摘要
采用热分解法制备了添加石墨烯的Ti/IrTaSnSb-G金属氧化物阳极,测试了阳极在1.5%NaCl溶液中的电化学性能,并通过SEM及EDS进行了显微形貌和成分分析,研究了石墨烯对阳极性能的影响。结果表明:石墨烯促进了IrO2在阳极表面偏析,其晶粒结构主要呈枝状,并存在二次结晶现象,形成纳米针状结构。此外,石墨烯阻碍了涂层中裂纹的扩展,使得阳极表面的裂纹更多、更细小,从而增大了阳极的活性表面积,进而提高了阳极的电化学活性。当石墨烯添加量为0.6 g/L时,氧化物阳极的性能改善最佳,在低温和低盐NaCl溶液中的电流效率分别提高了9%和13%。
关键词: 石墨烯; 氧化物阳极; 电化学活性; 电流效率
钛基金属氧化物阳极 (DSA) 因电催化活性高、槽压低、稳定性好等特性,被广泛应用于氯碱工业、水处理、阴极保护、电冶金等领域[1,2,3]。近年来,随着海洋环保问题日益突出,各国和国际组织都出台了相应的“船舶压载水排放标准”,预防海生生物入侵迎来了新的里程碑[4]。利用金属氧化物阳极电解海水产生强氧化性的有效氯,来杀灭海水中的微生物,已被大量应用于船舶压载水处理[5,6,7]。复杂的海洋环境和更苛刻的排放标准,使得金属氧化物阳极需要具备更高的性能。况且,在实际应用过程中,尤其是低温或者低盐海水条件下,存在着阳极性能劣化问题,如析氯活性降低、稳定性变差等,导致电流效率大幅下降,造成实际电解海水产生的有效氯浓度降低[8,9]。目前,金属氧化物阳极在低温或低盐条件下性能改善研究较少,因而研制在低温或低盐条件下拥有高电催化活性和稳定性的阳极具有重要意义。
通常认为,活性物质均匀溶入阳极涂层中被认为能够最大限度发挥涂层配方的协同作用[10,11,12]。但由于低温下,氧化物阳极涂层达到活化能的活性点大幅减少[13,14];以及低盐下,氯离子扩散至活性点的机率减小,导致氧化物阳极的电流效率大幅下降[15,16]。因此,阳极涂层中活性物质在表面的析出以及阳极活性表面积的增加可以有效改善低温或低盐下电流效率偏低的问题。
石墨烯是一种单片层结构的二维纳米材料,拥有大的比表面积,优异的导电性能和较高的稳定性等优点,在超级电容器、电池等电化学领域被大量研究[17,18,19,20],但在金属氧化物阳极中的应用却报道较少。本文采用热分解法制备了含石墨烯的Ti/IrTaSnSb-G阳极,研究了在低温或低盐条件下,石墨烯对金属氧化物阳极电化学性能的影响。
1 实验方法
实验采用工业纯钛TA2作为基体材料,对试样进行喷砂、除油、酸洗蚀刻后存入无水乙醇中备用。按照Ir∶Ta∶Sn∶Sb=5∶1∶1∶3的摩尔比配制涂液,并加少许盐酸起润湿作用,然后加入一定量的石墨烯,并搅拌均匀。将涂液涂刷在预处理好的钛试样上,先在烘箱中120 ℃温度下烘10 min,然后在460 ℃下烧结10 min,冷却后反复涂覆,共涂刷6层,最后一层烧结1 h,得到不同石墨烯添加量 (0、0.2、0.4、0.6、0.8和1.0 g/L) 的Ti/IrTaSnSb-G阳极。
使用PAR2273电化学工作站进行电化学测试,选用三电极体系,辅助电极为Pt电极,参比电极为饱和甘汞电极 (SCE),工作电极为氧化物阳极,规格为10 mm×10 mm,并采用环氧腻子封装,电解液为1.5% (质量分数) NaCl溶液,实验温度15 ℃,试样在电解液中浸泡3 h后测量。阳极极化曲线扫描电位区间为0~2 V,扫描速度0.33 mV·s-1。循环伏安扫描区间为0~1.0 V,扫描速度20 mV·s-1,扫描圈数20圈。电化学阻抗在直流偏压1.13 V下测量,扫描频率为105~10-2 Hz。
在15 ℃下1.5%NaCl溶液 (低盐) 和5 ℃下3.5% (质量分数) NaCl溶液 (低温) 中测定了阳极的电流效率,采用环氧腻子封装试样,工作面积为9 cm2,电流密度为1500 A·m-2,电解时间20 min。强化电解寿命实验在0.5 mol·L-1的H2SO4溶液中进行,水浴恒温40 ℃,试样规格为2 mm×10 mm,电解电流密度为20000 A·m-2。
主要试剂为乙二酸 (AR)、四氯化锡 (AR)、正丁醇 (AR)、盐酸 (质量分数38%)、氯化钠 (AR)、无水乙醇 (AR),氯铱酸 (铱质量分数为35%),五氯化钽 (质量分数为20%),三氯化锑 (CP),单层石墨烯粉末 (>99%)。
采用Zeiss Ultra5.5场发射扫描电子显微镜 (SEM) 及自带的能谱仪 (EDS) 对阳极涂层的显微形貌和成分进行分析;利用Tensor 37 Fourier变换红外光谱仪对阳极中石墨烯进行检测及表征。
2 结果与讨论
2.1 阳极的红外光谱图
为探究石墨烯在高温烧结后是否分解,对Ti/IrTaSnSb-G阳极进行了红外光谱分析,如图1。可见,未添加石墨烯的阳极几乎没有特征峰,而含石墨烯的阳极在3430和1630 cm-1附近有两个较强的吸收峰,分别为—OH和C=C键的吸收峰,表明烧结处理后石墨烯仍存在于阳极涂层中。

图1 Ti/IrTaSnSb-G anodes阳极的红外光谱
2.2 阳极显微结构及形貌分析
由图2a和b可见,阳极涂层均呈龟裂纹结构,且表面都存在一定程度的偏析,但不同的是传统阳极表面相对平坦,偏析较少,而石墨烯改性的阳极形成了起伏不平的显微形貌,大量偏析物分布于“山脊”上,这种凹凸形貌增加了阳极表面的粗糙度。此外,添加石墨烯的阳极表面裂纹变得更细、不连续,而传统阳极涂层的裂纹较宽且贯穿阳极表面。这可能是因为石墨烯阻碍了涂层中裂纹的扩展[21],一方面当裂纹扩展到石墨烯边缘时,因不能撕裂高强度石墨烯片而停止生长,另一方面也有可能改变原生长方向,但这将会消耗部分断裂能[22]。

图2 不同IrTaSnSb-G阳极的显微形貌
由图2c和d可知,未添加石墨烯的阳极表面析出物呈团簇状,而含石墨烯的阳极表面析出物为枝状结构,并存在二次结晶,形成细长的纳米针状结构。综上所述,石墨烯促进IrO2在阳极表面结晶,这些纳米针状结构的IrO2大幅增加了阳极的活性表面积,有利于提高阳极电化学活性。
EDS分析结果显示阳极涂层表面析出物主要为IrO2。排除基体元素Ti的影响,并对测试结果进行归一化处理。由表1可知,添加石墨烯后,阳极表面Ir含量有所降低,当添加量达到0.6 g/L时,铱含量最低,然后随石墨烯含量增加,Ir含量又逐渐增加。这可能是因为石墨烯促进了IrO2偏析,Ir被充分氧化,富集在裂纹处,而其它区域Ir含量减少,当石墨烯含量超过0.6 g/L时,可能由于石墨烯发生了团聚,反而减弱了IrO2的偏析。
表1 不同Ti/IrTaSnSb-G阳极表面成分

2.3 循环伏安分析
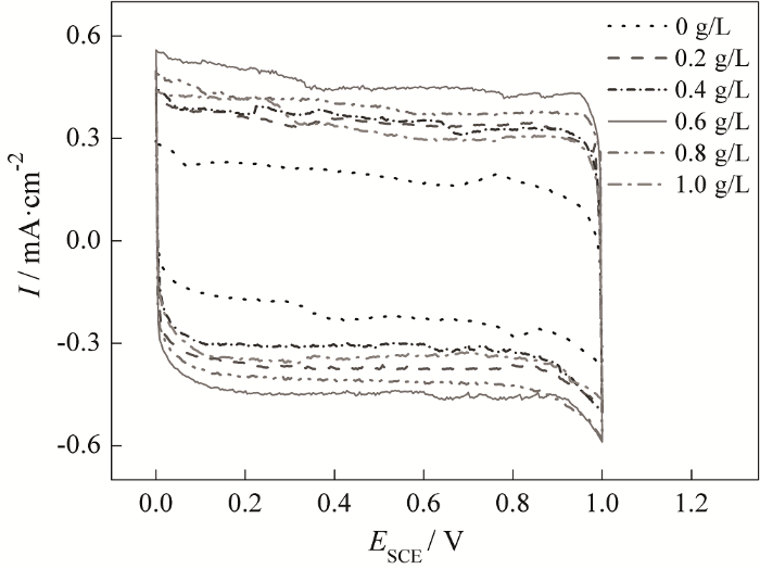
伏安电量Q通常用于表征阳极表面活性点的数量[23,24]。图3为阳极的循环伏安曲线,石墨烯含量对阳极伏安电量的影响见图4。由图可知,添加石墨烯的阳极,伏安电量显著增加,其中,当石墨烯含量为0.6 g/L时,含石墨烯阳极的伏安电量是未添加石墨烯阳极的2.3倍,这是因为石墨烯促进了IrO2在阳极表面偏析,从而提高了阳极表面活性点数量。随着石墨烯含量的升高,伏安电量先增加,并在含量为0.6 g/L时,Q值达到最大值。但当含量超过0.6 g/L时,伏安电量反而呈下降趋势,这可能是因为过量的石墨烯发生了团聚,导致IrO2在阳极表面析出减少,可见添加适量的石墨烯可以大大提高金属氧化物阳极的电催化活性。

图3 不同Ti/IrTaSnSb-G阳极的循环伏安曲线

图4 不同Ti/IrTaSnSb-G阳极的循环伏安电荷
2.4 极化曲线测试
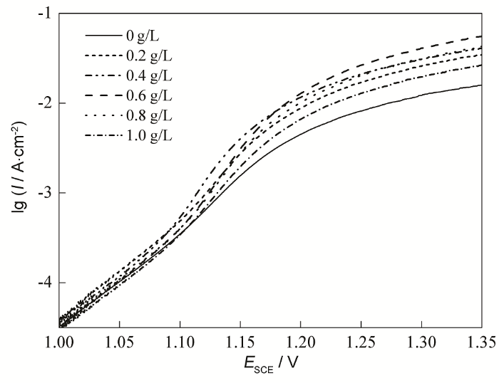
测试了不同Ti/IrTaSnSb-G阳极在15 ℃下1.5% NaCl溶液的极化曲线,结果见图5。由图可知,阳极在电位达到1.11V后开始发生析氯反应,曲线不再呈线性变化,随着极化电位的升高,含石墨烯阳极的电流密度增量均明显大于未添加石墨烯的阳极,表明含石墨烯阳极的极化电阻更小,电化学反应更易进行,因而析氯活性更好。实验还发现在相同的极化电位下,石墨烯含量为0.6 g/L时,阳极的电流密度最大,当含量继续升高时,电流密度转而下降,电催化活性降低,这与循环伏安分析的结果一致。

图5 不同Ti/IrTaSnSb-G阳极在1.5%NaCl溶液中的极化曲线
2.5 电化学阻抗分析
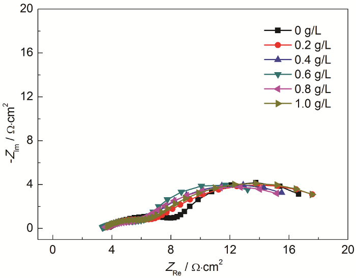
Ti/IrTaSnSb-G阳极在1.5%NaCl溶液中的电化学阻抗谱见图7,采用Rs(QfRf)(QdlRct) 等效电路对阻抗进行拟合 (图6),结果见表2,其中,Rs为溶液电阻,Rf、Qf分别为阳极涂层本身的电阻和电容,Rct、Qdl分别为阳极/溶液界面上电荷转移电阻和溶液双电层电容[25]。(QdlRct) 反映的是阳极与电解质界面双电层的阻抗,而 (QfRf) 反映的是金属氧化物阳极内表面与钛基体之间的阻抗[26,27]。

图7 不同Ti/IrTaSnSb-G阳极的Nyqusit图

图6 Ti/IrTaSnSb-G阳极在1.5%NaCl溶液中的等效电路图
表2 不同烧结温度Ti/IrTaSnSb-G阳极电化学阻抗等效电路拟合值

由图7可以看出,阻抗谱均有两个容抗弧,高频区较小的容抗弧反映的是阳极涂层的容抗,而低频段较大的容抗弧是双电层的容抗,与双电层发生的电化学反应有关。并且从表2也可看出石墨烯改性后的阳极Rf值不到传统阳极的75%,可见添加石墨烯后阳极的导电性明显改善。Qf值通常可以反映阳极活性点数目,改性后阳极的Qf值高了一个数量级,表明阳极表面的活性点数目显著增加。Rct反映的是阳极发生电化学反应是电荷传递电阻,改性后的阳极Rct值远小于传统阳极,由此可知,含石墨烯阳极发生电化学反应阻力更小,析氯反应更易进行,这与极化曲线结果一致。Qdl通常用于表征双电层的充放电性能,含石墨烯的阳极Qdl值更大,阳极的充放电能力得以提升,电催化性能更佳。此外,当石墨烯含量为0.6 g/L时,阳极的拟合值最佳,表明此石墨烯含量下的阳极具有更优异的性能,当石墨烯含量超过0.6 g/L时,性能转而下降,这与伏安分析和极化曲线结果一致。
2.6 阳极的电解效率分析
电流效率可以更直观地评价金属氧化物阳极的析氯效果,阳极在5 ℃的3.5%NaCl溶液和15 ℃的1.5%NaCl溶液中的电流效率分别见图8。结果显示,不论在低温还是低盐条件下,含石墨烯阳极的电流效率均高于传统阳极,其中当石墨烯含量为0.6 g/L时,含石墨烯阳极在低温和低盐条件下的电流效率较传统阳极分别提高了9%和13%。随着石墨烯含量的增加,Ti/IrTaSnSb-G阳极的电流效率呈上升趋势,并在含量为0.6 g/L时达到最大值,但当含量继续增加时,电流效率转而呈下降趋势。因此,添加适量的石墨烯可以显著提高金属氧化物阳极在低温或低盐条件下电解海水时的电流效率。

图8 不同阳极在5 ℃的3.5%NaCl溶液和15 ℃的1.5%NaCl溶液中的电流效率曲线
2.7 阳极的强化电解寿命分析
氧化物阳极的稳定性通常由强化电解寿命试验来表征,Ti/IrTaSnSb-G阳极的强化电解寿命见图9。可知,氧化物阳极经由石墨烯改性后,寿命由170 h提高到300 h以上。这可能是由于石墨烯改性后的阳极裂纹细小,减少了O2扩散至钛基体的概率,进而延长了阳极的使用寿命。不同含量石墨烯改性的阳极,强化电解寿命变化不大,但均远高于未添加石墨烯的阳极。

图9 不同Ti/IrTaSnSb-G在40 ℃的0.5 mol·L-1硫酸溶液中的强化电解寿命
3 结论
(1) 通过添加石墨烯对金属氧化物阳极改性,阻碍了涂层中裂纹的扩展,并且,石墨烯促进活性物质在阳极表面偏析,更多更细小的裂纹以及大量枝状结构的IrO2大大增加了阳极的活性表面积。
(2) 石墨烯改性后氧化物阳极导电性得到明显改善,双电层电荷传递电阻大幅下降,因此,石墨烯改性后的氧化物阳极,在低温和低盐NaCl溶液中析氯活性明显增强,电流效率得以大幅提高。当石墨烯添加量为0.6 g/L时,氧化物阳极的性能改善最佳,在低温和低盐NaCl溶液中的电流效率分别提高了9%和13%。
(3) 石墨烯改性后的氧化物阳极,涂层更致密,降低了钛基体被氧化的速率,寿命提高显著,稳定性更佳。
免责声明:本网站所转载的文字、图片与视频资料版权归原创作者所有,如果涉及侵权,请第一时间联系本网删除。
官方微信
《中国腐蚀与防护网电子期刊》征订启事
- 投稿联系:编辑部
- 电话:010-62316606-806
- 邮箱:fsfhzy666@163.com
- 中国腐蚀与防护网官方QQ群:140808414



