摘要:
综述了热老化对核级铸造和焊接奥氏体不锈钢组织、结构和性能的影响、热老化动力学行为以及热老化脆性评估方法与寿命预测等方面的研究进展,分析了不锈钢的热老化脆性机制,指出了不锈钢热老化研究存在的问题及进一步的研究方向。
关键词: 核级不锈钢 ; 热老化 ; 动力学 ; 脆性评估 ; 寿命预测 ; 脆化机制
具有奥氏体和铁素体双相组织的不锈钢,如铸造或焊接奥氏体不锈钢、双相不锈钢等,具有良好的加工性能和较高的强度、塑性和韧性以及耐应力腐蚀开裂与晶间腐蚀能力,因此被广泛用作核电装备结构材料。在压水堆核电站中,主回路压力边界的重要不锈钢构件,如铸造主回路管道、压力容器接管安全端焊缝、主泵壳等使用的不锈钢均具有双相结构。另一方面,不锈钢中的铁素体是一种非稳定相,长期处于280~500 ℃范围内时易发生相转变导致热老化脆性,使得材料的塑性、韧性降低而硬度、脆性增加,从而增加了构件突发失效的可能性,影响核电站的安全运行。
为揭示铸造和焊接不锈钢的热老化行为和机制,国内外已开展了大量研究。在上世纪八九十年代,美国的阿贡国家实验室、橡树岭国家实验室和核管会等机构对CF3,CF8 和CF8M等铸造不锈钢的热老化行为进行了系统研究,提出了预测热老化后材料性能的模型。法国、日本、韩国等也相继开展了热老化研究。我国的相关研究虽然起步相对较晚,但针对铸造奥氏体不锈钢Z3CN20-09M的热老化已开展了较系统研究。
热老化过程受材料成分、组织、结构与制造工艺、服役条件等因素影响,其致脆机制较为复杂。
近年来研究者通过对实际服役条件下及实验室加速热老化条件下铸造和焊接不锈钢热老化的研究,对热老化的热力学和动力学机制有了深入了解,并为相关构件的寿命预测和延寿提供了依据。
1 热老化对铸造和焊接不锈钢显微组织和结构的影响
1.1 铸造和焊接不锈钢的原始态组织
典型的铸造或焊接奥氏体不锈钢具有双相结构,且铁素体含量明显少于奥氏体,因化学成分和凝固模式不同,铁素体以蠕虫状、板条状、脉络状或岛状等形貌嵌入在奥氏体基体中,见图1a 和b。
对铸造双相不锈钢,其铁素体和奥氏体含量相近,当铁素体相对较多时,表现为奥氏体嵌入在铁素体基体中,见图1c。

1.2 热老化过程中铸造和焊接不锈钢的显微组织与结构变化
研究表明,热老化主要由不锈钢中铁素体相的不稳定性造成,包括铁素体的调幅分解及在铁素体与奥氏体相界处发生的析出反应等。
1.2.1 铁素体的调幅分解
Williams 等最早发现,在Fe-Cr 二元相图上存在一对称的混溶隙,并由Spinodal 线划分为α ‘相形核区和调幅分解区,见图2a。Miller 等在Fe-Cr-Ni 系合金中也发现并确定了混溶隙在相图中的位置,见图2b。由于混溶隙的存在,当不锈钢化学成分和热老化温度处于调幅分解区时,铁素体便会调幅分解为纳米尺度的富Fe 区域(α相) 和富Cr 区域(α ’相),而奥氏体基本保持不变。α与α ‘两相均为bcc 结构,尽管成分差别较大,但两相点阵常数接近且互相完全共格。在透射电子显微镜(TEM) 下调幅分解结构呈斑点状(图3),而利用原子探针场离子显微镜(APFIM) 分析得出其三维形貌为复杂交错的网状或海绵状。


Danoix 等利用原子探针(APT) 测试了铁素体内的Cr 含量,发现Cr 含量呈周期性波动,其浓度频率分布逐渐偏离原始态的二项分布,从而揭示了富Cr 区域的产生(图4)。Auger 等[30]利用APFIM 也对铁素体内元素分布进行了分析,并得到一致结论。

Tucker等在研究427 ℃下热老化的2003和2205双相不锈钢调幅分解组织时,利用APT技术在二维尺度上更加直观地表现出Cr 的分布情况,结果表明随热老化时间延长,均匀分布的Cr 逐渐分化为富Cr 区(α ’相) 和贫Cr 区(α相),且α ‘与α相Cr 含量差值△Cr逐渐增加,如图5a和b所示。

热老化过程中铁素体调幅分解动力学的研究主要依靠原子探针技术,基于Cahn-Hilliard 线性化理论和LBM 非线性理论进行。Cahn-Hilliard 线性化理论方程式为:

由于式(1) 做了线性化处理,故仅适用于调幅分解初期阶段,而式(3) 既适用于调幅分解初期,又可用于中后期阶段,但对末期阶段仍不适用。Auger等对双相不锈钢进行350 ℃、10000 h 热老化处理后,利用AP技术对铁素体成分进行了检测和分析,绘制了频率分布及其微分直方图,并与Cahn-Hilliard线性化理论导出的统计模型进行χ2检验,显示实验结果与理论计算相吻合。
研究表明,常见的铸造和焊接不锈钢在300~400 ℃时效过程中即使某些条件下并无G相和M23C6的析出,也均会发生调幅分解导致脆化。因此认为铁素体的调幅分解是产生热老化脆性的主要机制。
1.2.2 铁素体内G相的析出
对含Mo的铸造或焊接不锈钢进行较高温度(>350 ℃) 下长期时效处理时,铁素体内部α/α ‘界面或位错处容易析出细小分散的G 相颗粒(图6)。G 相是一种富含Ni,Si,Mn 或Mo (当不锈钢含Mo 时) 的复杂金属间化合物,具有fcc 结构,点阵常数约为1.1 nm,与铁素体基体保持cube-on-cube 取向关系,二者在界面处具有半共格关系,其化学计量式为Ni16Si7Ti6,其中Fe和Mo可代替Ni,Cr 和Mn可代替Ti[10,30,33,55]。G相的析出量取决于铁素体的化学成分、时效温度和时间等。

对于G相在α/α ’界面处的形成过程,Mateo 等将其划分为两步:(1) 调幅分解形成α相和α ‘相时,G相形成元素(Si,Ni,Mn和Mo等) 被排斥到界面处;(2) 当界面处化学成分达到某一临界值时,G相开始形核长大。Pareige 等运用APT 技术研究了双相不锈钢在热老化处理后铁素体内部调幅分解和G相析出动力学,证明了上述G相形成机制。
G相析出与调幅分解均发生在铁素体内部,二者密切相关。调幅分解作为热老化脆性主导机制已被证实,而G相对热老化脆性的作用仍存在争议。Chandra 等发现,308L 和316L 不锈钢焊材在335 和365 ℃下热老化20000 h 后,δ铁素体内均未析出G相,而在400 ℃下热老化相同时间后却发生了G相的析出,并且导致δ铁素体显微硬度的进一步提高,因此认为G相的析出促进了热老化脆性。
Yamada 等通过比较350 和400 ℃下热老化行为的差异,将整个热老化过程分为快速热老化阶段和缓慢热老化阶段,并认为400 ℃下缓慢热老化阶段由G 相析出主导,这也说明G 相析出促进热老化脆性。另一方面,Chung等将已热老化试样在550 ℃下退火1 h 后,发现试样硬度基本恢复且调幅分解结构消失,而G相依然存在,因此认为热老化脆性主要由调幅分解造成。Li 等对已热老化的Z3CN20-09M铸造奥氏体不锈钢进行了相同的退火处理,发现除铁素体硬度外,材料冲击吸收功也基本恢复,断口形貌重新转变为韧性断裂,表明G相对热老化脆性的作用可以忽略。Danoix 等和Takeuchi 等测定了热老化后铁素体内Cr 浓度波动情况,发现铁素体显微硬度与调幅分解导致的Cr 浓度振幅总变化量成线性关系,也证明G相作用不明显。
1.2.3 其他析出反应对于含碳量较高(一般≥0.05%,质量分数) 且不含Mo的铸造或焊接不锈钢(如CF8),在热老化过程中还会发生M23C6在铁素体内或铁素体-奥氏体相界上的析出。M23C6为fcc结构,点阵常数约为1.06 nm,其析出会降低相界结合力和材料韧性,促进裂纹的萌生和扩展,是热老化脆性的次要机制[13]。
由于化学成分、热老化温度和时间不同,在热老化过程中还会发生Cr2N在铁素体-奥氏体相界上的析出、γ2相在铁素体内的析出以及NbC 在铁素体内或铁素体-奥氏体相界上的析出等,也对热老化脆性具有促进作用。
2 热老化对铸造和焊接不锈钢性能的影响
2.1 热老化对力学性能的影响
2.1.1 硬度
热老化过程中铁素体内部组织转变直接导致了铁素体的硬化。调幅分解生成的α和α ’相之间由于点阵失配导致的弹性应力、应变场,阻碍了位错移动和塑性变形,从而使铁素体硬度增加。Weng 等利用显微硬度计分别测量了2205双相不锈钢在热老化前后铁素体和奥氏体的硬度,发现铁素体硬度随热老化时间的延长而显着增加,而奥氏体硬度基本不变,这表明热老化脆性主要由铁素体的组织转变导致。
在对400 ℃下热老化的Z3CN20-09M铸造奥氏体不锈钢进行硬度测量时,薛飞等使用纳米压痕仪分别测量了铁素体和奥氏体的硬度,发现随热老化时间的延长,铁素体和奥氏体的纳米压入硬度增加而塑性变形能降低,但铁素体变化比较明显,并结合微观结构分析,认为铁素体调幅分解产生的α ‘相对位错的钉扎是材料硬度增加的原因。
2.1.2 韧性
热老化对不锈钢的冲击韧性和韧脆转变温度均产生显着影响。薛飞等对400 ℃下热老化的Z3CN20-09M铸造奥氏体不锈钢进行了室温Charpy-V冲击实验,发现随热老化时间增加冲击位移和裂纹扩展能量总体减小而冲击曲线卸载角度增加,表现出显着的脆化现象。Chandra 等在335,365 和400 ℃下对308L不锈钢焊材进行热老化处理后,通过不同温度下的Charpy-V冲击测试发现,随着热老化时间和温度的增加,上平台能量(USE) 减少,韧脆转变温度(DBTT) 增加(图7)。同时,发现断裂机制由韧窝型韧性断裂逐渐转变为韧窝型韧性断裂和解理型脆性断裂的混合型断裂,其中奥氏体主要为韧性断裂,而铁素体为脆性断裂(图8)。


热老化也导致断裂韧性发生变化。Kwon 等将CF8M不锈钢试样在430 ℃下分别热老化300,1800 和3600 h 后,运用卸载柔度法和伸张区宽度法对原始态和热老化试样进行了常温断裂韧性测试,发现两种方法所测结果相似,断裂韧性JIC均随热老化时间增加而降低。Lucas等对400 ℃热老化处理的316L不锈钢焊材分别在25 和288 ℃ (空气中) 及模拟沸水堆运行条件(288 ℃,溶解氧DO=0.3 mg/L的高纯水环境) 下进行了断裂韧性测试,发现JIC总体上随热老化时间变化不明显,仅在热老化1000 h后稍有增加,但测试环境的影响却较为显着。
2.1.3 疲劳和拉伸性能热老化对铸造和焊接不锈钢疲劳性能影响的研究较少,且已有研究尚未得出一致结论。Kwon 等对430 ℃下热老化的CF8M铸造奥氏体不锈钢试样进行了低周疲劳实验,发现低周疲劳寿命随热老化时间的延长而显着降低。而Chen 等[63] 对400 ℃ 下热老化处理的Z3CN20-09M铸造奥氏体不锈钢试样的低周疲劳行为研究发现,在不同应变幅下试样疲劳寿命均随热老化时间延长而增加。Calonne 等对铁素体含量为30%的铸造不锈钢弯管进行400 ℃热老化处理后,研究了其低周疲劳裂纹扩展行为,发现热老化使裂纹扩展速率增加。
热老化对铸造或焊接不锈钢的拉伸性能无明显影响。Yao 等对400 ℃ 下热老化15000 h 的Z3CN20-09M铸造不锈钢的拉伸性能测试发现,材料屈服强度和抗拉强度均随热老化时间略微增加,但延伸率在热老化约100 h 达到峰值后开始减小。
Alexander 等对具有不同铁素体含量的308 不锈钢焊材的热老化研究得到了相似的结果。
2.2 热老化对耐腐蚀性能的影响
热老化过程中铁素体内部的相转变引起Cr 的重新分布,会造成晶间腐蚀、点蚀等局部腐蚀行为的改变,进而影响材料的耐应力腐蚀开裂(SCC) 性能。Wang 等利用双环动电位再活化法(DLEPR)对经400 ℃热老化的Z3CN20-09M奥氏体不锈钢耐晶间腐蚀性能进行了测试,发现随热老化时间延长,材料的耐晶间腐蚀性能降低。Kuri 等通过控制电位法阳极极化和失重测量实验研究,发现热老化后的双相不锈钢试样点蚀速率增加,原因是在热老化过程中,靠近金属表面的铁素体内析出的α ’相会在其周围产生薄的贫Cr 区,使得钝化膜的生长不均匀,产生结构缺陷,进而促进点蚀的发生。
目前热老化对SCC影响的研究报道不多。Kim等研究了经400 ℃/5000 h 热老化处理的316L 不锈钢焊材试样在模拟沸水堆运行环境(288 ℃,溶解氧DO=0.3 mg/L 的高纯水环境) 的应力腐蚀开裂行为,发现热老化明显促进SCC裂纹扩展。Li 等对离心铸造奥氏体不锈钢进行400 ℃/20000 h 热老化处理后,在模拟压水堆主回路水环境下进行了慢应变速率测试(SSRT),发现热老化降低了铁素体的塑性变形能力,使SCC区域的铁素体呈解理断裂且表面附有较大的氧化物颗粒,表明SCC裂纹优先从铁素体处萌生和扩展。Lai 等对热老化的铸造奥氏体不锈钢试样进行的SSRT 实验也表明,SCC 裂纹主要沿贫Cr的δ铁素体内部或δ/γ边界扩展。
3 热老化动力学研究
由于服役温度下铸造和焊接不锈钢构件的热老化速率非常缓慢,设计寿命末期或寿命延长期的热老化脆性状况难以直接获取,因此常通过加速方法研究服役条件下的热老化行为,但前提是在服役温度和加速热老化温度下材料发生的组织结构转变(热老化机制) 必须一致。Chung 等比较了在实验室400 ℃下热老化8 a 的CF8 奥氏体不锈钢和在沸水堆核电站服役12 a 相似材料的显微组织与结构,发现两种条件下的组织与结构转变一致,从而验证了CF8 材料加速热老化的有效性。Pareige等 在350 ℃ 下对CF3M 不锈钢进行了长达200000 h (>20 a) 的热老化处理,也验证了加速热老化的有效性。
在满足加速热老化方法的有效性前提下,开展动力学研究,能够定量描述热老化过程,实现不同温度之间热老化行为的互推,为热老化脆性评估提供理论基础。通常认为核级不锈钢材料的热老化为热激活过程,并且服从Arrhenius关系式:

式中,t 为达到特定热老化脆性程度所需时间,t0为系数,Q 为热老化激活能,R 为气体常数,T 为热力学温度。对两个不同温度下的热老化过程,可以推出:

式中,t1和t2分别为T1和T2温度下达到相同热老化脆性程度所用时间。在已知表观激活能Q 时,利用式(6) 可确定实验室加速热老化的温度和时间等参数,从而对构件服役温度下热老化行为进行模拟和研究。虽然激活能是温度的函数,但研究表明,在300~400 ℃温度范围内,热老化激活能可近似为常数。但也有研究者认为在此温度范围内热老化脆性机制会发生变化,而将所研究温度范围分为两段或多段,分别对应不同的激活能值。
作为热老化动力学的关键参数,激活能的准确获取至关重要。但热老化过程复杂,涉及多种相变反应,使激活能难以通过理论计算直接得出,因此一般利用表观激活能来近似代替。表观激活能可通过铁素体硬度和室温冲击韧性等实验结果得出,根据Arrhenius关系式可以得到lg(t ) 与1/T 的线性关系:

因此由线性关系的斜率即可求得Q。
另一方面,Q 也可以通过材料的化学成分进行估算。Slama 等依据相关实验数据提出了Q 与铸造不锈钢化学成分之间的经验公式:

其中成分含量为质量分数(下同)。而Chopra 等依据其他实验数据提出了另一经验公式:

尽管利用式(8) 和(9) 可方便获取Q,但Chopra等对核电站退役的某些CF8 构件的热老化研究发现,利用此二式所得Q 值与力学性能测试所得值仍有较大偏差。
目前得到的表观热老化激活能有高低两种取值。由于高激活能值(210~260 kJ/mol)与Cr 原子在Fe-Cr 二元合金中的扩散激活能(230 kJ/mol)相近,而且调幅分解是通过Cr 原子的上坡扩散进行,因此认为高激活能时热老化脆性机制为铁素体的调幅分解。对于低激活能值(75~100 kJ/mol),目前存在多种解释模型[46],其中最为重要的是G相析出对调幅分解的协同作用模型,即低激活能情况下,调幅分解的发生往往伴随G相的析出(或前期Ni-Si,Mo-Si 或Ni-Mo-Si 的偏聚反应),由于Ni 原子促进调幅分解的发生,因此含Ni 的G相析出造成铁素体基体贫Ni,进而减缓调幅分解的进行。
此减缓作用在较高温度(如400 ℃) 下比在低温(如300 ℃) 下更为显着,所以利用冲击功得到的表观激活能表征高低温下热老化的相对动力学(图9),当有G相析出时,表观激活能显着降低。Chung等研究了经400 ℃热老化的CF3,CF8 和CF8M铸造不锈钢试样的热老化动力学行为,表明表观激活能随G相体积分数的增加而减小,从而证实了这一模型的合理性。

4 热老化脆性评估与寿命预测
4.1 热老化脆性评估
实现在役铸造或焊接不锈钢构件热老化脆性的定量评估是热老化研究的主要目标。目前主要通过实验室加速热老化研究获得的实验数据,采用两种方法对材料的脆性程度进行间接评估。第一种方法是以室温冲击韧性和铁素体显微硬度作为衡量指标进行评估。首先根据多个温度下热老化试样的室温冲击韧性或铁素体显微硬度等测试结果,或者直接利用经验公式(8) 和(9) 确定Q 值,并根据式(6) 进一步得到热老化参数P:

式中,P 定义为在实验室加速热老化温度400 ℃下达到与温度T 下相同热老化脆性程度时所需热老化时间的常用对数值。然后分析力学性能指标随P 的变化情况,从而实现对服役温度下任意时刻热老化脆性程度的评估。图10 所示为CF8 铸造奥氏体不锈钢热老化后的室温Charpy-V冲击韧性随P 的变化曲线。

第二种热老化脆性的评估方法是以相关电化学参数为衡量指标。由于电化学参数和力学性能的改变均由热老化过程中显微组织与结构的转变导致,因而电化学测量参数与已有力学性能(如铁素体硬度等) 存在特定关系。电化学相关参数可以通过阳极极化法、单环电化学动电位再活化法(SLEPR)和DLEPR 法等获得,其中SLEPR 和DLEPR 为测量不锈钢材料贫Cr 或敏化程度的常用方法,因而也可用于测量调幅分解、G相及M23C6析出等导致的贫Cr 程度。电化学方法尤其是EPR 法,测量快速、简便,可进一步发展为在役构件热老化脆性评估的非破坏性方法。
Chandra 等运用电化学方法对热老化的奥氏体不锈钢焊材和双相不锈钢进行了测试,分别得到了SLEPR曲线的峰值电流密度、阳极极化曲线中的二次钝化峰值电流密度与铁素体硬度的关系,如图11 所示。由于电化学参数值均与铁素体硬度(热老化脆性指标) 存在确定对应关系,因此实现了电化学方法对脆化程度的评估。此外,Yi 等还利用电化学极化和化学浸泡法建立了CF8M不锈钢中铁素体与奥氏体的相对腐蚀深度与韧脆转变温度(DBTT)、上平台吸收功(USE)、铁素体显微硬度等力学性能指标之间的联系,提出了CF8M不锈钢热老化的非破坏性评估方法。

4.2 寿命预测
核电站服役构件的实际剩余寿命预测或延寿对核电站安全高效运行至关重要。概率断裂力学(PFM) 是核电构件可靠性分析和寿命预测的重要方法,Li 等基于断裂韧性、拉伸强度和疲劳裂纹扩展速率等实验数据,对热老化后的主管道材料Z3CN20-09M进行了PFM分析并计算出失效概率,得出主管道服役40 a 后由热老化导致的断裂韧性降低将使失效概率提高4 倍,而拉伸强度和疲劳裂纹扩展速率的变化对失效概率影响较小,表明断裂韧性将是热老化构件安全评价和寿命预测的重要指标。
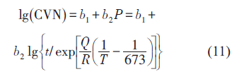
Jaske 等分析了不同铁素体含量的CF3,CF8和CF8M奥氏体不锈钢在350,400 和450 ℃下热老化后的室温Charpy-V冲击吸收功(CVN) 与热老化参数P 的关系,发现lg(CVN)-P 关联曲线受到铁素体含量和热老化温度的影响,并根据350 ℃下热老化数值拟合出lg(CVN)-P 下限曲线,得到了基于冲击韧性的铸造奥氏体不锈钢构件寿命评估模型,表达式为:

式中,b1 和b2 为与材料有关的常数,Q 则利用经验关系式(8) 求得。CF8 奥氏体不锈钢热老化后的lg(CVN)-P 下限曲线如图12所示。
由于材料服役温度一般低于350 ℃,因此对相同的热老化参数P 取值,服役温度下的热老化程度不会超过350 ℃下的热老化程度,故利用式(11) 得到的寿命预测结果偏于安全。
在进行寿命预测时,需根据对断裂机理分析获取构件服役的CVN安全阈值,当构件下限CVN降至安全阈值时即达到寿命末期,例如法马通(Framatome)先进核能公司将铸造不锈钢构件的JIC安全值定为100 kJ/m2 (相当于室温CVN值为353 kJ/m2) 。另外结合式(11),可以预测CF3,CF8 和CF8M等多种材料的服役寿命,从而为核电构件的设计和选材提供依据。
5 总结
综上所述,国内外对铸造和焊接不锈钢的热老化已开展了大量研究,为相关不锈钢构件的寿命评估提供了重要依据,但目前研究中仍存在一些问题。在热老化机理方面,G相析出的作用、低激活能的机制等都存在争议。激活能直接取决于热老化脆性机制,体现的是多种组织与结构转变的综合作用。在低激活能情况下,热老化脆性的次要机制作用增强,使其机制更为复杂。在热老化评估方法方面,虽然基于电化学特性的评估方法具有测量快速等特点,但评估过程中建立的电化学参数与力学性能指标的对应关系需进一步证实和完善。在研究对象方面,目前对不锈钢焊材的研究相对较少,相关热老化行为需要进一步明确。同时,针对热老化对材料在实际服役环境(如高温高压水环境) 下腐蚀损伤(如SCC,环境疲劳等) 行为与机制的研究还很少报道,使得热老化材料的腐蚀损伤行为评估缺乏依据。因此,要完整揭示热老化机制、实现在役材料及其构件热老化脆性的可靠评估,仍需进一步的研究工作。
免责声明:本网站所转载的文字、图片与视频资料版权归原创作者所有,如果涉及侵权,请第一时间联系本网删除。
官方微信
《中国腐蚀与防护网电子期刊》征订启事
- 投稿联系:编辑部
- 电话:010-62316606-806
- 邮箱:fsfhzy666@163.com
- 中国腐蚀与防护网官方QQ群:140808414



