扫描电化学显微镜是一种基于超微电极的扫描微探针电化学技术,是基于上世纪70年代末超微电极和上世纪80年代初扫描隧道显微镜发展起来的具有一定空间分辨率 (介于普通光学显微镜和STM) 的电化学原位检测方法,其核心是电化学和原位检测。SECM的检测信号是电流或者电位,因而具有化学反应灵敏性,不但可以研究探头或者基底电极上的异相反应电荷转移动力学和溶液中的均相反应动力学,甚至可以获得界面双电层信息,还可以原位分辨表面微区电化学不均匀性,从而弥补了扫描电镜等不能直接提供电化学活性信息的不足,这对于腐蚀研究具有重要的意义。因超微电极的尺寸通常是10 μm,与一般扩散层的厚度具有可比性,其扩散模式与传统宏观平板电极 (Planar electrode) 的一维扩散模式不同,需要考虑空间三维球形扩散,导致不能简单通过Laplace变换解Fick第二定律而得出电流表达式,需要计算机进行数值分析。SECM的基本构成包含探针 (即超微电极) 和基底双工作电极 (基底电极是否接上双恒电位仪取决于研究目的),两者的距离一般是微米级,甚至几百纳米级,导致两者的扩散场互相重叠,超微电极的电流响应不仅与溶液中氧化还原性物种浓度、扩散系数、反应动力学和超微电极半径有关,也与超微电极与基底的空间几何结构 (特别是距离) 有关。这就要求SECM实验精确控制探针与基底电极距离,并明确其大小,否则所测试电流很难获得科学解释。
SECM在腐蚀中的应用日益受到重视 。通常腐蚀研究体系中探针与基底电极距离通过测试逼近曲线,再根据理论完全正反馈或者负反馈曲线来获得。实际上,移动探针的步进马达或者压电陶瓷移动距离与真实移动距离不完全一致,且在腐蚀研究体系中,逼近曲线也不全是完全正反馈或者负反馈响应。因此距离控制对于SECM在腐蚀研究中的应用是基本前提。本文结合COMSOL多物理场软件,构建空间二维模型,量化逼近曲线,明确基底电极反应动力学对逼近曲线的影响和步进马达移动距离与真实移动距离的关系,继而探讨了铝合金表面逼近曲线行为和真实距离控制对于EC (电化学-化学耦合反应,如腐蚀反应中的电荷转移和腐蚀产物生成) 反应动力学的影响。
1、实验方法
1.1 SECM实验
SECM测试采用CHI920C扫描电化学工作站系统,包含双恒电位仪和三维控制系统 (步进马达和压电陶瓷),软件版本为CHI Version 15.08。SECM测试采用四电极系统,直径为10 μm的Pt超微电极探针为工作电极,4 cm长直径为1 mm的Pt丝为对电极,Ag/AgCl (KCl浓度为3 mol/L,相对于标准氢电极电位为0.194 V) 为参比电极,直径为2 mm的Pt电极为第二工作电极。
ZL104铝合金加工成Φ8 mm×6 mm的圆柱状,周围用聚四氟乙烯包封,保留0.502 cm2的端面暴露面积。实验前将铝合金表面依次用400#、600#和800#的水相砂纸打磨,然后用2.5 μm的Al2O3抛光膏抛光至镜面,二次蒸馏水清洗,丙酮超声除油,冷风吹干。一种样品直接作为SECM基底电极使用,另外一种放置干燥器中24 h,以便在自然空气中形成稳定氧化膜后再进行测试。
SECM使用中的探针和基底工作电极均采用0.3 μm Al2O3抛光膏抛光至镜面;使用800#砂纸将10 μm的Pt探针的RG (玻璃与Pt丝半径比) 打磨至3,并结合光学显微镜观察确认。Pt探针的CV曲线测试范围为0~0.45 V,扫速为20 mV/s。逼近曲线测试时,探针电位为0.45 V,基底电极电位为0 V,氧化还原媒介为0.001 mol/L的二茂铁甲醇 (Ferrocenemethanol,FcMeOH) 的水溶液,支持电解质为0.1 mol/L的KNO3溶液。逼近曲线的探针逼近速率为0.6 μm/s。真实距离是根据指定位置探针CV曲线的稳态氧化电流 (iT) 与远离基底时的稳态电流 (iT,∞) 比值,结合COMSOL (软件许可证号:9402256) 理论模拟结果获得。
1.2 SECM实验的COMSOL模拟基本理论
本文探针与基底电极距离的确定是根据SECM反馈电流并结合COMSOL模拟实现的,如图1a所示。探针施加0.45 V电位,FcMeOH在探针上氧化处于扩散控制,基底电极的电位为0 V,FcMeOH+的还原也处于扩散控制。此时探针电流除了与电极半径和FcMeOH浓度有关外,也与探针与基底电极距离有关。根据反馈曲线和SECM实验的本质电化学特征,构建如图1b所示的空间二维轴对称模型,其中图1a为SECM的反馈模式示意图,探针施加0.45 V电位,氧化FcMeOH至FcMeOH+,并处于扩散控制;同时基底Pt电极施加0 V电位,还原FcMeOH+至FcMeOH,也处于扩散控制。对应的COMSOL模拟的二维轴对称几何模型如图1b所示。需要说明的是,基底电极的大小与实际电极不是完全成比例,因为实际基底电极大小为2 mm,如果完全按比例的话,所需模拟空间过大,造成运算困难,同时也是因为5倍以上探针大小的基底电极已能产生完整的反馈效应。模拟采用的内置模块为Transport of Diluted Species (tds),具体模拟参数设置、分析过程与结果见Supporting information。表1为COMSOL模拟相应的数学模型,结合图1b中的标注,表1中的边界条件中1,2和3分别代表探针电极的金属面,周围的玻璃和玻璃斜面;4,8和9代表半无限边界条件,在反应过程中浓度不发生变化;5,6和7分别代表基底电极的金属面,周围的玻璃和玻璃斜面;10代表对称轴。根据该数学模型,探针 (iT) 和基底 (iS) 电流的积分表达式如下:

式中,DR和DO分别为还原态和氧化态物种扩散系数,CR和CO分别为还原态和氧化态物种扩散浓度,r电极半径,F为Faraday常数 (96485 C/mol)。

图1 SECM反馈模式和对应的COMSOL几何模型示意图
表1 SECM模拟的边界条件

改变探针与基底电极距离,计算稳态扩散场,并根据式 (1) 和 (2) 分别计算探针和基底电极电流,即可获得逼近曲线和收集效率曲线等。
2、结果与讨论
2.1 SECM反馈效应
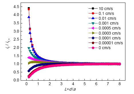
图2为直径为10 μm的Pt探针在2 mm的Pt基底和玻璃基底上的反馈曲线及其对应的模拟曲线结果,其中溶液为1 mmol/L FcMeOH,支持电解质为0.1 mol/L KNO3溶液。实验数据显示,等效距离L (L=d/a,d为探针与基底距离,a为电极半径) 从10降至5时,归一化探针电流 (iT/iT,∞) 基本没有明显变化;降至3时,开始出现较为明显的反馈效应;降至1时 (探针与基底电极距离为5 μm),正负反馈效应分别为1.42和0.71;继续降至0.5时 (探针与基底距离2.5 μm),正负反馈效应增强至2.07和0.50。实验数据和拟合结果表明,探针反馈电流与基底性质有关;同时也与探针和基底的距离有关,距离越小,反馈电流效应越强,且正反馈效应大于负反馈效应。这两种反馈效应的基底是Pt和玻璃,分别代表FcMeOH+的还原反应处于扩散控制和反应完全不能发生两种情况。图3给出了FcMeOH+在基底上还原反应不同动力学速率常数下逼近曲线的模拟结果。标准速率常数从10 cm/s降至0.01 cm/s时,逼近曲线没有明显变化;继续降至0.0005 cm/s时,仍保持正反馈,但是与图2的正反馈曲线相比较,反馈效应大大减弱;降至0.0003 cm/s,逼近曲线在L>0.5时,仍显示正反馈,但进一步逼近基底,电流开始下降 (相对于无穷远处,仍是正反馈);降至0.0001 cm/s时,出现负反馈;进一步降至0.00001 cm/s时,与完全负反馈的逼近曲线呈现一致。该结果表明,对逼近曲线的反馈行为不仅仅由导体或者绝缘体决定,更为主要的是由基底再生动力学的性质决定,也说明简单通过归一化电流确定探针与基底距离不准确,甚至产生超过100%的误差。例如,图2中曲线归一化电流均为1.3时,动力学速率常数为0.1,0.001和0.0005 cm/s时对应的距离分别为6.25,4.5和1 μm。两组结果都表明,探针与基底距离和基底反应动力学对探针响应电流具有重要影响,也说明精确控制距离对后续SECM反馈、产生-收集和动力学计算等实验结果都有影响。

图2 半径为5 μm的探针在2 mm的Pt和玻璃基底上的逼近曲线,其中拟合曲线是基于COMSOL二维轴对称模型模拟获得

图3 半径为5 μm的探针在具有不同再生速率常数基底上的逼近曲线模拟结果
2.2 探针移动距离与真实距离的关系
图4a为探针逼近至基底8 μm处时,每次应用步进马达向基底移动0.5 μm,并在移动结束后通过CV曲线的平台电流,再根据图2的完全反馈曲线上电流确定真实移动距离。而图4b则是相反过程,即逐步抬起探针,并监测每个位置下CV的平台电流并计算相应归一化电流和距离。如图所示,两组步进马达不同移动方式的移动距离和真实移动距离拟合方程如下:

式中,dreal,a,dreal,w和dmove分别为逼近时移动的真实距离,抬起时移动的真实距离和步进马达移动的距离。拟合的结果清楚显示步进马达移动距离与真实距离存在较大差异。两组曲线拟合相关系数高达0.998,表明真实移动距离与标示移动距离具有良好的线性关系。对于逼近曲线,步进马达显示移动1 μm,实际移动距离只有0.843 μm;而对于抬起探针而言,则实际移动距离只有0.568 μm。表明通过直接读取步进马达移动距离来确定探针与基底距离会产生很大的误差。图2和3已经显示距离误差对反馈电流具有重要的影响,继而对后续SECM实验产生影响。因此在控制距离的SECM实验中,简单通过步进马达移动距离判断探针与基底距离是不准确的,易产生较大误差。

图4 典型的步进马达逼近和抬起距离与通过CV稳态电流获得的真实移动距离的校正曲线 (探针移动速率恒定为60 nm/s)
2.3 铝合金表面逼近曲线行为
图5为直径10 μm的Pt探针在0.001 mol/L FcMeOH+0.1 mol/L NaCl溶液中,逼近Pt基底,以及具有新鲜表面 (抛光后立即浸入溶液进行测试) 和自然状态下氧化膜 (抛光后自然条件下放置超过24 h) 的ZL104铝合金的归一化电流与距离的关系曲线。由图可知,10 μm的Pt探针在Pt基底 (处于开路状态下) 上的逼近曲线呈现完全正反馈特征,与图1中的完全正反馈一致,进一步表明FcMeOH+在金属Pt表面的电化学还原反应处于扩散控制。随着探针不断的逼近基底,在基底处反应生成的还原产物扩散至探针表面的距离减小,形成氧化还原循环增加了探针表面的扩散通量,使探针电流随距离d的减小呈现指数上升的趋势。10 μm的Pt探针在具有自然氧化膜的ZL104铝合金基底上的逼近曲线呈现完全负反馈特征,表明在以氧化膜为主的铝合金表面不能发生FcMeOH+还原反应。随着探针不断的逼近基底,溶液本体中的FcMeOH+向探针表面的扩散受到抑制,探针表面的扩散通量随d的减小而显著降低。相比前两种情况而言,10 μm的Pt探针在具有新鲜表面的ZL104铝合金基底上的逼近曲线所呈现的电流随d的减小先增大后减小,表明FcMeOH+在ZL104铝合金的基底还原反应受电荷转移动力学控制,反应速率常数k0较小。对比图2,k0应接近0.0003 cm/s。当探针逼近基底时,由于FcMeOH+形成氧化还原循环增加了探针表面的扩散通量,探针表面的电流呈现增大趋势,但随着探针的不断逼近,FcMeOH+形成氧化还原循环导致的正反馈效应不足以补偿FcMeOH扩散受到抑制的负反馈效应,探针电流又出现减小的趋势,称之为不完全正反馈。图5结果表明,即使对于同样的铝合金电极基底,由于自然状态下表面氧化膜的状态不同,反馈曲线的类型不同,SECM测试时不可简单根据完全正反馈或者负反馈判断探针与基底电极距离,而是要建立完整的数学模型,解析出准确距离,否则易判断错误,造成探针撞上基底而破坏探针,以及后续结果分析出现大的偏差。

图5 Pt基底、ZL104铝合金新鲜表面和具有自然氧化膜表面的逼近曲线,其中探针为10 μm Pt (RG≈5),溶液为0.001 mol/L FcMeOH+0.1 mol/L NaCl
2.4 距离对EC反应动力学的影响
根据以上实验和模拟结果,继续考察如下EC反应模型,探讨真实距离对一级化学反应动力学的影响。反应模型如下:

其中,O为氧化性物种,R为还原性物种,C为化学反应产物,电化学反应标准速率常数k0=1 cm/s,标准电极电位E0=0 V,传递系数a=0.5,化学反应速率常数kc=100 s-1。探针从距离基底10 μm处开始,以60 nm/s速率,每次移动0.5 μm逐步逼近探针至基底,分别收集探针上还原O产生R的电流和在基底氧化R的电流。探针还原电流和基底收集电流,以及收集效率如图6所示。根据式 (3) 和图4距离校正后的收集效率曲线也一并绘制在图6b中。图6a中的探针电流随探针逐渐逼近基底基本保持不变,至2 μm处开始显著增加,表明基底开始大量收集到产物R,从而形成正反馈。与此同时,基底收集电流在距离为6 μm之前,由于均相化学反应的存在,几乎为0;随距离减小,基底收集电流逐渐增加。图6b显示收集效率 (基底电极收集电流/探针电流) 随距离减小后逐渐增加,至1 μm处接近100%,表明此时探针产生的R能被基底电极完全收集,均相化学反应不能影响基底收集电流。考虑到步进移动距离的校正因素,结合式 (3),距离校正后的曲线则表明在距离2.4 μm时,收集效率即可达到100%,即表明均相化学反应没有标示的100 s-1快。建立的COMSOL二维模型 (见Supporting information中的COMSOL模型) 分别计算探针和基底电流,并计算收集效率,表明此时均相化学反应速率常数应为40 s-1。该结果表明,距离计算和控制对于一级均相反应误差可高达60%,也充分说明精确距离控制对于动力学研究的重要性。

图6 EC反应模型下的探针和基底电流和对应的收集效率曲线
3、结论
(1) 正负反馈效应和探针与基底电极距离有关,距离越小,反馈效应越强;同时也与基底电极再生动力学有关。步进马达控制的探针逼近和离开基底电极移动距离与探针真实移动距离的比例分别是0.843和0.568,即步进马达标示移动1 μm,而实际分别仅有0.843和0.568 μm,因此控制探针距离须严格按照计算归一化电流,并结合反应模型来量化。
(2) 铝合金表面氧化膜的状态影响逼近曲线从部分正反馈至完全负反馈的变化,而步进马达移动引入的距离误差导致EC反应中一级化学均相反应的动力学速率常数误差高达60%。
(3) 严格控制并明确距离是扫描电化学显微镜实验的基础,也是后续分析的前提。
免责声明:本网站所转载的文字、图片与视频资料版权归原创作者所有,如果涉及侵权,请第一时间联系本网删除。
官方微信
《中国腐蚀与防护网电子期刊》征订启事
- 投稿联系:编辑部
- 电话:010-62316606-806
- 邮箱:fsfhzy666@163.com
- 中国腐蚀与防护网官方QQ群:140808414



