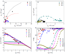
图1 常压海水环境下浸泡不同时间后改性环氧涂层的EIS谱 (散点为测量数据,实线为拟合结果)
图2 等效电路Rs(CcRc) 示意图
图3 模拟深海高压海水环境下不同浸泡时间后改性环氧涂层的EIS谱 (散点为测量数据,实线为拟合结果)
图4 等效电路Rs(QcRc) 和Rs(Qc(Rc(QdlRct))) 示意图

图5 常压海水环境和高压海水环境下涂层在0.01 Hz时的阻抗随浸泡时间的变化
图6 常压和高压海水环境中改性环氧涂层的电容和电阻随浸泡时间的变化
图7 模拟深海高压海水环境中浸泡9 d后涂层的Qdl和Rct随时间的变化
图8 改性环氧涂层在常压和高压海水环境条件下吸水率随浸泡时间的变化

图9 改性环氧涂层在两种模拟海水环境浸泡前的表面形貌

图10 改性环氧涂层在两种模拟环境中浸泡30 d后的形貌

图11 常压和高压海水环境条件下浸泡实验结束后涂层拉脱处的SEM像
免责声明:本网站所转载的文字、图片与视频资料版权归原创作者所有,如果涉及侵权,请第一时间联系本网删除。
相关文章
官方微信
《中国腐蚀与防护网电子期刊》征订启事
- 投稿联系:编辑部
- 电话:010-62313558-806
- 邮箱:fsfhzy666@163.com
- 中国腐蚀与防护网官方QQ群:140808414
点击排行
PPT新闻
“海洋金属”——钛合金在舰船的
点击数:5768
腐蚀与“海上丝绸之路”
点击数:4763



