摘要
采用连续离子层吸附反应法在TiO2表面沉积Co(OH)2,并将Co(OH)2热处理转化为CoOx的表面修饰方法制备高性能Co(OH)2/CoOx协同修饰TiO2纳米管光阳极材料。通过探讨Co(OH)2修饰次数、热处理温度以及保温时间,确定光阳极最佳性能的制备工艺条件,从光催化原理出发,阐明Co(OH)2/CoOx修饰提高光电性能机理。
关键词: TiO2 ; Co(OH)2/CoOx修饰 ; 工艺调控 ; 光电性能 ; 阴极保护
光催化材料自Fujishima和Honda[1]首次发现以来,相关研究已有近半个世纪的时间,期间关于光催化材料在污水处理、光解水产氢产氧等环境和能源领域,以及金属光电化学腐蚀防护等领域的研究取得了大量的成果[2,3,4]。
TiO2材料作为最早发现的光催化材料,具有优异的光催化性能和稳定的光化学性质[5,6,7,8]。文献中已有大量关于TiO2材料的制备、物理表征、光电性能、催化活性以及应用局限的相关报道[9,10,11,12,13]。TiO2材料作为最常见的光催化材料,其宽带隙、可见光利用率不高以及载流子复合率较高一直是困扰研究者的问题。在以往的研究中,常采用表面修饰、半导体复合、调控晶面、探索宽光谱响应材料以及储能型材料的方法,来提高光催化材料的光电效率[14,15,16]。通过负载助催化剂,进行Co(OH)2、CoOx等表面修饰的方法促进光生电荷分离从而提高光电性能的方法,已获得了较为显著的效果[17,18,19,20,21,22,23,24,25,26]。
自20世纪90年代,Tsujikawa等[27]首次提出了TiO2光催化材料可以通过光照产生电子,实现对碳钢和不锈钢的光电化学阴极保护,研究人员开展了大量关于光催化材料的光阴极保护探索工作。从材料的选材,如TiO2[7,27]、CdS[28]、ZnO[29]、SnO2[30,31]、Ta3N5[32]等,到制备工艺和材料改性[29,33,34,35],以及进行电化学保护时辅助的空穴捕获剂溶液[29,36,37,38,39],从材料本身到环境体系的探索研究使得光电化学阴极保护迅速成为金属材料腐蚀防护领域的热点课题[40]。
本工作选取了具有优异综合性能以及在光催化领域已有广泛应用的TiO2材料。亦是从TiO2的制备工艺探索角度出发,同时对其表面进行适当修饰处理,试图从源头上提高TiO2材料的电荷转移能力、控制载流子复合率。
首先,通过调整TiO2制备过程中的热处理温度,初步测试其光电化学保护性能,遴选出最佳制备参数条件。其次,采用连续离子层吸附反应法在TiO2表面沉积修饰Co(OH)2,并继续采用热处理工艺将Co(OH)2粒子转化为CoOx进行表面修饰,这些表面修饰的目的是提高光催化性能以及增强表面修饰粒子与TiO2基体间的表面结合力。通过表面修饰工艺参数的优化,如Co(OH)2沉积次数、热处理固定温度、保温时间等参数,获得Co(OH)2和CoOx修饰TiO2材料的最佳制备工艺参数。而后,对其电化学性能、微观形貌进行测试和观测,同时结合光致发光光谱和电化学阻抗法表征了光生电荷在界面间的产生和转移过程[37,41,42,43,44,45],进而提出了在光照条件下,Co(OH)2修饰对提高TiO2电荷转移以及提高对304不锈钢的光电化学保护机理。
1 实验方法
1.1 工艺参数选择
样品的制备过程包括TiO2纳米管的制备以及后续的表面修饰处理过程,因此,工艺参数的选择也主要包括这两部分内容。如图1所示,3种颜色框的总和即表示不同工艺参数下获得的TiO2样品种类数的总和。

图1 样品制备工艺参数选择流程图
首先,Ti片经过阳极氧化后生长出一层TiO2纳米管,获得的样品需经过热处理保温过程以加强TiO2纳米管与基体Ti的结合力,因而第一部分工艺参数探索为TiO2纳米管的热处理工艺选择,如图1a,共10组样品。纳米管的热处理工艺参数主要为热处理温度,样品分别在400、450、500、550和600 ℃的温度下保温1 h。获得的样品分为两组:一组作为无修饰的TiO2样品直接进行实验;另一组则进行了Co(OH)2表面修饰处理,沉积次数均为5次,作为Co(OH)2修饰的TiO2样品。对比以上10种样品的光电化学保护性能,确定TiO2制备的最佳热处理温度。
其次,选择工艺流程图1a中最佳的热处理温度 (以下实验证明为500 ℃) 制备TiO2样品,之后表面修饰Co(OH)2和CoOx的过程中,Co(OH)2修饰次数、热处理固定温度和保温时间参数的选择直接影响了材料的电化学性能,因而进行了关于表面修饰的工艺参数探索研究,如图1b,实验样品共12组。Co(OH)2修饰无需热处理,因此探索了Co(OH)2修饰沉积次数对TiO2电化学性能的影响,分别沉积4~6次,后被证明5次Co(OH)2沉积为最佳工艺参数。
在Co(OH)2修饰的基础上,为提高表面修饰粒子的稳定性,以及加强其与TiO2纳米管的结合力,对Co(OH)2修饰的TiO2样品进行热处理固定修饰粒子,将Co(OH)2加热转化为CoOx粒子,因而CoOx表面修饰工艺参数的确定均是在Co(OH)2修饰的TiO2样品上进行。先对经过4~6次Co(OH)2沉积修饰的样品在250 ℃的微型箱式炉中保温30 min,获得的3种样品转变为CoOx修饰的TiO2,电化学实验证明5次沉积仍然是最佳的工艺参数。在5次沉积的基础上,研究了CoOx热处理固定温度和保温时间的参数选择,保持保温时间相同,均为30 min,热处理固定温度分别为100、150和200 ℃;以及保持热处理固定温度相同,均为150 ℃,热处理保温时间分别为30、50和70 min,两组参数下的6组样品分别进行电化学性能检测,从而确定最佳的热处理固定工艺。制备的TiO2纳米管采用INSECT F50场发射扫描电镜 (SEM) 观察其表面形貌。
1.2 光电化学保护性能测试
使用PGSTAT302电化学工作站进行电化学测试开路电位时,TiO2电极作为研究电极与304不锈钢辅助电极偶联,二者共同接入工作电极,Pt电极接入对电极。电偶电流测试时,分别将TiO2电极和304不锈钢电极接入工作电极和对电极,Pt电极接入对电极。电解池右侧有一个直径为30 mm的平面圆形石英玻璃窗,光线可通过该石英窗照射在TiO2样品的表面。分别测试样品在3.5% (质量分数) NaCl溶液中,光照和暗态下开路电位OCP (即保护电位) 和电流随时间的变化。
2 结果与讨论
2.1 微观形貌
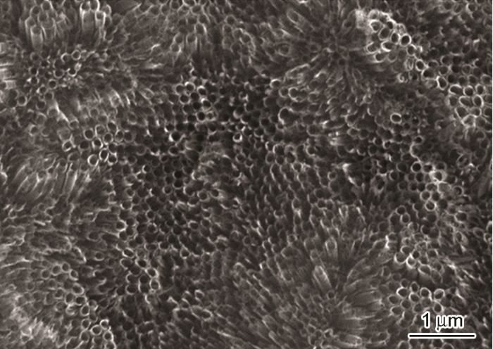
表面修饰前的TiO2微观形貌如图2所示,在扫描电子显微镜二次电子模式下,材料表面为均匀分布的纳米管,纳米管直径约为150 nm。纳米TiO2材料相较于传统的粗晶TiO2,比表面积更大,理论上具有更加优异的导电性能和明显的量子尺寸效应,因而光生电子在该结构中的扩散速度更快,提高了光生电子与光生空穴的分离程度,即提高了材料的光催化性能,最终提高了TiO2材料对金属的光电化学阴极保护性能。

图2 TiO2纳米管材料的SEM微观形貌
2.2 TiO2制备热处理温度最佳参数研究
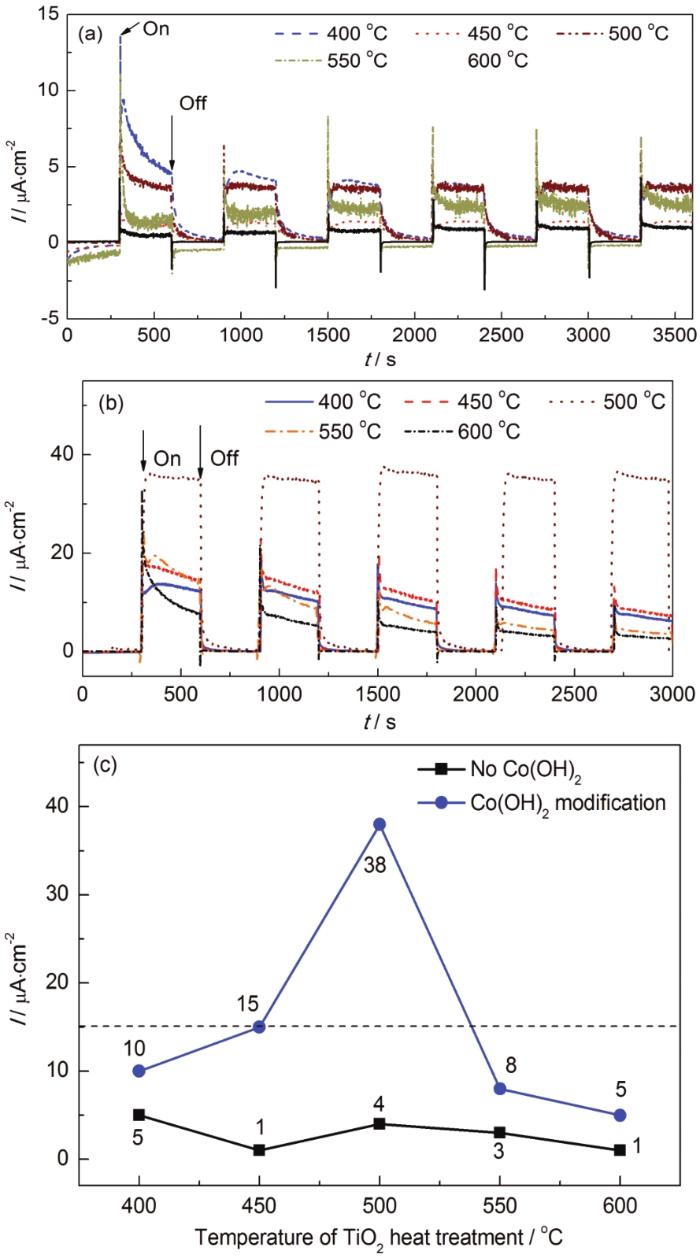
获得了Ti片阳极氧化后在不同的热处理温度下的TiO2材料 (压力为103 kPa的空气气氛中,热处理温度分别为400、450、500、550和600 ℃,恒温1 h热处理),将制得的材料分为两组,一组直接进行实验,另一组则进行了Co(OH)2表面修饰处理,沉积次数均为5次。研究了两组材料分别在3.5%NaCl溶液中光照下的开路电位和保护电流密度可达到的平均值,如图3和4。

图3 不同热处理温度下TiO2开路电位的变化曲线
工作电极在光照下可达到的最大保护电位结果如图3a和b所示,总结如图3c所示,图中虚线位置为304不锈钢在3.5%NaCl溶液中的自腐蚀电位 (-0.17 V),即光照下所测得的电位在-0.17 V之下时,TiO2材料才可对304不锈钢提供光电化学保护。结果表明,光照下保护电位随着热处理温度的升高先下降后上升,在温度为500 ℃且Co(OH)2修饰的条件下,电位达到最负值 (-0.42 V),其光电化学保护性能最佳。
同时获得了在该条件下对应的保护电流密度随时间的变化 (图4a和b),结果总结如图4c所示,虚线位置为304不锈钢在3.5%NaCl溶液中所需的最小保护电流密度 (15 µA/cm2)[46],即光照下TiO2材料的保护电流密度需达到15 µA/cm2。结果显示,5种热处理温度条件下,无修饰的TiO2材料均不能达到304不锈钢的最小保护电流密度;Co(OH)2修饰的条件下,TiO2热处理温度在450、500和550 ℃时,其第一光照周期的保护电流密度可达到15 µA/cm2以上,但仅500 ℃热处理温度下制备的Co(OH)2修饰的TiO2纳米管的保护电流密度可稳定保持在38 µA/cm2。

图4 TiO2不同热处理温度对TiO2保护电流密度的影响
2.3 Co(OH)2表面修饰次数最佳参数研究
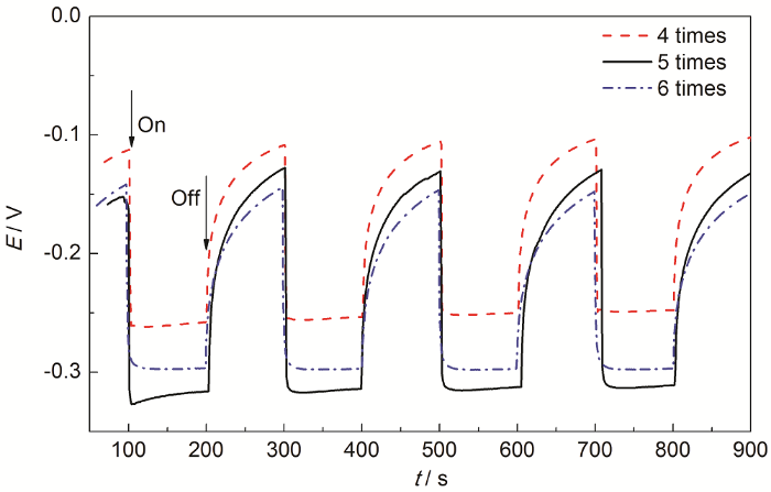
以上分析可得,500 ℃热处理温度下的TiO2相较其他温度具有更好的光电化学保护性能,且经Co(OH)2修饰后效果更佳。因此,设置TiO2热处理温度为500 ℃,通过设置唯一变量,控制Co(OH)2表面修饰的沉积循环次数分别为4~6次,探究Co(OH)2处理次数对TiO2材料电化学性能的影响,可确定最佳保护电位所对应的Co(OH)2沉积次数。
光照下Co(OH)2修饰的TiO2保护电位的结果如图5所示,Co(OH)2沉积次数为4~6次时,其对应的保护电位可分别达到-0.26、-0.33和-0.30 V,均在304不锈钢的自腐蚀电位之下,其中5次循环沉积Co(OH)2修饰的TiO2保护电位最负,具有最佳的保护性能。

图5 Co(OH)2沉积次数对TiO2保护电位的影响
2.4 CoOx表面修饰最佳参数研究
作者在前期Co(OH)2修饰的TiO2长期保护实验中的结果表明,TiO2材料在腐蚀浸泡40 d后,其保护电位和保护电流密度值大大降低,已不具有保护304不锈钢的能力,Co(OH)2从TiO2基体脱落,与TiO2基体的结合力差,稳定性差[47]。
基于此,本工作中,为提高Co(OH)2与TiO2基体的结合力,同时又能保留Co(OH)2作为助催化剂促进光生电荷转移的能力,对Co(OH)2颗粒进行了热处理固定,样品表面上Co(OH)2被加热氧化成CoOx,即实验样品为CoOx表面修饰的TiO2。具体方法为:将Co(OH)2修饰的TiO2样品在压力为103 kPa的空气气氛中,低于TiO2热处理温度 (500 ℃) 的温度条件下进行加热并保温一段时间。
2.4.1 表面修饰次数
在Co(OH)2修饰的基础上,将Co(OH)2修饰次数分别为4~6次的样品,放入热处理炉中,控制其他条件相同:加热至250 ℃,保温30 min。Co(OH)2在高温下转化成CoOx的同时,增强了CoOx和TiO2基体的结合力,测试不同Co(OH)2修饰次数下经热处理制备后CoOx修饰TiO2纳米管材料可达到的保护电位和保护电流密度。
结果如图6所示,Co(OH)2修饰次数分别为4~6次的样品,经热处理后,样品的保护电位均正移,分别为-0.15、-0.20和-0.17 V,4次Co(OH)2修饰后热处理制备的CoOx修饰TiO2纳米管材料已不足以保护304不锈钢,而5次和6次Co(OH)2修饰后热处理制备的样品也仅能勉强达到304不锈钢的自腐蚀电位;对应的保护电流密度分别为14、32和20 µA/cm2,与保护电位结果一致。上一节中无热处理的5次Co(OH)2修饰样品的性能最佳,从图中可以明显看出,其保护电位和保护电流密度均远高于CoOx修饰的TiO2材料,但随着时间的增加其性能下降较快,而对应的3组CoOx修饰的TiO2则表现出稳定的保护性,甚至6次Co(OH)2修饰后热处理制备的CoOx修饰样品表现出逐渐负移的保护电位和缓慢增加的保护电流密度。图6c更加直观地对比了热处理前后TiO2的保护电位,热处理后CoOx修饰的TiO2其保护电位均有很大程度的正移。考虑到材料的实际服役环境,虽然Co(OH)2可在短期内有效提高TiO2材料的光催化性能,但是CoOx修饰的TiO2可更好地实现金属的长期保护。

图6 Co(OH)2沉积次数对CoOx修饰的TiO2保护性能的影响
2.4.2 热处理温度
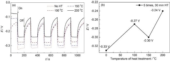
热处理温度对制备的CoOx修饰的TiO2材料保护性能具有一定的影响。设置唯一变量为热处理温度,分别为100、150和200 ℃,控制其他条件相同:Co(OH)2修饰次数为5次,加热保温30 min。测试不同热处理温度下CoOx修饰的TiO2材料可达到的保护电位,并对比无热处理的5次Co(OH)2修饰的TiO2样品性能差异。
结果如图7所示,热处理温度分别为100、150和200 ℃的条件下,TiO2材料对应的保护电位分别为-0.27、-0.30和-0.24 V,均位于304不锈钢自腐蚀电位之下,可稳定保护金属。3种温度中,150 ℃热处理温度下CoOx修饰的TiO2具有最负的保护电位,非常接近无热处理的Co(OH)2修饰的TiO2样品。

图7 热处理固定温度对CoOx修饰的TiO2保护电位的影响
2.4.3 热处理保温时间
确定了5次Co(OH)2修饰为最佳沉积次数、150 ℃为最佳热处理温度之后,进而研究了热处理保温时间对TiO2保护性能的影响。设置唯一变量为热处理保温时间,分别为30、50和70 min,控制其他条件相同:Co(OH)2修饰次数为5次,加热至150 ℃后进行保温。测试不同热处理保温时间下CoOx修饰的TiO2材料可达到的保护电位,并与无热处理的5次Co(OH)2修饰的TiO2样品进行对比。
结果如图8所示,热处理保温时间分别为30、50和70 min的条件下,TiO2材料对应的保护电位分别为-0.35、-0.30和-0.29 V,均位于304不锈钢自腐蚀电位之下,可稳定保护金属。且在30 min的热处理保温时间下,CoOx修饰的TiO2保护电位已经大于无热处理的Co(OH)2修饰的TiO2样品。

图8 不同热处理固定保温时间对CoOx修饰的TiO2保护电位的影响
综上,在以上所有条件中,5次Co(OH)2修饰、150 ℃热处理并保温30 min,所获得的CoOx修饰的TiO2材料具有最大的保护电位,理论上具有最佳的光电化学保护性能。
2.5 Co(OH)2/CoOx表面修饰机理
由于Co(OH)2和CoOx表面修饰物质的存在,光照下,TiO2价带上的光生空穴首先迁移至Co(OH)2或CoOx助催化剂表面,与溶液接触发生CO2+/Co3+的氧化还原反应循环,自身并未反应消耗。Co(OH)2或CoOx作为TiO2的助催化剂提供更多的光生空穴捕获位点,从TiO2中捕获光生空穴,通过消耗空穴来促进电子-空穴对的持续产生,因而显著地抑制了界面处载流子的复合速率,大大减少了负反应的发生[14,24],提高了TiO2的光稳定性和光诱导产生电子和空穴的能力,进而也提高了TiO2光催化材料的光电化学性能,为304不锈钢提供了更加有效的光阴极保护,示意图如图9所示。CoOx与Co(OH)2在催化作用上机理是相同的。而由于Co(OH)2经过热处理后转化成CoOx,CoOx与TiO2基体之间的结合力更强,CoOx也是比Co(OH)2更为稳定,不易于脱落,因而Co(OH)2/CoOx修饰TiO2纳米管光阳极材料表现出更好的稳定性,其具有长效性。

图9 光照下Co(OH)2/CoOx修饰的TiO2对304不锈钢的光电化学阴极保护机理
3 结论
(1) 5次循环Co(OH)2修饰、150 ℃热处理并保温30 min制备的CoOx修饰TiO2材料具有最负的保护电位 (-0.35 V),从长久使用角度考虑该材料具有最佳的光电化学保护性能。
(2) Co(OH)2/CoOx作为TiO2的助催化剂提供更多的光生空穴捕获位点,通过消耗空穴来促进电子-空穴对的持续产生,抑制界面处载流子的复合速率,提高TiO2的光稳定性和光诱导产生电子和空穴的能力,进而也提高了TiO2光催化材料的光电化学性能。
免责声明:本网站所转载的文字、图片与视频资料版权归原创作者所有,如果涉及侵权,请第一时间联系本网删除。
-
标签: TiO2, Co(OH)2/CoOx修饰, 工艺调控, 光电性能, 阴极保护
官方微信
《中国腐蚀与防护网电子期刊》征订启事
- 投稿联系:编辑部
- 电话:010-62316606-806
- 邮箱:fsfhzy666@163.com
- 中国腐蚀与防护网官方QQ群:140808414



