阴极保护是最有效的腐蚀控制措施,对管线的安全运行起到重要作用。在实际阴极保护工程当中,保护电位是监视、控制阴极保护效果的重要参数之一,及时了解被保护体表面保护电位的分布情况对阴极保护系统的设计、优化和日常管理维护具有重要的意义。在传统阴极保护工程中,大多通过理论计算、经验估计或者现场测试的方法获得金属表面的电位分布。经验估计的方法虽然简单易行,但对于不同的土壤环境,多种理化性质因素复杂变换,有时需要引入较大的安全系数,可能造成不必要的浪费;而实地测量方法从工作量、技术条件和成本费用等诸多方面考虑,通常也是不可取的。可见传统的方法已难以满足复杂阴极保护系统安全性和经济性的要求。随着电化学和计算机技术的发展,在阴极保护领域应用数值模拟技术获得阴极保护电位分布已成为一种新趋势,逐步受到人们的重视。
目前,阴极保护技术在国内外管道防腐方面得到了大量的应用。传统的阴极保护数值计算模型多假设环境介质均匀,然而对于长输管道而言,当穿越多个省市、河流和湖泊时,土壤环境的差异性往往很大。而现场设计多依据标准采用成组或成套牺牲阳极,并没有根据实际土壤环境进行详细设计计算,这样容易导致位于高土壤电阻率位置处的管段出现欠保护问题。本文结合实际工程案例,利用土壤电阻率表征土壤的非均匀性,采用理论分析和数值模拟的方式,针对某地区长输管道的阴极保护进行模拟计算,并考虑季节性变化的因素进行了优化设计,最终确保管道全年安全、经济地运行。
1 模型
1.1 物理模型
数值模拟在模型建立之前需对研究对象电化学性质以及所处工作环境进行一定的简化,从而建立简化的数学模型进行求解。阴极保护电位分布的物理模型如图1所示。由于时间、实验条件等因素的限制,对所研究的问题作了一些简化:(1) 管道沿线的土壤介质分区域均匀 (即在某一段认为土壤电导率是相同的);(2) 被保护体表面的极化行为不瞬时改变;(3) 电位场为稳定场;(4) 电流流过土壤时,模型遵从欧姆定律;(5) 阳极可以看成是集中电源,输出电流恒定。

1.2 数学模型
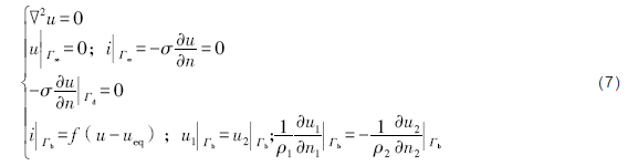
1.2.1 控制方程 根据假设条件,阴极保护系统电位场为稳态场,可以用静电场理论来研究,其电位基本方程为Poission方程:
![]()
式中,▽为Laplace算子,σ为介质电导率, φφ 为阴极保护电位,ρ为体电荷密度,C/m3, ξ为介电常数。
传统的阴极保护数值计算模型多假设环境介质均匀。对于长输管道,沿途往往要穿跨越多个地区、河流湖泊等,土壤环境会发生较大变化;而且一年四季气候的变化也会导致土壤含水量、温度等参数的变化,最终导致土壤电阻率存在差异,故不能将土壤视作均一介质来处理。
本文结合埋地长输管道实际土壤环境,提出对不均匀的体系进行分块处理,在各自区域内,认为环境的理化性质是处处相等。在不同区域的交界面上电位和电流密度应分别满足相应的连续性条件:
(1) 交界面处电位满足:
![]()
(2) 法向电流密度满足:
![]()
1.2.2 边界条件 泊松方程的定解取决于求解区域的几何布局和边界条件。从数学上讲,满足一个偏微分方程的解可以有很多,所以必须进行边界条件的限制,才能得到定解。将土壤看成半无限区域,区域由三种边界构成:Γb管道表面、Γd地表面和Γ∞虚设球冠边界,如图2所示。
(1) 边界Γ∞ 由于阳极对半无限大土壤表面的影响几乎可以忽略,故其上的电位为零,法向导数值 (电流密度) 也为零:

(2) 边界Γd 由于空气的电阻率趋于无穷大,外加电流阴极保护系统的阳极输出电流不能通过土壤介质流入空气介质,只能沿着地表面流动,因而可以把地面边界当作绝缘面处理,通过该表面的法向电流密度等于零:
![]()
(3) 阴极边界Γb 在阴极边界上,一般选用实际测量的阴极极化曲线:
![]()
式中,σ为土壤介质的电导率,且为常数,u为电解质内各点的电位值,ueq为电极的平衡电位。
综合以上各式,得到了非均匀土壤环境下埋地长输管道阴极保护电位分布的数学模型:

2.1 牺牲阳极保护电位分布规律研究
本文以某地区埋地长输管道为例,其全长约为49.7 km,管道直径为0.159 m、埋深2 m;管线原采用成套牺牲阳极保护:每公里铺设一个阳极组,数量为3个、水平埋设,阳极间距、距离管线水平距离、埋深均为3 m,各阳极直径0.11 m、长度0.69 m。管道新敷3PE防腐层,覆盖层电阻率为105 Ωm2,在建模计算过程中按照1%防腐层破损率计算。
本文在BEASY-GID中,依据实际管道和牺牲阳极尺寸建立了模型。表1为夏季所测管道沿线的土壤电阻率数据,其中,土壤电阻率最高可达628.3185 Ωm,最低可至0.7540 Ωm,土壤环境差异很大。本文采用将管线沿途所经过的土壤依据土壤电阻率的不同进行了分层,并进行了网格划分,如图3所示。每一个长方体均代表一个相对于管线而言无限大的土壤区域,共计22层,在每一层中,本文设置了不同的土壤电导率参数 (土壤电阻率的倒数),以此来表征不同土壤的差异性。


本文依托以上所建数学模型,分别模拟计算了牺牲阳极直径、阳极数量、阳极埋深及距管道水平距离等参数对管道表面阴极保护电位分布的影响。
2.1.1 牺牲阳极直径对保护电位分布的影响 牺牲阳极采用Mg阳极,分别模拟了阳极直径分别为0.11,0.20和0.30 m时的管道电位分布,其余参数设置相同,模拟结果如图4所示。

由模拟结果可知,在阳极数量和埋设位置等参数相同的情况下,随着阳极直径增加,阴极保护电位负向移动。这是因为牺牲阳极直径越大,阳极体积越大,输出电流量越多,保护能力越强。
2.1.2 牺牲阳极数量对保护电位分布的影响 牺牲阳极采用规格为Φ110×690的Mg阳极,分别模拟了阳极数量为49、98和147时的管道电位分布,其余参数设置相同,模拟结果如图5所示。

由模拟结果可知,在阳极规格和埋设位置等参数相同的情况下,随着阳极数量的增加,阴极保护电位负向移动,这是因为牺牲阳极数量增加,管道极化程度增强。
2.1.3 牺牲阳极埋深及距管道水平距离对保护电位分布的影响 牺牲阳极采用规格为Φ110×690的Mg阳极,数量147个,分别模拟了埋深相同,距管道水平距离分别为3,6和9 m时的管道电位分布和水平距离相同,埋深分别为3,6和9 m时的管道电位分布,其余参数设置相同,模拟结果如图6所示。

由模拟结果可知,在阳极规格和数量等参数相同的情况下,随着埋设深度或距离的增加,阴极保护电位正向移动,这是因为距离管道越远,电流流经阳极与管道之间土壤的电压降越大造成的,但整体电位分布差距不大。
2.2 牺牲阳极保护优化
根据以上模拟结果可知,随着牺牲阳极数量的增加,保护电位下降。由于本地区土壤环境差异性很大,在土壤电阻率比较高的位置处,保护电位略微偏正,为了保证管道安全、可靠地运行,本文在管道原有Mg牺牲阳极组的基础上进行优化设计,在沿线土壤电阻率较高的位置处适当增设Mg牺牲阳极组,模拟结果如图7所示。

从模拟结果可以看到,增设Mg牺牲阳极组后管道电位下降。
2.3 季节因素对保护电位分布的影响
季节不同,土壤的含水量和温度也就不同,影响土壤电阻率最明显的因素就是降雨和冰冻。冬季,由于土壤的冰冻作用,土壤电阻率会升高;夏季,由于雨水的渗入,土壤电阻率会降低。所以季节引起的土壤温度、含水量的改变最终导致的是土壤电阻率的变化。
BEASY软件主要是通过设定边界条件以及土壤电导率等参数实现不同条件下的模拟计算,所以,本文考虑季节性因素的处理方法是:以夏季电阻率数据为基础,模拟冬季条件时,将土壤电阻率的数值提高3倍。
图8是3.2节优化方案在冬季高土壤电阻率条件下管道的保护电位分布。从图中可以看到,放大位置处管道电位高到-920 V,略微偏正,本文依据以上模拟得到的规律,选择在这些位置处继续增设Mg牺牲阳极组 (一个阳极组包含三块Mg阳极),分别增设了2,7,11和40组,模拟结果如图9所示。


模拟结果发现:在冬季土壤电阻率普遍升高的条件下,某些电阻率非常高的位置处,继续增设Mg牺牲阳极组并不能有效降低该处的电位值。由于这段距离较短,本文考虑在这些电阻率很高的位置处铺设Mg牺牲阳极带,模拟结果如图10所示。

从图中可以看到,该位置铺设Mg牺牲阳极带后,电位下降到-930 mV以下,管道得到了可靠保护。接下来需验证此方案在夏季电阻率较低时会不会导致管道过保护,模拟结果如图11所示。
模拟结果表明,在夏季土壤电阻率降低的条件下,管道电位仍能维持在安全保护范围之内。
故本文最终提出的最优阴极保护设计方案为:在沿线土壤电阻率偏高的位置处适当增设Mg牺牲阳极组,部分电阻率非常高的位置处改铺Mg牺牲阳极带以满足地区季节性的要求。
3 结论
(1) 对于非均匀土壤环境,现行牺牲阳极设计标准中均匀敷设牺牲阳极组并没有考虑到土壤差异性对保护电位分布的影响,管道部分位置存在欠保护问题。
(2) 阴极保护设计需考虑季节因素对保护电位分布的影响,对于某些土壤电阻率非常高的位置处,继续增加Mg牺牲阳极组并不能有效降低管道电位,可以选择铺设Mg牺牲阳极带以实现管道的可靠保护。
(3) 相比传统的方法,基于边界元法编制而成的BEASY软件可以根据现场土壤环境进行建模计算和优化设计,结果更符合实际情况。
2 结果与讨论
免责声明:本网站所转载的文字、图片与视频资料版权归原创作者所有,如果涉及侵权,请第一时间联系本网删除。
官方微信
《中国腐蚀与防护网电子期刊》征订启事
- 投稿联系:编辑部
- 电话:010-62313558-806
- 邮箱:fsfhzy666@163.com
- 中国腐蚀与防护网官方QQ群:140808414



