摘要:
采用动电位极化、电化学阻抗技术研究了不同pH值对X70钢在含硫酸盐还原菌 (SRB) 的南海海泥模拟溶液中电化学行为的影响,分析了X70钢表面发生的电化学反应。结果表明,溶液的pH值能影响SRB的生长,进而影响X70钢在南海海泥模拟溶液中的腐蚀行为。SRB在pH值为8条件下生长情况最好,在pH值为6条件下次之,在pH值为10条件下最差。pH值为8时,SRB生长期分为3个阶段:对数增长期、稳定生长期和衰亡期;pH值为6和10时,SRB生长期分为两个阶段:对数增长期和衰亡期。在对数增长期,SRB数量较少,微生物腐蚀作用较弱,X70钢的Ecorr较高,但当SRB数量增多后,微生物腐蚀作用增强,生物膜疏松且易脱落,导致局部腐蚀现象严重,Ecorr逐渐降低,金属腐蚀热力学倾向增大。在pH值为8条件下,微生物腐蚀作用最强,金属腐蚀速率最快;在pH值为10条件下,金属表面易形成钝化膜,且微生物腐蚀作用较弱,腐蚀速率最慢。
关键词 : X70钢, 海泥模拟溶液, pH值, 硫酸盐还原菌, 微生物腐蚀
随着国内外油气资源的勘探和开发,海底油气管道作为海上油气运输的大动脉,其腐蚀现象严重影响着油气资源的开发和利用[1,2]。不同于一般海洋环境,海泥区是非均匀的固、液两相电解质体系,含氧量低,但微生物含量较高[3,4],其中硫酸盐还原菌 (SRB) 对金属材料的腐蚀危害性最大。SRB用硫酸盐作为最终的电子受体导致硫化物的产生,硫化物具有较强腐蚀性、毒性和再活化性[5,6],可与铁离子生成FeSx,而硫化物氧化细菌又把FeSx氧化成单质S甚至SO42-,从而造成腐蚀的不断进行和金属的腐蚀破坏[7]。
研究[8,9,10,11]表明,环境介质中离子浓度、温度、pH值等环境因素是造成腐蚀的重要影响因素。其中,溶液的pH值起着重要的作用。虽然海泥的pH值趋于稳定,但在某些特殊情况下会发生变化。例如,海洋深处的海底管线,由于压力增加而使海泥中的pH值降低;大陆架区和污染海域的pH值也会有所偏移,并且微生物的繁殖也会影响局部海泥中的pH值。pH值同时也会影响SRB的生长,进而影响金属的腐蚀[12]。张亮等[13]研究了pH值对X70管线钢在库尔勒土壤模拟溶液中电化学行为的影响,结果表明,pH值小于9.0时,阳极极化属于活性溶解过程,在弱酸性的条件下,X70管线钢腐蚀程度低,但易发生局部腐蚀,导致应力腐蚀开裂;弱碱性的环境中,试样腐蚀严重,形成均匀腐蚀。王丹等[14]研究了pH值对X70钢在成都土壤模拟溶液中腐蚀行为的影响,结果表明X70钢的腐蚀速率随pH值增大呈逐渐减小的趋势;当pH值为10时,极化电阻最大,金属腐蚀严重受阻,腐蚀现象不明显。
目前,国内外对X70管线钢的腐蚀行为研究主要集中于土壤环境中,关于碳钢在海泥中的腐蚀行为研究较少,且主要集中于南海外的几大海域。魏华等[15]研究了X60管线钢在中国东海海泥中的腐蚀行为,结果表明,海泥的各物理化学性质之间具有一定的相关性,共同影响管线钢在其中的腐蚀,并且管线钢在海泥中的腐蚀行为主要受阴极去极化剂-氧的扩散控制。郭琦龙等[16]研究了Q235钢在厦门何厝海域滩涂区中的腐蚀行为,研究表明,碳钢在海泥和海水中的极化行为相似,且海泥属强腐蚀性介质。黄彦良等[17]研究了X56钢在青岛海泥中的腐蚀行为,结果表明活性SRB能够促进X56钢在海泥中的氢渗透。孙成等[18]研究了Q235钢在营口海滨海泥中的腐蚀行为,在有菌海泥中碳钢的腐蚀速率大于在灭菌泥中的,两者相差3.5倍。Ma等[19]研究了3种钢在辽东湾海底沉积物中1 a的腐蚀电位和极化电阻,结果表明沉积物种类极大地影响了金属的极化电阻,其中厌氧环境下SRB对腐蚀速率影响最大。
虽然南海海域油气大规模的勘探在20世纪60年代中期已经开始,但目前关于管线钢在南海海泥溶液中微生物腐蚀行为的研究尚未见报道。有研究[20,21]表明,在不同海域的海泥中钢铁的腐蚀速率相差10倍以上,故本研究以X70管线钢为研究对象,以南海海泥模拟溶液为腐蚀介质,探究pH值对X70钢在微生物存在条件下电化学腐蚀行为的影响。
1 实验方法
1.1 实验材料和溶液
实验材料为X70管线钢,其化学成分 (质量分数,%) 为:C 0.045,Si 0.26,Mn 1.48,Nb 0.033,Ni 0.16,Cr 0.17,Cu 0.21,S 0.001,P 0.0017,Fe余量。将X70管线钢制成尺寸为10 mm×10 mm×2 mm的电化学试样,试样背面点焊引出Cu导线,用环氧树脂将试样包封在聚四氟乙烯中。试样依次用80#~2000#水砂纸逐级打磨后用去离子水、丙酮清洗,去掉表面的油污,用吹风机吹干待用。
实验用南海海泥取自三亚浅海海底,对其进行理化数据分析检测。根据检测结果中海泥的主要成分和pH值等理化数据特征,用分析纯化学试剂和去离子水配置实验室用南海海泥模拟溶液,最终得到模拟溶液的化学成分为:10.906 g/L NaCl,15.162 g/L Na2SO4。溶液用20% (体积分数) 的冰醋酸和5% (体积分数) NaOH溶液调节pH值为6,8和10。
1.2 SRB培养和富集
SRB通过海泥分离纯化获得。使用液体培养基I为0.5 g/L K2HPO4+0.5 g/L Na2SO4+1 g/L NH4Cl+0.1 g/L CaCl2+2 g/L MgSO4·7H2O+1 g/L酵母粉+乳酸钠3 mL,用5%NaOH溶液调节培养基pH值至7.2,在121 ℃压力蒸汽灭菌器中消毒15 min,冷却后加入经圆筒式过滤器紫外线杀菌处理的培养基II (0.1 g/L抗坏血酸+0.1 g/L保险粉+0.1 g/L硫酸亚铁铵)。接种操作在生物安全柜中进行,按照1∶1∶2的比例混合培养基I、II和模拟溶液,再按照1∶50的比例接种SRB,即为有菌介质。调节后的有菌溶液放入BPC-150F型生化培养箱恒温培养,培养温度为 (30±1) ℃。
1.3 SRB生长曲线测定
采用光密度 (OD值) 测量SRB在不同pH值溶液中的生长曲线。当光线通过细菌悬浊液时,光线的透光量会因菌体的散射和吸收而降低。细菌的浓度与透光量之间成反比。光密度或者透光度可以通过紫外分光光度计准确测出[22]。因此通过测定OD值,绘制OD值-时间曲线,就可以得出细菌浓度随时间的变化规律,即生长曲线。本实验采用UV-2550型紫外分光光度计,每天测定实验介质的光密度。
1.4 电化学实验
电化学测试系统采用三电极体系,工作电极为X70管线钢,辅助电极为Pt电极,参比电极为饱和甘汞电极 (SCE)。用万用表每天测量有菌介质中X70钢的自腐蚀电位。用PARSTAT 2273型电化学工作站对浸泡4,7,10和14 d的试样进行极化曲线和电化学阻抗谱 (EIS) 测量,EIS测量频率为105~10-2Hz,交流激励信号为10 mV。动电位极化曲线测试的扫描速率为0.667 mV/s,扫描范围为-0.35~0 V (vsOCP)。本文中所有的电位均相对于饱和甘汞电极 (SCE)。
2 结果与讨论
2.1 SRB生长曲线
SRB在不同pH值下的生长曲线如图1所示。在pH值为6条件下,1~7 d内SRB处于快速增长期,OD值迅速增加,至第7 d时达到最大值;7~14 d时进入衰亡阶段,即SRB大量死亡,同时新生成的SRB较少,故OD值持续降低。在pH值为8条件下,SRB的繁殖速率明显增加,在1~6 d内OD值增长速率较大,为对数增长期;在6~9 d时OD值达到最大值,此时处于一段稳定期,即新增SRB数量与死亡SRB数量基本持平;10~14 d时OD值开始降低,表明SRB进入衰亡期。在pH值为10条件下,1~5 d内SRB增长缓慢,OD值变化较小,SRB处于黏滞生长期;在第6 d时SRB迅速增长,并在6~8 d内处于稳定生长期,OD值基本保持不变;在第9 d时迅速增加至最大值;在10~14 d内SRB大量死亡,OD值迅速降低。由此可见,pH值对SRB的生长情况有显著影响,在近中性 (pH值为8时) 溶液中生长情况最好,弱碱条件下生长最差。

图1 SRB在不同pH值南海海泥模拟溶液中的生长曲线
2.2 电化学实验
2.2.1 自腐蚀电位
自腐蚀电位 (Ecorr) 可表示金属失去电子的相对难易程度,电位值越负,金属的腐蚀热力学倾向越大,也即越容易失去电子从而发生腐蚀[23]。对X70钢在不同pH值的含有SRB的南海海泥模拟溶液中浸泡14 d的Ecorr进行监测,结果见图2。可知,pH值为6时,Ecorr第1 d最高,为-698 mV;随后Ecorr开始下降,第10 d时降至最低-758 mV;之后,略有升高并稳定在-752 mV。在pH值为8条件下,Ecorr明显低于另外的两个条件下的,且在14 d内持续下降,从第1 d的-727 mV下降至14 d的-774 mV,表明pH值为8时X70钢的腐蚀热力学倾向较大,也即容易发生腐蚀。在pH值为10条件下,Ecorr先升高至-715 mV,3 d后开始降低,至第12 d时趋于稳定,实验结束时Ecorr为-756 mV。

图2 X70钢在不同pH值含有SRB的南海海泥模拟溶液中的Ecorr
以上结果表明,X70钢在不同pH值含有SRB的南海海泥模拟溶液中的Ecorr随时间增加均表现为下降趋势。这是由于细菌的生长繁殖导致Ecorr降低。SRB的繁殖改变了溶液离子成分,生成的硫化物导电性增加,腐蚀速率加快,Ecorr降低。此外,SRB及其微生物膜具有电负性,也导致Ecorr降低[24]。根据生长曲线结果,SRB在pH值为8时生长最旺盛,溶液腐蚀性最强,这与pH值为8时Ecorr具有最小值的结果一致。
2.2.2 极化曲线
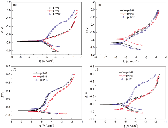
图3是X70钢在不同pH值下浸泡不同天数的动电位极化曲线,图4是根据极化曲线拟合得到的腐蚀电流密度 (Icorr)。由图3a可知,在第4 d时,X70钢在pH值为6和8条件下均呈现出典型的活性溶解特征;而在pH值为10条件下显著左移,表现出钝化现象,腐蚀电流最小。结合图2可知,在pH值为10条件下,X70钢的Ecorr先上升,3 d后降低,这是因为X70钢在较高pH值环境下易形成钝化膜,起到一定的保护作用。由图4可知,pH值为6和8条件下极化曲线的腐蚀电流密度相对比较接近,且极化曲线基本重合。在第4 d时,SRB皆处于快速增长期,虽然在pH值为8条件下数量最大,在pH值为6条件下数量较少,但此时介质中都含有大量活性SRB,能迅速在X70钢表面形成微生物膜。微生物膜由SRB代谢活动产生Fe的硫化物和细菌体、胞外聚合物和其他腐蚀产物构成[25],此时微生物膜未能起到保护作用,导致pH值为6和8条件下电极呈活化溶解状态。

图3 X70钢在不同pH值含有SRB的南海海泥模拟溶液中的极化曲线

图4 X70钢在含有SRB的不同pH值南海海泥模拟溶液中的腐蚀电流密度
第7 d时 (图3b),3种条件下的极化曲线均表现为活化溶解,且阳极部分基本重合。根据SRB生长曲线,此时3种pH值条件下SRB均处于较高浓度,介质条件对X70钢电化学行为影响加强,生物膜保护作用减弱,腐蚀电流密度增大,腐蚀速率增大。值得注意的是,在pH值为8时的阴极电流密度显著增加,表明此时SRB促进了阴极反应。SRB的阴极去极化作用将SO42-还原为S2-,使吸附在金属表面的[H]氧化,加快了析氢腐蚀反应,反应如图5所示。

图5 硫酸盐还原菌腐蚀图解
金属表面脱氢后腐蚀过程继续进行,同时Fe以Fe2+形式在溶液中存在。反应式如下[26]:

Liu等[27]认为在金属腐蚀过程中,由电极过程产生的亚铁离子 (Fe2+) 能够与SRB代谢的硫化物反应,形成铁硫化物的复合物。大部分完好的铁硫化物可以作为催化阴极析氢反应的电极,并与局部的活性溶解区耦合而形成加速腐蚀的电偶对[28,29]。由SRB的生长曲线可知,在pH值为8条件下生长情况最好,X70钢表面的FeS最多,阴极反应过程快,腐蚀电流密度较大,腐蚀速率也较大。在pH为10条件下SRB生长情况最差,阴极反应过程慢,腐蚀电流密度小,腐蚀速率最小。
当浸泡至第10 d时 (图3c),各pH值条件下X70钢均表现出“钝化”行为,且pH值为6和10条件下的极化曲线基本重合。这种“钝化”行为是由于电极表面生成的腐蚀产物膜导致的。虽然腐蚀产物膜可以阻碍金属表面电化学反应的进行,但在金属表面生成的腐蚀产物膜疏松多孔,导致局部腐蚀严重,故pH值为8条件下的腐蚀电流显著增加。根据图1的结果,此时SRB在pH值为8条件下的溶液中生长最旺盛,溶液中S2-含量最高,反应 (5) 易于发生,导致溶液中Fe2+不断被消耗,阳极溶解持续进行,因此X70钢腐蚀最严重;而pH值为6和10条件下的腐蚀电流密度较小,腐蚀较弱。
当浸泡至第14 d时 (图3d),pH值为6和8条件下的极化曲线钝化现象消失,此时SRB进入衰亡期,新陈代谢几乎停止,电极表面的腐蚀产物膜脱落。由于微生物新陈代谢停止,微生物腐蚀作用减弱,故腐蚀电流降低,腐蚀速率减小。但pH值为10条件下的极化曲线却存在完整的钝化区间,表明此时电极表面起保护作用的主要是碱性介质中形成的钝化膜。
2.2.3 EIS结果
X70钢在不同pH值下浸泡不同时间的Nyquist图和Bode图见图6。在不同条件下浸泡不同时间的Nyquist曲线均表现为单一容抗弧,表明腐蚀过程由电化学反应控制。阻抗弧半径对应的电荷转移电阻与腐蚀产物层的形成有关,容抗弧半径越大表明腐蚀速率越小。在Bode图中,随浸泡时间的延长其峰值向低频移动。Miranda等[30]的研究表明,SRB生物膜的时间常数通常出现在低频区,因此Bode图中低频区的时间常数是由SRB生物膜引起的。相位角的变化在一定程度上暗示了腐蚀电容的变化,SRB新陈代谢产生的H2S等生物源硫化物通过进一步反应生成铁硫化物,可使电容增加。

图6 X70钢在含有SRB的不同pH值南海海泥模拟溶液中的Nyquist图和Bode图
根据以上分析,采用如图7所示的等效电路图,用ZSimpWin软件对X70钢在不同pH值下浸泡不同时间的电化学阻抗谱进行拟合,结果见表1。其中,RS表示溶液电阻,Rf和Qf分别为生物膜和腐蚀产物膜的电阻和电容,Rct和Qdl分别为电荷转移电阻和双电层电容,n是与金属表面状态相关的拟合常数,n1是Qf所对应的拟合常数,n2是Qdl所对应的拟合常数。

图7 X70钢在含有SRB的南海海泥模拟溶液中EIS等效电路图
表1 X70钢在含有SRB的不同pH值南海海泥模拟溶液中EIS等效电路拟合结果

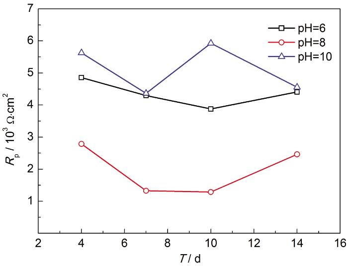
定义极化电阻Rp等于Rf与Rct之和。图8是X70钢在不同pH值的含有SRB的南海海泥模拟溶液中浸泡不同时间的Rp结果。可知,前10 d内,在pH值为6和8条件下的Rp随浸泡时间延长逐渐降低,说明X70钢表面的腐蚀反应随SRB的繁殖生长逐渐增强。SRB氢化酶影响了生物膜的稳定性和钢溶解过程中的质量传输,促进了金属基体的腐蚀,并且金属表面的腐蚀产物膜和微生物膜疏松多孔,导致局部腐蚀严重。14 d后SRB活动几乎停止,微生物腐蚀作用减弱,故Rp上升,腐蚀速率减小。在pH值为10条件下,浸泡10 d时的Rp上升,说明此时腐蚀反应减弱,是金属表面生成的腐蚀产物膜和碱性介质中生成的钝化膜导致的,14 d后下降是由于腐蚀产物膜的脱落导致的。

图8 X70钢在含有SRB的不同pH值南海海泥模拟溶液中的Rp
此外,在pH值为8条件下的Rp最小,在pH值为10条件下的Rp最大,说明在pH值为8条件下的腐蚀速率最大,在pH值为10条件下的腐蚀速率最小。在pH值为8条件下的SRB数量最多,微生物腐蚀行为较严重,而在pH值为10条件下的SRB数量较少,微生物腐蚀行为较弱,且X70钢在碱性介质中易形成钝化膜阻碍金属的腐蚀。这与前面的实验结果相对应。
3 结论
(1) 海泥溶液pH值能影响SRB的生长,SRB在pH值为8条件下生长情况最好,在pH值为6条件下次之,pH值为10条件下生长情况最差。pH值为8时,SRB生长期分为3个阶段:对数增长期、稳定生长期和衰亡期;pH值为6和10时,SRB生长期分为两个阶段:对数增长期和衰亡期。
(2) X70钢在不同pH值的含有SRB的南海海泥模拟溶液中的Ecorr随时间增加均表现为下降趋势。在pH值为8条件下的Ecorr最负,即金属腐蚀热力学倾向性最大,最易发生腐蚀。
(3) 在pH值为8条件下,微生物腐蚀现象严重,金属腐蚀速率最快。在pH值为10条件下,金属表面易形成钝化膜,且SRB生长情况最差,微生物腐蚀现象较弱,腐蚀速率最慢。
免责声明:本网站所转载的文字、图片与视频资料版权归原创作者所有,如果涉及侵权,请第一时间联系本网删除。
官方微信
《中国腐蚀与防护网电子期刊》征订启事
- 投稿联系:编辑部
- 电话:010-62316606-806
- 邮箱:fsfhzy666@163.com
- 中国腐蚀与防护网官方QQ群:140808414



