铝合金有着价格低廉、质量较轻且来源极其广泛的优点,并且在电化学性能方面也有着较好的性能,因此铝合金在牺牲阳极材料之中的地位越来越重要[1,2,3]。纯铝的电位在-1.90 V (vs SCE) 左右,因为纯铝较为活泼,极易发生氧化反应而在表面形成一层致密的氧化膜,从而阻止基体继续发生反应,导致纯铝在海水中的电位正移至-0.78 V,不能对海洋中常用的钢铁形成有效的保护,限制了铝在牺牲阳极材料中的应用[4,5,6,7,8]。为解决这一问题,很多学者对其进行了研究,直到上世纪50年代,研究者们发现向纯铝中加入适量的其他金属元素形成合金可以在一定程度上限制或者阻止氧化膜的生成,提高铝合金的利用效率。最初的纯铝合金化研究是从Al-Zn二元铝合金开始,但Al-Zn合金存在着电容量以及利用率低的缺陷,随着对铝合金研究的深入,研究者[6]通过向铝合金中添加各种金属元素形成三元甚至四元铝合金,使铝合金牺牲阳极的性能得到了一定程度上的优化。目前比较主流的铝合金牺牲阳极是Al-Zn-In系牺牲阳极,Al-Zn-In系牺牲阳极的开路电位在-1.1 V左右,当用其对高强钢材料 (屈服强度不低于550 MPa) 进行阴极保护时可能诱发高强钢发生氢致失效,从而引发安全事故。相关研究[9,10]表明,用于高强钢阴极保护的牺牲阳极材料工作电位应不超过-0.83 V,因此对于低电位铝合金牺牲阳极材料的开发意义重大,国内外最早研究的低电位牺牲阳极材料为Al-Ga系阳极,但Al-Ga二元牺牲阳极的电流效率较低,溶解形貌也不理想,实用价值不高。后续在Al-Ga系阳极的体系上又开展了大量研究,包括添加Zn、Si等元素来改善阳极性能,但目前还没有合适的低电位牺牲阳极材料在工程中推广应用。
本文在前期研制的Al-Zn-Ga-Si低电位阳极的基础上,添加Bi来进一步改善阳极材料的综合性能,主要考察了Bi含量对于低电位牺牲阳极材料Al-Zn-Ga-Si-Bi的电化学性能以及溶解形貌的影响。
1 实验方法
本文设计了5种Bi含量的阳极配方 (100~104),其中Bi含量为0~0.2%(质量分数),浓度梯度为0.05%。熔炼牺牲阳极材料所用的Al、Ga、Zn和Bi都为高纯度原料,Si以Al-10%Si合金的形式加入。
电化学实验所用试样为表面积为1 cm2的圆柱型试样,实验前用环氧树脂进行封装,实验时将试样用水砂纸打磨至1500#,然后用无水乙醇进行清洗并烘干。用PARSTAT2273电化学工作站进行开路及阻抗谱测量,试样在天然海水中浸泡3 h,待阳极开路稳定后,用三电极体系测量电化学阻抗,试样为工作电极,参比电极采用饱和甘汞电极,辅助电极选用铂电极,测量频率范围105~10-2 Hz,激励信号幅值为10 mV。
用PARSTAT MC电化学工作站进行极化曲线测量,同样采用三电极体系,扫描电位范围为-0.05~0.5 V (vs OCP),扫描速度为0.167 mV/s。
扫描开尔文探针 (SKP) 测试采用Versa SCAN SKP测试系统。使用ZEISS ULTRA 55场发射扫描电镜 (SEM) 观测试样表面微观溶解形貌。
牺牲阳极电化学性能测试采用?16 mm×48 mm的圆柱形材料。实验前先用无水乙醇清洗实验试样,去除试样表面油污以及碎屑,烘干后称重。用高压防水绝缘胶带将阳极试样封装完好,并留取14 cm2的工作面积。实验所用的阴极为不锈钢筒,阴阳极工作面积比为60∶1,实验参照GB/T 17848-1999加速实验法来评价牺牲阳极材料性能,实验周期为4 d,电流密度为1.5,0.4,4.0和1.5 mA·cm-2。实验介质为青岛海域的新鲜海水,温度 (18±2) ℃。每天记录阳极工作电位,所用参比电极为饱和甘汞电极。
2 结果与讨论
2.1 Bi对电位及电流效率影响
表1为5组铝合金牺牲阳极的电化学性能试验结果,从表中可以发现,这5组试样的开路电位在-0.85~-0.90 V之间,工作电位都在-0.69~-0.85 V之间,基本符合低电位牺牲阳极材料的要求。从实际电容量和电流效率可以发现,相对于Al-Zn-Ga-Si阳极 (100号),添加Bi (101号~104号) 后,阳极试样的实际电容量与电流效率均明显增加,其中电容量达到了2500 A·h·kg-1以上,电流效率则达到了80%以上,说明Bi的添加改善了Al-Zn-Ga-Si阳极的电化学性能。
表 1 Al-Zn-Ga-Si-Bi 牺牲阳极电化学性能测试结果

2.2 Bi对微区电位的影响
图1为5种阳极试样的微区电位分布以及活化点分布图,阳极试样表面的电势分布不同,电势低的区域因为电偶效应成为活化点而优先溶解 (图中蓝色区域)。且阳极表面活性点分布均匀时更有利于阳极活化溶解。由图中可以看出,100号阳极表面活化区分布较为集中,存在大片未活化区域,可能导致阳极不均匀溶解;而添加了适量Bi的101和102号活化点电位分布更加均匀,阳极表面的阴极区与阳极区分布较为分散,从而增加了阳极的活化性能,这主要是固溶于铝基体中的适量活化元素调节了阳极表面微区电位分布,起到了活化作用[11]。从101号到105号的微区电位图可以发现,随着Bi含量的增加,试样表面的微区电位差增大,且活化点数量减少,分布也相对集中。过大的微区电位差以及不均匀的微区电位分布容易造成阳极试样的局部腐蚀,不利于阳极的均匀活化溶解。

图1 5种试样微区电位分布及活化点分布图
2.3 Bi对极化曲线影响
图2为5种阳极试样在天然海水中的极化曲线,可以发现,5种阳极材料的阳极区都没有明显的钝化行为,表现出较好的活化性能。表2为拟合得出的阳极极化率 (阳极Tafel斜率) 及自腐蚀电流密度,由表中可以看出,5种阳极材料的自腐蚀电流密度都很小,基本都在10-8~10-7 A/cm2左右,表明阳极的自腐蚀速率相对较低,从而保证阳极拥有较高的电流效率。5种阳极材料的阳极极化率都较小,其中101号试样的阳极极化率相对最低,说明该阳极具有更好的活化溶解性能,可在较低的驱动电位下提供更大的阴极保护电流,从而保证阴极保护效果。

图2 5种试样牺牲阳极极化曲线测试
表2 阳极极化率及自腐蚀电流密度

2.4 Bi对阻抗谱影响
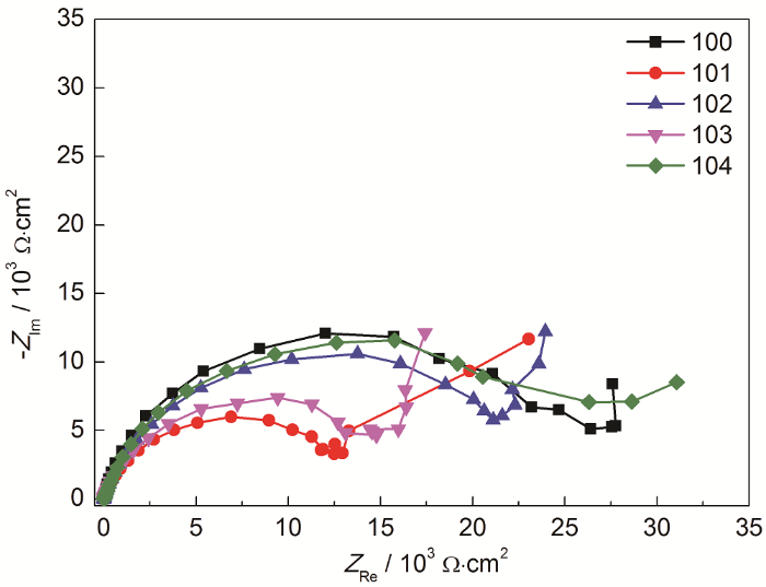
图3为5种试样在天然海水中测量的阻抗图谱,5种阳极试样在天然海水中的电化学阻抗谱均有两个容抗弧,并且紧接着出现了Warburg阻抗,说明此时腐蚀产物或反应介质的扩散步骤成为整个电极过程的控制步骤。

图3 5种试样牺牲阳极电化学阻抗谱
参考相关研究文献[12,13,14]采用如图4的等效电路进行拟合:电路图中的元件Rs表示溶液电阻,Qf为阳极表面氧化膜非理想电容,有两个表征参数:一个是Y0,其量纲是Ω-1·cm-2·s-1,一个是无量纲指数n,也称弥散指数,Rf表示氧化膜电阻,Cd表示溶液介质/阳极基体界面双电层电容,Rt表示电荷转移电阻,W表示Warburg阻抗。拟合所用软件为ZSimpWin,拟合结果如表3所示。

图4 牺牲阳极等效电路
表3 5种试样电化学阻抗谱拟合结果

由表3可以看出,相较于100号试样,101~104号的电荷转移电阻都有一定程度上的降低,说明Bi的添加在基体中起到了一定的活化作用。其中101号试样的氧化膜电阻和电荷转移电阻均为最小,表明101号阳极试样的活化性能更好,表面氧化膜得到有效破坏,降低了膜层阻抗,更易于发生活化溶解。
2.5 Bi对牺牲阳极形貌影响
5种试样的宏观腐蚀形貌如图5所示,图中101~104号试样相较于100号试样的腐蚀形貌有所改善,没有严重的点蚀和局部腐蚀现象,说明Bi的加入改善了该种阳极的溶解形貌。100号阳极试样由于表面活化点不够,阳极优先在活化点溶解,而未活化区域的溶解相对少,从而形成局部点蚀,随着局部腐蚀的加深就会造成未溶解晶粒脱落,进而降低阳极材料的电流效率[15,16]。随着Bi的含量增加,基体表面溶解反而有减少的趋势,从104的腐蚀形貌可以看到,表面还有很多α-Al的基体没有溶解。这可能是由于Bi含量过多,导致在晶界处形成偏析,在阳极溶解腐蚀的时候,此处由于势能过高而优先溶解,从而导致了局部腐蚀现象的发生。

图5 5种试样牺牲阳极的溶解形貌
图6为5种试样的三维视频表征照片,从图中可以看出,101号腐蚀坑相对较为均匀且腐蚀坑较浅。101号~104号相对100号溶解形貌未溶解基体减少,腐蚀坑深度也变浅,证明添加了Bi之后,对溶解形貌起到了一定的改善作用。随着Bi含量的增加,试样的表面溶解越少,腐蚀坑变得更加深。102号腐蚀形貌相对较好,未溶解表面较少,但腐蚀坑深度相对101号有所加深,103号试样未溶解表面相对前两种有明显增加,且腐蚀坑相对101号有所加深。从104的三维视频可以看出,表面溶解相对较少,腐蚀坑加深,点蚀现象变多。适量的Bi可以在合金中起到活化作用,与Ga形成的低共溶体可以提供更多的活化点,使阳极表面腐蚀的更加均匀[17,18]。过量的Bi分布在晶界处,在发生阳极溶解时,这些地方会优先溶解,造成腐蚀坑的加深。

图6 5种试样牺牲阳极的三维溶解形貌图
3 结论
通过添加不同含量的Bi,制备了5种不同成分的Al-Zn-Ga-Si-Bi低电位牺牲阳极材料。电化学性能测试结果表明,几种阳极的工作电位基本在-0.7~-0.85 V范围,符合低电位牺牲阳极要求,其中Bi含量为0.05%时 (101号),阳极的实际电容量和电流效率最高,电化学性能良好。5种试样中101号阳极表面溶解形貌最为均匀,说明适量的Bi提高了阳极的活化性能,改善了阳极溶解形貌,但过多的Bi反而加剧了阳极的局部腐蚀。
免责声明:本网站所转载的文字、图片与视频资料版权归原创作者所有,如果涉及侵权,请第一时间联系本网删除。
-
标签: 牺牲阳极材料, Bi含量, Al-Zn-Ga-Si-Bi合金, 电化学性能, 腐蚀形貌
官方微信
《中国腐蚀与防护网电子期刊》征订启事
- 投稿联系:编辑部
- 电话:010-62316606-806
- 邮箱:fsfhzy666@163.com
- 中国腐蚀与防护网官方QQ群:140808414



