方向,使之按一定规律排列,最终在金属材料表面形成微纳结构[8,9,10,11,12]。直接电沉积法制备微纳结构具有无需模板、工艺简单、成本低廉等诸多优点,引起许多学者的兴趣,但是目前相关报道还较少。利用阴极电沉积方法构建微纳结构,主要通过调节电解液组分和优化电沉积参数 (如电沉积电流密度和电沉积时间) 来实现。因此很有必要对直接电沉积方法在316L不锈钢表面制备超疏水表面微纳结构进行深层次的工艺和机理探索,获得稳定可控的表面超疏水微纳结构,并研究其疏水性质。
本文利用循环伏安测试、原子力显微镜 (AFM)、激光共聚焦显微镜和扫描电镜 (SEM) 等表面分析手段研究并提出电沉积生长微纳结构的机理,利用接触角测试仪测试材料表面亲水性并结合界面润湿理论提出电沉积微纳结构的超疏水性能实现机理。
1 实验方法
1.1 实验材料
实验用材料316L不锈钢的化学成分 (质量分数,%) 为:C≤0.030,Mn≤2.00,P≤0.035,S≤0.03,Si≤1.00,Cr 16.0~18.0,Ni 12.0~15.0,Mo 2.0~3.0,Fe余量。
1.2 电沉积工艺及配方
电沉积前处理以316L不锈钢为基体材料。在电沉积前试样依次采用800#,1000#和2000#水磨砂纸打磨表面,打磨完毕后分别用丙酮和乙醇超声清洗20 min;接下来采用热除油液 (30 g/L NaOH,7.5 g/L OP-10,40 g/L Na2CO3,20 g/L Na3PO4) 在80 ℃条件下除油20 min;然后采用10% (质量分数) 的盐酸溶液浸泡活化2 min;最后用蒸馏水和乙醇清洗,吹干待用。经前处理后,将316L不锈钢基体材料在60 ℃条件下浸没于pH值为4.0的电沉积液 (NiCl2·6H2O 1 mol/L,H3BO3 0.5 mol/L,盐酸乙二胺0.5~2.5 mol/L) 中,以316L不锈钢为阴极,Pt片为阳极,采用恒压直流电源进行电沉积。初次电沉积电流密度为1~11 A·dm-2,电沉积时间为480~1440 s。初次电沉积完毕后,以沉积样品为阴极,进行二次电沉积,调节二次沉积电流密度为10 A·dm-2,电沉积时间为60~120 s。施镀结束后,将样品水洗后吹干,在恒温恒湿条件下 (温度25 ℃,湿度40%) 储存14 d后取出待用。
1.3 表面形貌观察与相组成分析
样品的微观表面形貌采用ZEISS SUPRA55型SEM进行观察,样品表面成分采用SEM自带的Oxford X-Max20能谱仪 (EDS) 进行分析。样品表面尖锥结构和尺寸采用Bruker MultiMode8型AFM进行观察和分析。
样品的物相组成采用Bruker D8 Advance型X射线衍射仪 (XRD) 进行分析。
1.4 接触角测试
样品表面静态接触角测量采用DSA100接触角测量仪,测量水滴 (8 μL) 在试样表面的接触角,在试样的5个不同位置测试取平均值,利用仪器附带软件计算静态接触角。
2 结果与讨论
2.1 电沉积电流密度范围的优化
316L不锈钢在含有结晶调节剂的电解液中的循环伏安曲线如图1所示。可以看出,阴极电沉积分为两个过程,分别是过程I和过程II。随着阴极极化过程的进行,阴极极化电流密度急剧增加,这主要是由于电解液中Ni2+获得电子后,还原生成吸附Ni+;吸附Ni+继续还原,在316L不锈钢表面沉积生成镍单质,这属于电沉积过程I的第一部分。随着阴极极化过程的继续进行,结晶调节剂盐酸乙二胺参与到电化学反应过程中,利用结晶调节剂在316L不锈钢基体的吸附效果,结晶调节剂盐酸乙二胺与吸附Ni+生成吸附型的盐酸乙二胺镍离子配合物,该配合物继续在阴极极化过程中在316L不锈钢表面吸附点局部放电产生单质镍的沉积层,在循环伏安曲线上表现为局部的电流平阶区域,这属于电沉积过程I的第二部分。阴极极化过程继续进行,达到了电解液中H+的氧化还原电位,H2大量析出,表现为阴极极化电流密度再次急剧增加,但是这对于电沉积镀层是非常有害的,H2产生的鼓泡会破坏镀层自身的结构和结合性能[8]。达到回扫电位后,从循环伏安曲线可以看出,阳极氧化曲线逐渐趋于平台期,说明阴极还原生成的单质镍与316L基体冶金结合良好,无明显阳极溶解状况。上述反应的机理如方程 (1)~(6) 所示:

选择阴极电沉积电流密度范围为1~11 A·dm-2,可获得较稳定的电沉积镍涂层。通过结晶调节剂的作用,可以有效控制镍离子在局部放电,生成一级微纳结构,同时避免H2析出产生鼓泡破坏微纳结构[8]。

图1 316L不锈钢在含有结晶调节剂的电解液中的循环伏安曲线
2.2 初次电沉积电流密度的优化
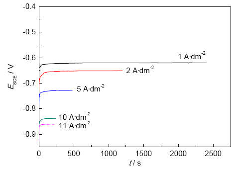
保证结晶调节剂的浓度为1.5 mol/L,总库仑电量为48 C,也即电沉积电流密度与电沉积时间的乘积保持恒定条件下,316L不锈钢表面不同初次电沉积电流密度条件下E-t曲线如图2所示。可以看出,随着阴极沉积电流密度的增加,阴极极化电位逐渐变负,这符合Bulter-Volmer方程[13];随着阴极极化电流密度的增加,沉积所需的过电位逐渐增加,因此阴极极化电位逐渐变负。从E-t曲线形状可以看出,所有的曲线都经历了电位先正移后保持平稳的过程,这是由于施加阴极沉积电流的短时间内大量的Ni离子参加反应,沉积反应后局部Ni离子浓度低,扩散困难,导致电位迅速正移后保持平阶。结合循环伏安曲线,阴极极化电位低于-0.8 V (vs SCE) 易析氢破坏镀层结构,因此选择5 A·dm-2。

图2 316L不锈钢表面不同初次电沉积电流密度条件下E-t曲线
316L不锈钢表面不同初次电沉积电流密度条件下所制备镀层的SEM像如图3所示。可以看出,样品表面呈现明显的微米级尖锥状结构分布,且随着阴极电沉积电流密度的增加,尖锥高度大小不一,在阴极电沉积电流密度达到5 A·dm-2时,尖锥在表面均匀分布,高度趋于一致;当阴极电沉积电流密度达到10 A·dm-2时,纳米尺寸的尖锥开始横向生长,无法保证初次沉积所获得的单一尖锥的形态结构。

图3 316L不锈钢表面不同初次电沉积电流密度条件下所制备镀层的SEM像
316L不锈钢表面不同初次电沉积电流密度条件下接触角变化如图4所示。可以看出,随着阴极电沉积电流密度的增加,接触角逐渐增加,当阴极电沉积电流密度增加到2和5 A·dm-2时,接触角逐渐趋于平阶;阴极电沉积电流密度继续增加,接触角急剧增加。这与微纳结构有很大关系,尖锥结构发展出纳米级晶须促使表面的疏水性能获得较大提升,但是较高的阴极电沉积电流密度可能会在局部获得微纳米二级结构,随着H2的逐渐析出产生鼓泡而破坏微纳米二级结构的完整性,宏观形貌图的结果印证了这一说法。

图4 316L不锈钢表面在不同初次电沉积电流条件下所制备镀层的接触角
综上所述,低电流密度不利于基体表面活性点的增加,不利于形核生成局部凸起尖锥,较高的电流密度又容易抑制尖锥的定向生长,综上分析选择适宜的电流密度为5 A·dm-2。
2.3 初次电沉积时间的优化
在结晶调节剂浓度为1.5 mol/L,阴极沉积电流密度为5 A·dm-2的条件下,316L不锈钢表面不同初次电沉积电流条件下E-t曲线如图5所示。可以看出,在阴极沉积电流密度为5 A·dm-2的条件下随着沉积时间的延长,极化电位在-0.73~0.75 V (vs SCE) 区间范围内,并保持稳定。仅从E-t曲线图分析,阴极沉积时间对沉积过程的影响不大。

图5 316L不锈钢表面不同初次电沉积时间条件下E-t曲线
316L不锈钢表面不同初次电沉积时间条件下所制备镀层的接触角如图6所示。可以看出,当阴极沉积时间为480 s时,水接触角约为140°;当阴极沉积时间达到1440 s时,接触角迅速降低到约100°。这说明增加阴极沉积时间,破坏了镍微米尖锥的分布,导致大量缺陷的出现,对疏水性能产生不利影响。

图6 316L不锈钢表面不同初次电沉积时间条件下所制备镀层的接触角
随着电沉积时间的增加,粗糙度呈现逐渐增加的趋势,接触角却呈现相反的变化。5 A·dm-2条件下960和1440 s时长的沉积,宏观表面出现了大量的麻点,可能由于电沉积液腐蚀导致缺陷出现,破坏了表面规则的尖锥阵列结构,造成粗糙度的增加,接触角减小,疏水性能降低。因此,选择480 s作为优化后的沉积时间。
2.4 初次电沉积结晶调节剂浓度的优化
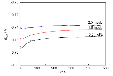
当阴极电沉积电流密度为5 A·dm-2,总库仑电量为48 C,改变结晶调节剂浓度,316L不锈钢表面不同结晶调节剂条件下E-t曲线如图7所示。可以看出,不同浓度的结晶调节剂的E-t曲线均呈现先急剧增加后缓慢增加,接下来保持平稳的变化趋势。这可能是结晶调节剂在316L不锈钢表面吸附后,迅速吸附在微纳结构表面上,导致微纳结构表面的结晶调节剂扩散困难,从而造成电位曲线呈现上述变化趋势。不同浓度结晶调节剂条件下阴极极化电位依然主要分布在-0.74~0.77 V (vs SCE) 区域范围内。仅从E-t曲线分析,结晶调节剂对电化学沉积过程影响不大。

图7 316L不锈钢表面不同浓度结晶调节剂条件下E-t曲线
316L不锈钢表面不同结晶调节剂浓度条件下所制备镀层的接触角如图8所示。可以看出,结晶调节剂浓度对电沉积镍微纳结构表面的润湿性能有明显的影响,随着结晶调节剂浓度的增加,接触角先增加后减少,在结晶调节剂浓度为1.5 mol/L时,接触角最大,约为150°。
添加结晶调节剂的目的是促进表面沉积离子的定向放电、定向生长。增加结晶调节剂浓度,可一定程度上促进微纳米尖锥的纵向生长,表现为粗糙度的增加和接触角的增大,但是结晶调节剂浓度不宜过高,否则由于在微纳米尖锥的饱和吸附竞争造成尖锥生长的混乱,从而破坏规则的微纳米尖锥阵列结构,造成粗糙度的下降和接触角的降低。因此,选择1.5 mol/L作为适宜的结晶调节剂浓度。

图8 316L不锈钢表面不同结晶调节剂浓度条件下所制备镀层的接触角变化
2.5 二次电沉积时间的优化
选择二次电沉积电流密度为10 A·dm-2,结晶调节剂浓度为1.5 mol/L,改变二次电沉积时间,316L不锈钢表面不同二次沉积时间条件下E-t曲线如图9所示。可以看出,电位表现出两次先增长后降低的变化趋势,随着恒流沉积时间的延长,阴极极化电位趋于稳定,不同二次电沉积时间阴极极化电位在-0.845~-0.835 V (vs SCE) 范围内。经过二次电沉积的过程,微纳米结构表面中微米级镍尖锥转变为带有纳米晶须的微米级镍尖锥,实现了微纳二级结构。
316L不锈钢表面不同二次沉积时间条件下所制备镀层的接触角如图10所示。可以看出,二次电沉积时间为60 s的条件下接触角最高,大于150°。
二次大电流沉积是制备微纳米分级结构的关键。通过大电流二次沉积使得沉积原子在原有微纳米尖锥上继续生长,并大量形核,形成微米尖锥和纳米微凸体的分级结构,表现为花瓣状结构[14]。随着10 A·dm-2大电流条件下沉积时间的延长,且沉积电位处于析氢区间,宏观表面出现了部分麻点缺陷,破坏了表面规则的尖锥阵列结构,造成粗糙度的增加,却降低了接触角。因此,选择60 s为最佳二次沉积时间。
2.6 316L不锈钢表面不同参数工艺条件下所制备镀层的择优生长方向分析
316L不锈钢表面不同工艺参数条件下所制备镀层的择优生长方向变化如图11所示。可以看出,不同工艺参数条件下316L不锈钢表面微纳结构主要由Ni和Fe组成,单质镍作为fcc晶体结构类型,从图中可以看出,不同电沉积条件下择优取向晶面均为 (110) 晶面。随着工艺参数的变化,择优取向晶面 (110) 可能为微纳米尖锥生长晶面,微结构顶端可能由 (100) 和 (111) 晶面搭台形成择优取向 (110) 晶面作为生长晶面。这可能是由于结晶调节剂在低表面能晶面的特性吸附导致了这种晶面生长方式。

图9 316L不锈钢表面不同二次沉积时间条件下E-t曲线

图10 316L不锈钢表面不同二次沉积时间条件下所制备镀层的接触角

图11 316L不锈钢表面不同工艺参数条件下所制备镀层的择优生长方向变化
2.7 最佳工艺条件下316L不锈钢所制备镀层的形貌及元素分析
利用AFM进一步分析微纳米尖锥的结构和尺寸,二次电沉积优化工艺条件下316L不锈钢表面所制备镍镀层微纳结构表面AFM像见图12。可以看出,微纳结构分布均匀,尖锥高度约为0.4~0.6 μm,尖锥底部直径约为0.5 μm,与SEM观察结果一致。

图12 二次电沉积优化工艺条件下316L不锈钢表面所制备镀层的表面形貌
进一步通过EDS分析二次电沉积优化条件下316L不锈钢表面所制备镀层的元素成分,结果见图13。镀层表面主要由O,Ni和Fe构成。推测Fe主要来源于基体;Ni是表面物相组成主要元素,可能是Ni镀层。因此,表面Ni镀层和镍基微纳结构可能是超疏水性能的原因。

图13 二次电沉积优化工艺条件下316L不锈钢表面所制备镀层的元素成分分析
2.8 316L不锈钢表面所制备镍镀层的电沉积生长机理和超疏水性机理
微纳结构表面电沉积生长机理如图14所示。综合不同工艺参数优化的结果和最佳工艺条件下一次电沉积和二次电沉积316L不锈钢表面镍镀层微纳结构分析结果,并结合Watanabe提出的纳米电镀的理论,提出微纳结构电沉积的生长机理[5]。在阴极极化条件下,在316L不锈钢表面的镍离子充足供给区域,产生局部放电效应,在局部有单质镍凸点生成;随着极化电流密度的增加,极化时间的延长,单质镍凸点处继续放电,形成多个晶粒的生长和聚焦。而在得不到镍离子充足供应的区域,即凹点,这些凹点分布在逐渐长大的凸点形成的尖锥结构之间,增加了微纳结构表面的粗糙度。此外,结晶调节剂在电沉积过程中会吸附在某个特定晶面,抑制该晶面的外延生长,电沉积镍单质主要是fcc晶体结构,盐酸乙二胺主要吸附在fcc的 (100) 晶面,这就导致 (100) 晶面的平行扩展受到强烈阻碍,促使在凸点处聚焦的晶粒群向纵向生长[14]。而 (111) 晶面为最低表面能晶面,并与基体衬底平行,最后结果是 (110) 晶面迅速生长,其表面主要由 (111) 和 (100) 两种晶面搭合,进而形成LCSM和SEM观察到的尖锥状结构体。此外,二次大电流电沉积阴极极化条件下,由于已经形成的微米锥形结构对结晶调节剂的扩散阻碍作用,使得结晶调节剂在纵向晶面的吸附状况不同,一定程度无法抑制 (100) 和 (111) 晶面的生长,此时微米锥形结构在纵向生长速度减慢,而在 (100) 和 (111) 晶面的生长获得发展,最终形成了花瓣状锥形结构。

图14 316L不锈钢表面所制备镍镀层微纳结构表面电沉积生长机理
316L不锈钢表面所制备镍镀层微纳结构表面超疏水形成模型如图15所示。从自然界获得启发,结合天然超疏水表面结构包括荷叶、蝉翼和水蝇腿,国内外学者提出了多种超疏水理论模型,其中Cassie模型和Lotus模型适合解释一次和二次阴极电沉积制备具有微纳表面结构的疏水和超疏水性能表面[15]。Cassie模型理论提出,对于存在空气的粗糙低表面能物质覆盖的表面,水滴在这种表面只有极少部分面积是和固体接触,大部分面积是和空气接触,Cassie方程可以很好地解释Cassie模型和Lotus模型:
cos θ c = Φ s ( cos θ e + 1 ) - 1(7)
式中,θc和θe分别代表水滴在粗糙和光滑表面的接触角,Φs代表水滴与固体表面的接触面积,1-Φs则为水滴和空气的接触面积。
对于316L不锈钢基体和一次电沉积条件下316L不锈钢表面镍镀层微纳结构,接触角分别为104.65°和140.79°,也即θc为140.79°,θe为104.65°。通过计算获得Φs为0.3014,即液滴与316L不锈钢基体接触面积占30.14%,而截留空气比率达69.86%。对于316L不锈钢和二次电沉积条件下316L不锈钢表面镍镀层微纳结构,接触角分别为104.65°和150.74°,也即θc为150.74°,θe为104.65°。通过计算获得Φs为0.1714,二次电沉积后液滴与316L不锈钢基体接触面积明显降低至17.14%,而截留空气比率明显提高至82.86%。这是由于一次电沉积形成微米锥形结构和二次电沉积形成的微纳米花瓣状结构截留了大量空气,空气是最理想的疏水介质,接触角高达180°,这些截留的空气对腐蚀介质的挤出效应明显,腐蚀介质很难深入到表面粗糙结构中,通过一次电沉积和二次电沉积在316L不锈钢表面构建微纳二级结构最终实现了超疏水性能。

图15 316L不锈钢表面所制备镍镀层微纳结构表面超疏水形成模型图
3 结论
(1) 利用电沉积技术可在316L不锈钢表面制备稳定的具有微纳米结构阵列的镍镀层。最优化电沉积参数为:初次电沉积电流密度5 A·dm-2,电沉积时间为480 s,结晶调节剂浓度为1.5 mol/L,二次电沉积条件为10 A·dm-2,60 s。
(2) 特定电沉积条件下制备的镍镀层阵列微纳米结构具有典型的花瓣状分级结构和较好的超疏水性能,阵列微纳米结构具有 (110) 择优取向晶面的针锥阵列结构,阵列结构的生长经历从针锥向花瓣结构的转变,接触角从140.79°增加到150.74°,花瓣状分级微纳结构表现出较好的超疏水性能。
免责声明:本网站所转载的文字、图片与视频资料版权归原创作者所有,如果涉及侵权,请第一时间联系本网删除。
官方微信
《中国腐蚀与防护网电子期刊》征订启事
- 投稿联系:编辑部
- 电话:010-62316606-806
- 邮箱:fsfhzy666@163.com
- 中国腐蚀与防护网官方QQ群:140808414



