摘要
采用浸泡实验、表面分析及电化学测试技术研究了交流电流密度 (0~500 A/m2) 对X100管线钢在库尔勒土壤溶液中腐蚀行为的影响。结果表明:X100钢的平均腐蚀速率随着交流电流密度的增加而增大。交流电流密度不大于100 A/m2时,腐蚀形貌为均匀腐蚀,更大交流电流密度下腐蚀形貌为局部腐蚀。交流电干扰下的X100钢的腐蚀产物分为两层,表层为以FeOOH为主的疏松黄色产物,底层为以Fe3O4为主的存在大量裂纹的黑色产物,对金属基体缺乏保护性。在交流干扰开始瞬间,X100钢在模拟液中的腐蚀电位负偏移且交流电密度越大偏移量越大,但电流密度大于200/m2的腐蚀电位随之又明显正偏移后再趋于稳定。动电位极化曲线显示,交流干扰下X100钢在测试溶液中为活动溶解,腐蚀电流密度随着交流电流密度增大而增大。
关键词: X100管线钢; 交流干扰; 交流电流密度; 腐蚀行为; 库尔勒土壤模拟液
杂散电流干扰会加速埋地钢质管道腐蚀,但早期研究认为交流电流相对于等量直流电流对腐蚀影响相对较小,所以其对于埋地钢管的腐蚀危害可以被忽略[1,2]。然而随着油气管道与高压输电线或铁路系统平行或交叉的情况日益增多,近年来发生的交流电流干扰造成的埋地管道事故研究表明交流干扰诱发的腐蚀已成为危害埋地钢质管道安全的重要隐患。但由于交流干扰腐蚀影响因数众多、腐蚀过程复杂,目前的研究结论及观点仍存在争议。国内外学者围绕交流干扰腐蚀开展的相关研究[7,8,9,10,11,12,13,14,15,16,17]表明,交流干扰电压、电流密度的增加及频率的减小一般会使受干扰金属腐蚀速率增大、反之腐蚀速率减小,交流电流密度小于100 A/m2时一般发生均匀腐蚀,大于该电流密度时易发生局部腐蚀;同时,金属的材质、腐蚀溶液的成分、含氧量和酸碱度等因素对交流干扰的腐蚀行为都具有重要影响。
随着石油天然气管道行业快速发展,大直径、高压力、大输量成为油气管道输送的重要趋势[18],高强管线钢应用日益普遍,世界范围内已建成多条X100管线钢试验管段[19],X100管线钢将成为长输油气管道重要材质。库尔勒土壤是我国西北地区盐渍土的典型代表,该类型土壤含盐量高、透气性好,对地下管线腐蚀性强[20]。本文采用浸泡实验、表面分析及电化学测试技术研究交流电密度对X100管线钢在库尔勒土壤模拟液中腐蚀行为的影响,为X100管线钢应用中的交流杂散电流防护提供参考。
1 实验方法
实验材料为API X100管线钢,其化学成分 (质量分数,%) 为:C 0.051,Mn 1.909,Si 0.216,P 0.010,S 0.004,Cr 0.287,Ni 0.313,Cu 0.139,Al 0.045,Mo 0.250,Ti 0.012,Nb 0.063,V 0.039,Pb 0.002,B 0.0003,Sn 0.003,As 0.005,Fe余量。其微观组织如图1所示,主要由粒状贝氏体及少量铁素体组织构成。电化学试样尺寸为10 mm×10 mm×5 mm,背面连接绝缘铜线,除10 mm×10 mm的工作面外其余表面用环氧树脂密封。浸泡试样尺寸为20 mm×20 mm×2 mm,一角上打φ2 mm小孔用于连接铜线,连接铜线部分用硅胶绝缘,浸泡有效面积约为720 mm2。实验前,用240~2000目水磨砂纸逐级打磨电化学用试样、240~800目水磨砂纸逐级打磨浸泡用试样,之后用丙酮、乙醇及去离子水清洗。实验采用的库尔勒土壤模拟液成分 (g/L) 配比为:CaCl2 0.2442,NaCl 3.1707,Na2SO4 2.5276,MgCl2·6H2O 0.6699,KNO3 0.2156,NaHCO3 0.1462,用分析纯试剂和去离子水配置。

图1 X100管线钢显微组织
采用PARATAT 2273电化学工作站进行电化学测试 (图2),图中AC表示交流干扰电源;WE表示工作电极 (X100管线钢);RE表示参比电极 (饱和甘汞电极,SCE);CE表示辅助电极 (Pt电极),石墨电极作为交流干扰回路电极。实验装置包括交流干扰和电化学测试两个回路。交流干扰部分主要包括交流数字信号发生器 (HAD-1020A) 和石墨电极,用于在试样上形成交流杂散电流。为阻止两个电回路的相互干扰及过虑交流回路中可能存在的直流成分,交流回路串联电容 (470 μF)、测量回路串联电感。浸泡实验使用调压器作为电流源,回路中串联电容以过滤可能存在的直流电流,变阻器调节交流电流密度,同时试样回路中串联定值电阻防止试样表面阻抗变化引起交流电流密度较大变化。用高频数据采集卡 (ADLINK USB-901) 及自行编制的控制软件采集施加不同交流电流密度6 d后的工作电极电位。

图2 电化学实验装置
交流干扰电流频率为50 Hz,电流密度分别为0、30、50、100、200及500 A/m2。浸泡实验周期为144 h,测量环境温度为室温 (约16~26 ℃)。实验结束后使用机械方法及依据GB/T 16545-2015配制的除锈液 (成分比例:500 mL盐酸+3.5 g六次甲基四胺+500 mL蒸馏水) 清除腐蚀产物。采用S-3500扫描电镜 (SEM) 进行试样表面形貌观察及腐蚀产物能谱 (EDS) 分析。采用PANalytical X射线衍射仪 (XRD) 进行腐蚀产物的物相分析。电化学实验前,将试样在-1.0 V电位下阴极极化3 min,静置0.5 h后开始测试,腐蚀电位测量过程分为无交流干扰、加交流干扰、断开交流干扰3阶段,测量时间分别为1200、1400和1000 s。腐蚀电位高频测量在浸泡实验结束前以5000 Hz频率进行。动电位极化曲线电位扫描范围为-1.2~0 V (SCE),扫描速率1 mV/s。
2 实验结果与分析
2.1 平均腐蚀速率
图3为不同交流电流密度下X100钢在库尔勒土壤模拟液中的平均腐蚀速率。可见,交流干扰促进了腐蚀,随着交流电流密度的增加,腐蚀速率逐渐增大。对于交流腐蚀的机理,McCollum等[21]认为AC腐蚀是在交流的阳极半周产生的金属离子未能在交流阴极半周还原造成的;Nielsen等[22]认为管道防腐层缺陷附近环境碱化及交流电流引起的管地电位振荡共同作用造成腐蚀增加;也有研究者[2,8,9]认为AC腐蚀原因是阴极去极化速度大于阳极去极化速度造成的阴阳两极Tafel斜率的不对称性引发的局部腐蚀;以上提出的这些腐蚀机理都无法全面解释交流腐蚀现象,所以腐蚀机理还需进一步深入研究。本实验条件下,100和500A/m2交流电流密度造成腐蚀速率分别约为自然腐蚀速率的1.7及2倍,低于交流电流密度对X70、X80管线钢的腐蚀速率,应该为金属材质及模拟溶液的不同造成的。随着交流电流密度的增加,由单位交流电流产生的腐蚀增量减小,并且显著小于等量直流电造成的腐蚀增量,这被认为是因为仅有很小一部分交流电流作为法拉第电流参与金属溶解,绝大部分消耗在了电极双电层的充放电中。

图3 不同交流电流密度下的腐蚀速率
2.2 电化学测试结果
图4为不同交流电流密度下X100钢在库尔勒土壤模拟液中的腐蚀电位变化情况。交流干扰开始瞬间,腐蚀电位都不同程度的负移,交流电流密度越大,负偏移量越大。之后,交流电流密度为30 A/m2的腐蚀电位仍缓慢负移,但大于等于50 A/m2时,腐蚀电位从最大负偏移电位又正向偏移后趋于稳定,交流电流密度越大,正向偏移速度越快,偏移幅度也越大。断开交流电流瞬间,腐蚀电位都正移,交流电流密度越大,正偏移量越大,之后趋于自腐蚀电位并保持稳定。相关理论研究通过数学模型计算表明[7,24],交流干扰对金属腐蚀电位偏移方向的影响主要取决于阳极与阴极Tafel斜率比R,当R>1时正向偏移,R<1时负向偏移,R=1时不发生偏移;而偏移量则随着交流电的峰值电位增大而增大。Kuang等[25]认为交流电流提高了金属与溶液界面层的电场强度,加速了腐蚀产生的阳离子通过试样表面腐蚀产物层向溶液中的扩散速度,从而使腐蚀电位负移;而腐蚀电位又正移是因较大电流密度加速了腐蚀而产生更多腐蚀产物,使腐蚀产物层增厚,从而滞留了更多阳离子在双电层内造成试样极化电位正移。

图4 交流电流密度对X100钢腐蚀电位影响
图5为以5000 Hz采集的交流干扰6 d后的X100钢在库尔勒土壤模拟液中的电极电位。可见,真实的电极电位是发生正弦振荡的,且振幅随着交流电流密度的增加而增大,本实验系统中,在30 A/m2电流密度下振幅为257 mV,而500 A/m2电流密度下振幅达到2621 mV,相同的交流电流密度在不同的腐蚀体系中引起的电位幅值可能会所有不同。

图5 以5000 Hz频率采集的交流干扰X100钢极化电位
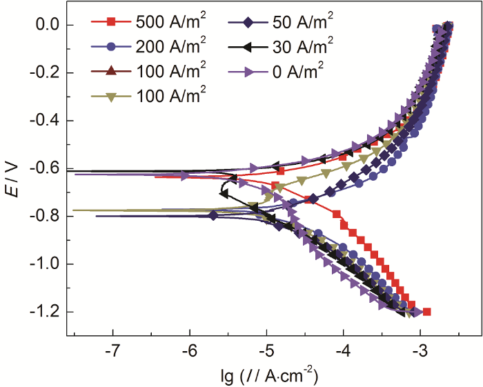
图6为不同交流电流密度下X100钢在库尔勒土壤模拟液中的动电位极化曲线。可见,X100钢在测试溶液中为活性溶解,未发生钝化现象。随着交流电流密度增加,零电流电位负移,腐蚀电流密度增大,与交流干扰对其它管线钢在土壤模拟液中的影响趋势一致。

图6 交流电流密度对X100钢极化曲线影响
2.3 腐蚀产物
图7和8分别为不同交流电流密度下X100钢在库尔勒土壤模拟液中的腐蚀产物形貌SEM结果和腐蚀产物成分分析结果。图7a1~c1和a2~c2分别为0、50和500 A/m2交流电流密度下表层及底层腐蚀产物的形貌。腐蚀产物宏观肉眼可见表层为疏松的黄色产物,浸泡过程中大量脱落在容器底部,下层为黑色产物。由SEM像可见,有无交流干扰情况下,腐蚀产物都分为两层,表层呈疏松状;底层相对致密,但存在大量裂纹,且随着电流密度的增加裂纹宽度增加。可见腐蚀产物对金属基体缺乏保护性。分别对这几种电流密度下的表层及底层腐蚀产物成分进行EDS分析,结果显示腐蚀产物都是主要由O和Fe构成,同时有少量Na、S、Cl,内外层的分布规律类似,表层中的O分子数比例明显高于底层,其它成分分子数则底层的高于表层的。XRD显示表层腐蚀产物主要为FeOOH,底层主有Fe3O4、FeOOH及Fe2O3。图8a和b为50 A/m2电流密度下的腐蚀产物底层及表面的EDS结果,图8c为500 A/m2电流密度下的腐蚀产物XRD结果。依据腐蚀产物成分,推断X100在库尔勒土壤模拟液中腐蚀过程发生的反应如下:

图7 不同交流电流密度干扰144 h的X100钢腐蚀产物形貌

图8 不同交流电流密度干扰144 h的X100钢腐蚀产物成分分析

2.4 腐蚀形貌
图9为不同交流电流密度下X100钢在库尔勒土壤模拟液中的腐蚀形貌。可见,自然腐蚀表现为明显的均匀腐蚀,交流电流密度为30和50 A/m2时,仍为均匀腐蚀,但表面分布众多密集小腐蚀坑;交流电流密度为100 A/m2时,表面出现更大的较浅腐蚀坑,但是均匀腐蚀特征更明显;电流密度达到200和500 A/m2时,腐蚀形貌转变为明显的局部腐蚀,出现点蚀坑,且电流密度越大,局部腐蚀越严重。表面形貌与失重结果一致,随着交流电流密度增大,表面腐蚀更严重。相关研究[25,29]认为,较高交流电流密度干扰下产生局部腐蚀是由于交流电引起电极电位的“振荡”作用 (如图5所示),阳极半周电场强度增加、腐蚀速率加快,增厚的腐蚀产物会阻止阳离子往溶液中扩散,阴极半周阴极极化作用会破坏部分腐蚀产物层,使金属局部接触溶液在交流阳极半周受到腐蚀,且随着交流电流的周期循环,产生严重的局部腐蚀。

图9 不同交流电流密度作用144 h的X100钢腐蚀形貌
3 结论
(1) X100管线钢腐蚀速率随交流干扰电流密度增加而变大,且电流密度不大于100 A/m2时为均匀腐蚀,大于100 A/m2时发生局部腐蚀。
(2) 交流干扰下的X100管线钢腐蚀产物分两层,表层为以FeOOH为主的疏松黄色产物,底层为以Fe3O4、FeOOH及Fe2O3为主的具有大量裂纹的黑色产物。腐蚀产物对金属基体缺乏保护性。
(3) 在交流干扰刚开始瞬间,X100管线钢腐蚀电位负向偏移,干扰电流密度越大、偏移量越大;电流密度较大下的腐蚀电位又正向偏移后趋于稳定,电流密度越大、正偏移量越大。极化曲线显示X100钢在库尔勒土壤模拟液中为活性溶解,腐蚀电流密度随着交流电流密度增大而增大。
免责声明:本网站所转载的文字、图片与视频资料版权归原创作者所有,如果涉及侵权,请第一时间联系本网删除。
官方微信
《中国腐蚀与防护网电子期刊》征订启事
- 投稿联系:编辑部
- 电话:010-62316606-806
- 邮箱:fsfhzy666@163.com
- 中国腐蚀与防护网官方QQ群:140808414



