铝锂合金因其密度低、力学性能优良等优势在航空航天领域得到广泛应用,被认为是21世纪航空航天最具竞争力的材料之一[1,2]。铝合金中每添加1% (质量分数) 的Li,可使其密度降低3%,而弹性模量提高6%,并保证合金在淬火和人工时效后有良好的强化效果。此外,Li的添加还可以提高铝合金的抗疲劳裂纹扩展能力[3]。
然而,Li是一种非常活泼的元素,铝锂合金在潮湿和盐雾等环境中容易发生腐蚀,点蚀、晶间腐蚀、剥蚀等局部腐蚀敏感性增加,因此,其腐蚀行为的研究显得尤为重要[4,5,6]。Liu等[7]研究认为,表面打磨可以改变2297铝锂合金金属间化合物颗粒的分布,随着表面粗糙度的减小,金属间化合物颗粒的数量和大小呈下降趋势,点蚀敏感性降低。游文等[8]研究了经不同时效工艺后2297铝锂合金的晶间腐蚀和剥落腐蚀行为,结果表明,时效时间越长,合金的晶界无沉淀区 (PFZ) 宽度降低,晶界的析出相发生粗化,并由断续排列变为连续排列,腐蚀敏感性越大。
此外,铝合金作为结构件在服役过程中通常处于持续应力的作用下,应力载荷与腐蚀介质的力学-化学交互作用使得构件整体承载能力下降,甚至导致失效断裂[9,10,11]。目前,研究人员已经对应力载荷下的铝合金的腐蚀行为有了一定的研究。Su等[12]研究了拉伸应力对7075-T6铝合金剥蚀行为的影响,认为点缺陷等活性位点的数量随应力水平的提高而增加,阻抗降低,剥蚀敏感性增大。饶思贤等[13]研究了外加应力对LY12CZ合金腐蚀行为的影响,认为在加载应力时,LY12CZ合金的自腐蚀电位、保护电位和破裂电位都有不同程度的负移,负移的量取决于应力的大小。但是,应力加载对2297铝锂合金腐蚀行为影响方面的研究还很有限。
本文选取2297铝锂合金作为实验材料,研究了该合金在0%σ0.2,30%σ0.2,60%σ0.2,90%σ0.2和103%σ0.2的应力载荷作用下于3.5% (质量分数) NaCl溶液中的腐蚀行为,并结合微观组织结构分析,探讨了应力载荷作用对2297铝锂合金腐蚀行为影响机理。
1 实验方法
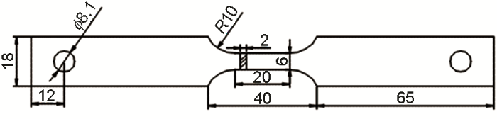
实验使用的材料为95 mm厚的2297-T87铝锂合金板材,化学成分 (质量分数,%) 为:Al 95.01,Cu 2.97,Li 1.53,Mn 0.29,Zr 0.11,Mg 0.03,Fe 0.028,Si 0.024,Ti 0.012。采用线切割的方法在距板材表面1/8的厚度位置处按L-T取向切取平板拉伸试样,T向为受力方向,如图1。试样的屈服强度σ0.2和抗拉强度σb分别为414和467.7 MPa。所有试样均先后用320#、800#、1200#、1500#SiC砂纸打磨,最后一道打磨沿受力方向。此外,为了防止去离子水对表面造成腐蚀损失,打磨过程采用无水乙醇作为冷却液。试样打磨完成之后,用无水乙醇进行超声清洗10 min,清洗后在去离子水中迅速漂洗并用吹风机冷风干燥备用。

图1 实验所用L-T取向平板拉伸试样
使用WOML-5应力腐蚀试验机对试样施加不同应力作用,分别为0%σ0.2,30%σ0.2,60%σ0.2,90%σ0.2和103%σ0.2,对应无应力、弹性应力、塑性应力3种应力条件。在EOL-2100F型透射电镜 (TEM) 上观察不同应力载荷作用后合金的微观组织,加速电压为200 kV,并用配套的GENESIS型X射线能谱仪 (EDS) 进行EDS分析。用于TEM观察的试样先经机械减薄至60 μm,再用冲片机裁剪成直径为3 mm的圆片。最后将3 mm圆片使用DJ2000型电解双喷减薄仪进行减薄。双喷电解溶液成分为30% (体积分数) 硝酸与70% (体积分数) 甲醇的混合液,混合液使用液氮冷却至-30 ℃的工作温度,电解工作电压为20 V,工作电流为80~120 mA。
浸泡实验在室温下进行,将拉伸试样浸泡在3.5% (质量分数) NaCl溶液中,并同时分别施加30%σ0.2,60%σ0.2,90%σ0.2和103%σ0.2的应力,浸泡时间为2 h,同时取不受力试样进行浸泡做对照。浸泡结束后,将试样取出用去离子水冲洗并吹干,拉伸试样切取标距段用于腐蚀形貌观察。采用RH-2200型三维视频显微镜进行观察,通过JSM-7500F型扫描电镜 (SEM) 进行高倍观察,并结合EDS对腐蚀产物组成以及腐蚀形核位置进行定性分析。
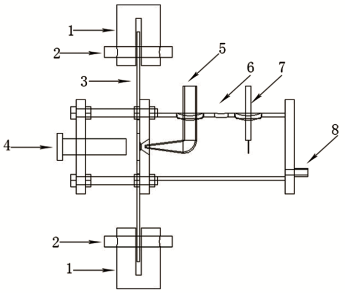
应力作用下原位电化学测量装置如图2所示。试样工作面积在试样中间标距段,采用内径4 mm圆形橡胶密封垫圈密封出0.1256 cm2的工作电极面积。电化学测试使用CS350电化学工作站,采用三电极电化学体系,对电极为10 mm×15 mm铂片,参比电极为饱和甘汞电极 (SCE)。试样在3.5%NaCl溶液中浸泡1 h以达到稳定状态,并同时监测开路电位。动电位极化曲线测试采用1 mV/s的扫描速率,从开路电位以下200 mV正向扫描至阳极电流密度达到0.1 mA·cm-2。电化学阻抗谱测试采用相对开路电位10 mV的正弦交流扰动电位,扫描频率范围为105~10-2 Hz。实验数据采用ZsimpWin软件进行分析处理。所有的电化学测试重复至少3次以保证重复性。

图2 外加应力作用下原位电化学测量装置示意图
2 结果与讨论
2.1 微观组织结构
弹性应力对金属的作用是一个可逆过程,不会改变合金的微观结构,因而选取0%σ0.2和103%σ0.2两种应力载荷状态试样进行分析以表征2297铝锂合金的微观组织结构。图3为[110]取向2297-T87铝锂合金的TEM形貌,图3a和b给出了对应[110]取向2297-T87铝锂合金原始试样以及施加103%σ0.2塑性应力作用后试样的衍射斑。在{022?}Al的1/3和2/3处的衍射斑对应的是T1相,1/2处的衍射斑对应的是θ‘相[14]。图3a和b为2500倍下形貌,可以看到晶粒内部弥散分布着大量的针状析出相,并存在少量的棒状黑色颗粒;而在晶界处,粗大黑色颗粒较为密集。根据图3g中EDS结果可确认,黑色颗粒为AlCuMnFe金属间化合物颗粒。相较于无应力作用试样,103%σ0.2塑性应力作用后试样的AlCuMnFe颗粒更为细小、分散。图3c和d为金属间化合物放大图,可以看到AlCuMnFe金属间化合物颗粒均呈黑色棒状。弥散分布的针状析出相为T1相和θ’相,长度在100~300 nm;可以看到针状析出相沿3个取向分布,具体对应关系如图3e中所标注。而在外加103%σ0.2塑性应力作用后,试样产生了如图3f中的位错墙缺陷,这主要是由应力作用产生的位错堆积,这种位错缺陷对材料力学性能及耐蚀性能有重要影响。

图3 2297-T87铝锂合金[110]Al取向TEM像及EDS结果
2.2 浸泡实验
不同应力作用下2297铝锂合金浸泡在3.5%NaCl溶液中2 h后的金相显微形貌如图4。点蚀坑沿着金属间化合物颗粒向四周扩展,周围有腐蚀产物的堆积覆盖。随着应力水平的增加,腐蚀坑的深度和大小都有不同程度的增加,这表明应力作用促进了腐蚀的进行,腐蚀速率加快。然而,相较于不受应力作用试样,应力作用下试样的腐蚀产物覆盖明显要少,这主要是由于应力作用的存在对腐蚀产物层有破坏作用,而难以形成致密的腐蚀产物层。

图4 不同应力作用下浸泡2 h后2297-T87铝锂合金金相显微形貌
当应力增加到103%σ0.2的塑性应力水平时,腐蚀形貌出现了明显的差异,蚀孔数量更多,但是较小,说明金属间化合物颗粒更为细小分散。此外,在试样表面还观察到了丝线状的沟壑,如图4e中箭头标识处,这主要是由于高应力水平导致晶体缺陷在表面露头而产生表面缺陷,缺陷处产生了腐蚀,并有少量的腐蚀产物堆积。
不同水平应力作用下,2297铝锂合金浸泡2 h后的BSE模式2000倍SEM形貌如图5。图中亮白色颗粒为AlCuMnFe金属间化合物颗粒。可以看出,腐蚀反应主要集中在AlCuMnFe金属间化合物颗粒邻近处,这是由于 AlCuMnFe金属间化合物颗粒活性相对于铝合金基体要低得多,为阴极相,导致合金在AlCuMnFe金属间化合物颗粒处发生局部的电偶腐蚀[15]。随着应力水平的增加,金属间化合物颗粒尺寸较小、分布分散,进一步说明应力的作用在一定程度上改变了金属间化合物颗粒的分布,这与图3观察结果一致。图6给出了图5a的EDS面扫描结果,可见,除了金属间化合物颗粒中主要含有的Al,Cu,Mn和Fe之外,还含有较多的O分布在蚀孔边缘,这是由于AlCuMnFe金属间化合物颗粒周围铝基体发生腐蚀,有腐蚀产物的产生,会在蚀孔边缘发生堆积。

图5 不同应力作用下2297-T87铝锂合金浸泡2 h后背散射模式SEM形貌

图6 图5a的EDS面扫结果
2.3 原位电化学测试
2.3.1 动电位极化曲线
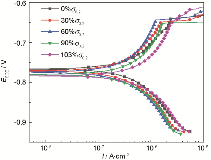
在0%σ0.2,30%σ0.2,60%σ0.2,90%σ0.2和103%σ0.2的应力作用下,2297铝锂合金在3.5%NaCl溶液中开路电位下稳定1 h之后的动电位极化曲线如图7所示,拟合结果如表1所示。极化曲线出现较窄的钝化区,随着应力水平增加,腐蚀电位Ecorr减小,腐蚀电流密度Icorr增加,说明腐蚀倾向以及腐蚀速率的增加。此外,当应力水平增加到塑性应力范围时,Icorr增加较为明显,说明腐蚀反应过程在应力水平达到塑性范围时的变化较大,这与浸泡实验结果一致。曲线阴极分支形状比较相似,说明阴极反应过程在不同应力水平下比较相似,阴极Tafel斜率随着应力水平的增加而增加,这说明应力水平的增加加快了阴极反应过程的进行。而阳极Tafel斜率更大,说明腐蚀反应过程由阳极反应过程控制[16]。

图7 不同应力作用下2297-T87铝锂合金在3.5%NaCl溶液中的动电位极化曲线

2.3.2 电化学阻抗谱
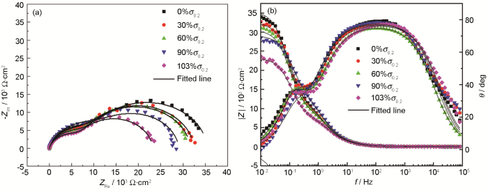
在0%σ0.2,30%σ0.2,60%σ0.2,90%σ0.2和103%σ0.2的应力作用下,2297铝锂合金在3.5%NaCl溶液中开路电位下稳定1 h之后的电化学阻抗谱如图8所示。不同水平应力作用下,Nyquist图都表现出相似的形状,存在一个高频的容抗弧以及一个低频的容抗弧,对应两个时间常数,这就说明不同水平应力作用并没有改变2297铝锂合金的腐蚀机理。高频容抗弧的存在说明了在金属基体表面存在一层氧化膜,而低频容抗弧的存在则可能与局部腐蚀反应过程有关[17]。随着应力水平的逐渐增加,Nyquist图中容抗弧的半径逐渐减小,说明腐蚀倾向随着应力水平增加而逐渐增大。

图8 不同应力作用下2297-T87铝锂合金在3.5%NaCl溶液中浸泡1 h后的电化学阻抗谱
用图9中的等效电路拟合EIS谱,结果见表2。其中,Rs为溶液电阻;Qh表示原始界面电容;Rh表示钝化层和腐蚀产物电阻,尽管Rh有来自腐蚀产物电阻的贡献,但短时间浸泡实验产生的腐蚀产物层较少,贡献较小。可看出,Rs基本保持恒定;Qh主要与合金的表面钝化层有关,随着应力水平的增加没有发生明显的变化,这和铝合金在Cl-介质中钝化能力比较弱有关;Rh随着应力水平的增加也没有发生明显的变化,这也就说明应力水平的增加并没有对表面钝化层产生明显影响。对于低频区的双电层电容Qdl和电荷转移电阻Rct,可以看到,随着应力水平的增加,Qdl逐渐增加,而Rct逐渐减小;并且当应力水平由90%σ0.2增大到103%σ0.2时,Qdl和Rct值的变化更加的明显,从Nyquist图中也可以明显看到103%σ0.2塑性应力水平作用下容抗弧半径要明显小于弹性应力水平作用下的。由此可见,随着应力水平的增加,2297铝锂合金耐蚀性逐渐降低,并且在塑性应力作用下的变化更为明显,这与浸泡实验结果一致。

图9 EIS拟合等效电路图

2.4 腐蚀机制
2297铝锂合金在3.5%NaCl溶液中的腐蚀机制如图10所示。图10a为无应力作用下腐蚀机制,由于AlCuMnFe金属间化合物颗粒阴极相的存在,局部的电偶腐蚀导致铝基体的溶解。弹性应力的作用使得金属材料发生变形,提高了反应活性,促进了腐蚀过程的进行;且随着弹性应力的增加,腐蚀加剧,如图10b。

图10 2297-T87铝锂合金在3.5%NaCl溶液中不同应力作用条件下的腐蚀机制
而当应力增大到塑性应力范围,塑性应力的作用改变了金属间化合物颗粒的分布,导致大的金属间化合物颗粒更加细小分散,增加了与铝基体间接触区域,进而增大了腐蚀面积,进一步促进了腐蚀过程。此外,塑性变形促进了位错的移动和扩散,由此导致的晶面滑移、位错缠结等晶体缺陷在表面的露头也会成为腐蚀形核位置,进一步加速腐蚀过程的进行,如图10c。
3 结论
(1) 2297铝锂合金中存在的析出相主要为T1相、θ‘以及粗大的AlCuMnFe金属间化合物颗粒。施加塑性应力作用后,粗大AlCuMnFe金属间化合物颗粒沿受力方向分布更加细小分散,同时有位错墙的产生。
(2) 2297铝锂合金腐蚀主要发生在AlCuMnFe金属间化合物颗粒处。在弹性应力范围 (30%σ0.2,60%σ0.2和90%σ0.2) 内,应力对腐蚀过程起促进作用;塑性应力 (103%σ0.2) 作用导致金属间化合物颗粒沿受力方向更加细小分散,晶面滑移、位错缠结等晶体缺陷在表面的露头也会成为腐蚀形核位置,增大了腐蚀面积,进一步促进了腐蚀反应过程的进行。
(3) 随着应力水平增加,2297铝锂合金腐蚀电位负移,腐蚀电流密度增加,电荷转移电阻减小,腐蚀加剧;应力水平达到塑性应力范围 (103%σ0.2) 时变化更大。不同应力水平作用并没有改变2297铝锂合金的腐蚀机理。
免责声明:本网站所转载的文字、图片与视频资料版权归原创作者所有,如果涉及侵权,请第一时间联系本网删除。
官方微信
《中国腐蚀与防护网电子期刊》征订启事
- 投稿联系:编辑部
- 电话:010-62313558-806
- 邮箱:fsfhzy666@163.com
- 中国腐蚀与防护网官方QQ群:140808414



