摘 要:为了研究汽车在动态工况下行驶路线、里程数、动态气象因素、气相污染物、驾驶习惯等诸多因素对车辆腐蚀的影响,研究它们之间的关联关系,选取热轧酸洗钢板作为标准板,首先,分别采用称量法和ICP法计算失重率,探讨两种方法对金属腐蚀行为准确度的影响;其次,采用失重法和灰度图像识别分析动态工况和气候因子对金属腐蚀量的影响;最后,探讨数据挖掘的方法应用于动态路况下的腐蚀量数据和气候环境数据,建立动态工况环境中标准样板腐蚀强度可视化模型,分析各因素对腐蚀的影响权重。试验数据分析及验证的结果表明:该方法有较高的测试准确性,对于全面了解中国不同地区的动态工况对整车腐蚀行为影响具有指导意义。
关键词: 动态腐蚀 气候环境 数据处理 可视化分析 车用材料
汽车腐蚀不仅破坏车身外观,而且影响功能和安全性,严重时还会造成交通事故,已引起汽车行业的高度重视。大气腐蚀现象与气候条件、地理环境以及空气污染程度、类型等有诸多联系,这使得不同地区的大气腐蚀具有不同的地域特征和内在规律。英国早在20世纪60年代投放400个锌灌试样,研究不列颠全岛的气候与腐蚀影响关系,指导本国汽车行业技术改进。与英国类似,南澳Lowermurray区、巴塞罗那市、瑞士等地区均做过当地气候与腐蚀影响研究。ISO 9223和GB/T 15957 都对大气腐蚀性等级和污染气体腐蚀性等级进行了判定,分为C1到Cx 6个腐蚀等级,为腐蚀性判定提供了大致依据。
汽车作为日常交通工具,除需兼顾不同地区的气候类型外,其运行工况亦是动态行驶与静态停放的结合,动态行驶过程不仅受到外部大气环境的影响,同时会有路面环境以及汽车局部腐蚀微环境的参与。潘玉霞等[4]通过对腐蚀的气象因素和大气污染物进行归纳,分析了影响输变电设备的主要环境因子和腐蚀变化规律。周希沅等、赵雪娥等通过对中国153个地区温湿度数据进行统计、电流折算系数计算,建立中国飞机腐蚀结构的分级和分区,很好地指导了静止状态挂片的腐蚀研究。而对动态汽车行业的借鉴性不足。为此必须充分采集汽车运行过程的信息,同时依据动态行驶数据对气候数据进行恰当处理,从而研究汽车腐蚀与环境因子的影响规律。
汽车运行过程的行驶路线、里程数、动态气象因素、动态污染物、驾驶习惯等诸多因素的影响,汽车腐蚀环境的数据采集和分析研究鲜有报道。本文基于汽车行驶工况和外部环境特点,建立了一套科学、合理的汽车动态腐蚀试验方法,将标准腐蚀样板固定于汽车底盘,采集环境信息、行驶数据的同时采集车辆腐蚀信息。引入电感耦合等离子质谱(ICP-AES)与挂片失重相结合的表征手段,合理控制短期腐蚀数据采集的检测误差。同时基于图像灰度识别进行腐蚀面积计算,基于行车路线模式识别对行驶数据进行分析,绘制汽车腐蚀强度地图,阐述了行驶工况、环境因子与汽车腐蚀的影响关系,探索了全新的汽车腐蚀环境的试验方法和研究体系。
1 试验与测试
1.1 挂片试样制备
选用家轿车车身常用材料热轧钢板(SPHC)为试验用材,其化学成分如表1所示。试样的制备按照GB/T 14165—2008标准的要求进行,通过线切割将SPHC钢加工成50.8 mm×25.4 mm×2.7 mm板状,每组3片平行试样用于失重分析。在切割过程中尽可能避免对试片造成机械划伤,对表面锈、氧化皮、毛刺和棱角打磨处理,随后除污除油并用酒精脱水后置于干燥器中,最后进行试样封边、外观编号以便储存备用。
表1 标准腐蚀钢板成分及一致性

支架材料:汽车搭载的标准腐蚀样片主要材质是碳钢,金属材料与车身或底盘的金属直接接触会出现加速腐蚀,造成汽车腐蚀监控过程的采样误差,故固定腐蚀样片的支架及固定螺栓的材料为疏水非金属聚合物(聚四氟乙烯),安装好后再将整个支架固定于底盘部位。
1.2 动态挂片试验
选择天津市为研究区域,挑选在津地区正常运行的行驶路线基本覆盖整个市区的3台车辆为载体,挂片试验周期为3个月。将试样固定在聚合物支架上进而固定于车底盘某部位,试样暴露面与车行驶方向平行且与地面垂直。试验前利用游标卡尺测量每个储存备用试样的长宽高,使用精度等级为0.1 mg的精密分析天平称重,随后将试样固定于暴露架上。试验过程中每次按标准取下挂片,同时应立即在相应位置装上全新待试验挂片试样。
1.3 车辆行驶工况信息采集
为获得天津市试验车辆实测工况特征参数数据,选取的3台车辆采用自主行驶法,即车主根据自己的实际目的驾驶轿车的试验方法,方法未限定车主驾车时间和道路,更能体现车辆在正常驾驶下的使用实况,且每台车辆都配备车载GPS系统,该系统可监测车辆的车速、GPS经纬度和实时位置等,并可全天逐秒记录返回数据。同时要求合作车辆每周固定到检测点一次,拆卸和更换相应位置的样板。
1.4 环境数据采集
天津市环境数据采集依托天津市环境保护监测中心,该中心依据车辆行驶范围、污染源位置和人群主要分布范围对监测点进行合理布置,共设置15个监测点,其中市区环境监测点5个,郊区环境监测点10个,每个监测点数据更新周期为1 h,监测点详细信息如表2所示。采集的环境因素种类,参考现行的GB/T 28046.1—2012、GB/T 19292.1—2003、GB/T 3095—2012等标准,确定为温度、湿度、降雨、NO2浓度、SO2浓度、CO浓度、O3浓度等对腐蚀有明显影响的大气污染物和自然气象因素。考虑到整个试验期间温度和湿度一直在较低水平,着重研究污染物的影响。
表2 天津市环境监测点信息

1.5 腐蚀形貌测试
将不同周期的试样从支架上取下后,立即用塑料薄膜密封防潮保存并记下相关车辆信息,放入箱内运回试验室进行后续测试:①利用数码相机拍照观察暴露面宏观腐蚀形貌,并按照国家腐蚀相关标准进行记录;②使用光镜及ImagingPro专业图像分析软件观测试样暴露面的腐蚀面积占比。
1.6 失重测试
依据《金属和合金的腐蚀 腐蚀试样上腐蚀产物的清除》(GB/T 16545—2015)中相关要求,在室温下制备配比为500 mL盐酸(ρ=1.19 g/mL)+500 mL蒸馏水+3.5 g六次甲基四胺的除锈液。对腐蚀试样采用超声波震荡除锈,清洗时间为10 min。除锈完成后经蒸馏水和酒精清洗,冷风吹干后,利用分析天平称重,并记录除锈后试样质量。同时用未腐蚀试样校正除锈液对基体进行腐蚀。样品单位面积腐蚀失重测量通过式(1)计算。

式(1)中:r为单位面积腐蚀失重,g/m2;Δm为样品失重,g;A为样品表面积,m2。
通过收集锈蚀产物,采用精度较高的ICP-AES(电感耦合等离子体原子发射光谱)仪器对锈蚀产物进行Fe元素分析,结合钢的组成成分进而获得失重数据。
2 分析方法对腐蚀精度的影响
本次试验的汽车腐蚀动态数据采集持续了3个月,是一个持续不断采集的过程,搭载了标准腐蚀试样的车辆运行过程中,GPS装置会实时回传数据至网络平台,由专人进行数据分析和处理,同时与用户车主定期进行沟通和交流,采集每辆车运行时间段的温度、湿度、降雨量、SO2、NO2、CO、O3等环境信息。同时对定期拆卸取下的腐蚀试样进行信息记录,执行灰度图像识别、标准除锈操作,同时将锈蚀产物单独收集于酸溶液进行ICP测试。测试结果结合行驶数据、环境数据,进行综合分析。
前期试验表明:试样腐蚀周期较短时,腐蚀量较小,腐蚀速率存在较大误差。现引入ICP法计算腐蚀量,如图1所示,通过ICP法与失重法进行了对比,在运行周期大于1个月后,一般认为此时天平称重的误差处于可以接受范围内,只有个别点偶然达到了最大误差20.1%,结果示于表3。可以认为ICP法与天平法得到的失重结果变化趋势保持一致,该方法的结果可以用于后续数据分析。

图1 ICP法与失重法误差
表3 ICP法与失重法误差

ICP法作为汽车标准样板的腐蚀检测手段,可适用于汽车腐蚀动态监测体系中。此外,根据试验过程中的观察,当车辆运行周期逐渐延长,路面石子击打可能会直接击中底盘悬挂的钢板,造成钢板本体重量损失,此时天平法得到的失重值比真实值偏大;当腐蚀累积到一定程度,钢板全面腐蚀之后发生锈蚀产物的堆积,一旦在车辆震动、颠簸后锈蚀产物蓬松脱落,ICP法回收的生锈产物不足,测得的钢板失重会比真实值偏小。因此在长期的项目运维中,ICP法与天平法共同作为汽车标准样板的检测手段可以互补,减少腐蚀检测的数据误差。
失重法作为行业公认的腐蚀检测手段,数据准确,可以较好反映材料的腐蚀状态,但缺少样品表面更多的实际信息。为此,引入了锈蚀面积占比的概念,统计钢板生锈区域占总面积的比例。通过摸索设置合理的灰度区间,利用显微镜软件内置二值算法,对腐蚀图像进行生锈部位进行识别,如图2和图3所示。

图2 图像灰度识别装置

图3 腐蚀试样观察视场分布

图4 图像灰度识别锈蚀 (×50)
图4是同一腐蚀试样10个不同视场显微图像,图4(a)是视场1原始显微镜照片,图4(b)是视场1图像识别,锈蚀区域标红色。逐一对比10个不同视场,图像识别效果比较理想,可以较为灵敏地识别出生锈位置所在。而传统判断方法是格点法,利用透明网格纸计算格点数目获取锈蚀面积。当遇到极不规则的形状或锈点过小无法分辨时,产生较大的主观误差,而图像识别获取的生锈面积比例可精确到小数点后第二位。该方法很大程度上减少了由于人为操作和检测人员个体差异导致的腐蚀面积计算误差,且操作标准化后可进一步提升生锈面积计算的准确率和效率,适用于汽车标准样板的定期腐蚀检测,同样可推广至其他工业领域。
锈蚀面积比例与失重法一样,都可作为标准样板腐蚀等级判定的重要依据。试验过程中为排除局部过腐蚀、严重点腐蚀导致的腐蚀穿孔对结果造成的干扰,判断腐蚀过程是否均匀,针对汽车腐蚀失重与锈蚀面积比例做了分析,如图5所示。不同车辆锈蚀面积增加的比例与失重的趋势大体一致[图5(a)],2号车有最大的平均腐蚀面积比例,1号车与3号车比例相当。具体到每辆车,1、2、3号车的失重增加趋势与锈蚀面积比例增加趋势同样保持一致[图5(b)~图5(d)],这表明提出的灰度图像识别计算锈蚀面积占比的方法很好地反映了汽车腐蚀规律,该方法配合使用可作为汽车标准样板的腐蚀评价依据。
3 汽车行驶工况对腐蚀影响
3.1 汽车行驶工况腐蚀分析
汽车的运行工况是动态行驶与静态停放的结合,分析汽车行驶过程工况与腐蚀失重的关系对于研究外部环境对汽车腐蚀的影响尤为关键。不同车辆由于运行环境、行驶强度、司机行为等条件不同,失重与运行时间呈现出不同的变化趋势[图6(a)]。

图5 运行时间与锈蚀面积比例

图6 运行时间与失重量关系图
可知1号车主用车时间较短里程数累积较慢[图6(c)],其腐蚀失重增加速率却与3号车相当[图6(a)]。通过观察两台车的运行速度[图6(d)],1号车平均速度大于3号车平均速度,故1号车在里程数相差较大的情况下失重很快增加到与3号车相当的水平[图6(a)]。进一步统计3台车的单位里程失重量发现1号车大于3号车,结合平均速度推测1号车车主驾驶习惯较为激烈,引起了更多的道路泥水飞溅和砂石冲击,故其腐蚀状态达到了与3号车差不多的程度。2号车失重量随时间增加远远大于1号车和3号车[图6(a)],分析里程数与平均速度可知其运行的平均速度为3台车中最快[图6(d)],其单位里程的失重量同样最高[图6(d)]。故2号车在里程数累积较快,驾驶行为更加激烈的条件下,其腐蚀失重量远远大于另外2台车也比较容易理解[图6(a)、图6(d)]。腐蚀失重与里程数增加同样有着正相关关系[图6(b)],只是其作用程度要小于平均速度对腐蚀失重的影响。

图7 试验阶段车辆行驶路线可视化分析及统计
3.2 汽车行驶工况腐蚀可视化建模
依据欧洲行驶工况ECE15测试标准,同时考虑各个行驶工况参数对车用材料动态腐蚀影响的强弱,故选用了贴合本研究且能详细准确描述试验车辆行驶实况的车辆行驶时间、怠速时间、行驶里程、运行速度作为特征数,并应用统计的方法对试验时间内车辆的全驾驶状态进行解析。基于MATLAB语言编译专门针对本研究的车辆行驶工况自动分析软件进行多维度数据处理,并最终获得在规定腐蚀时间内代表试验车辆行驶实况的特征数,同时以可视化形式再现某试验阶段车辆在天津市的行驶路线轨迹图用于辅助分析,如图7所示(在数据处理过程中,对试验涉及的需要解析获得的特征数按照如下原则处理。怠速时间:行驶车速为零的连续工况;行驶时间:非怠速时间的试验时间;运行速度:不包括怠速时间的车辆平均行驶车速)。通过1、2、3号车行驶区域概率统计分析,如表4所示,可以发现,1号车主要行驶区域集中在天津是河北区,2号车主要行驶区域为天津市西青区,3号车主要行驶区域为天津市东丽区。
表4 1、2、3号车天津市各区行驶概率分析

4 气候环境因子对腐蚀的影响
4.1 气候环境因子腐蚀分析
汽车腐蚀不仅受到车辆行驶工况的影响,外部大气环境的影响同样不可忽视。由于讨论的汽车腐蚀试验发生在冬季,温度和湿度均较低且相对稳定,故主要针对环境污染物对汽车腐蚀的影响进行分析。依据ISO 9223、GB/T 19292.1、GB/T 15957、GBT 4796等标准,对初始污染物数据进行预处理,将相应气体数据按照浓度划分为不同等级,见表5;并计算车辆在相应运行时间段的气候因子累积量,同时对GPS数据进行地图模式识别处理,得到车辆在相应区域内行驶的概率,将SO2、NO2、CO、O3等因子累积量根据在各区域的行驶概率分配给3台车,作为其在行驶过程中的环境输入量。
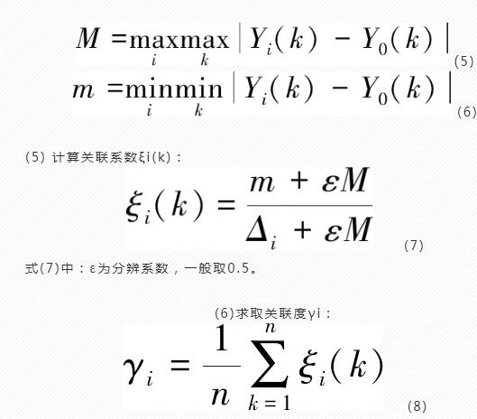
为进一步分析外部环境因子对汽车腐蚀的影响,引入了灰色关联分析,具体计算分为以下步骤。
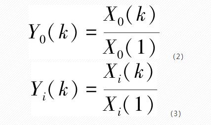
(1) 确定参考数列X0(k)和指标数列Xi(k)。本研究中以腐蚀量作为参考数列X0(k),各个环境因素指标数据作为指标数列Xi(k)。
(2) 对参考数列和指标数列利用初值化像法进行无量纲化,得到标准化序列Y0(k)和Yi(k):


图8 3辆运营车的灰色关联分析
(3) 逐个计算指标标准化序列和参考标准化序列对应元素的绝对值差值Δi:
Δi=|Yi(k)-Y0(k)| (4)

表5 空气污染物浓度的腐蚀性等级划分

4种污染物累积量的灰色关联结果如图8所示,综合3辆车不同等级的环境因子来看,污染物气体浓度与汽车腐蚀现象正相关,高浓度的污染物气体更容易促进汽车腐蚀反应的发生,而SO2与NO2两种污染物气体对腐蚀的影响要略微大于CO和O3的影响。通过图8(b)~图8(d)可以发现,对气体NO2,P4级别的NO2浓度对腐蚀的促进作用最为明显,是该气体影响腐蚀的最敏感浓度区间。对气体O3,P4~P5等级浓度的O3对汽车腐蚀的贡献作用最大,这表明这一浓度区间的O3最容易促进腐蚀现象的发生。气体NO2、CO、O3都是在较高等级的浓度下对腐蚀有明显促进作用。而SO2在低等级(低浓度)下就对腐蚀有明显作用[图8(b)~图8(d)],随着SO2浓度升高,高等级的SO2气体反而对腐蚀反应的促进作用反而略微下降,这表明SO2气体在低浓度下就可有效促进汽车腐蚀现象的发生。
4.2 气候环境因子腐蚀可视化建模

图9 天津地区年均汽车腐蚀强度地图
以天津市15个环境监测点采集的气候因素和环境因素数据作为插值节点,利用4格点样条函数内插算法,绘制天津市大气腐蚀环境因素数据地图,如图9(b)~图9(d)所示的SO2、CO、O3数据地图都能很好地实现稀疏数据格点间的数据渐变性。进而根据文献关于气候环境因素推算碳钢腐蚀速率建模的计算方法,推得本研究中各个气候环境因素对SPHC钢板腐蚀速率作用的权值,如表6所示。基于此权值绘制气候环境综合腐蚀强度地图,如图9(a)所示。由于氯离子主要分布在距海岸线250 m 以内,而试验车辆行驶区域主要在市郊非近海区域,所以本试验车辆腐蚀受氯离子影响较小,主要是由于其他污染性环境因素的影响。考虑到车辆试验期间属于冬季,天津市区排污严重空气流通较差,大量污染性气体留存市区,故市区相对于郊区腐蚀等级较高,与图9(a)腐蚀强度由中心市区向四周递减趋势一致
表6 天津市气候环境对SPHC钢板腐蚀速率作用权

5 结论
论述了一种针对汽车腐蚀的动态试验方法,研究腐蚀检测、行驶工况、外部气候环境等对汽车腐蚀的影响,得到以下结论。
(1) 通过数据对比和误差分析证明提出的ICP法完全适合汽车标准板的检测要求,采用的灰度图像识别方法可以更准确地判断生锈面积占标准板的比例。
(2 )结合汽车行驶工况大数据,阐述了汽车运行时间、里程数、平均速度对汽车腐蚀的影响程度,平均速度要大于里程数的影响。
(3) 根据外部环境和气候大数据,详细分析了污染物在不同浓度条件下对腐蚀的影响关系,建立灰色关联模型,大体而言高浓度的污染物气体对汽车腐蚀促进作用更为显著。
(4) 对腐蚀数据、气象数据、行驶大数据等进行可视化分析,基于行车路线进行模式识别,分析了车辆习惯行驶区域与腐蚀的关系,同时根据环境因子的权重绘制动态腐蚀强度地图,多角度阐述了环境因子与汽车腐蚀的影响关系。在汽车动态腐蚀研究中建立一套全新的试验方法和数据收集与分析体系,在满足天津地区汽车腐蚀环境研究的基础上,可推广至其他城市进行全国动态腐蚀影响因素的研究。
免责声明:本网站所转载的文字、图片与视频资料版权归原创作者所有,如果涉及侵权,请第一时间联系本网删除。
官方微信
《中国腐蚀与防护网电子期刊》征订启事
- 投稿联系:编辑部
- 电话:010-62316606-806
- 邮箱:fsfhzy666@163.com
- 中国腐蚀与防护网官方QQ群:140808414



