我国作为一个海洋大国,拥有丰富的海洋资源和岛屿资源。进入21世纪以来,国家加快了在南海海洋资源利用、沿岸以及离岸工程等方面的建设并取得了巨大的成就,比如相继建成并投入使用的南海诸多人工岛、文昌卫星发射中心、跨海大桥以及各类型军舰和潜艇等,其中海洋工程材料 (各种金属、钢筋混凝土) 在建设当中起到了极其重要的支撑作用。但是海洋环境的苛刻服役条件,海洋基础设施中的海洋工程材料极容易出现严重的腐蚀问题,尤其是南海热带地区,该地区处于热带海洋性季风气候,具有高湿热、强辐射、高盐雾等特点,导致我国在南海地区的资源开发面临着严峻的挑战。在该地区服役的各种金属、钢筋混凝土等受到的腐蚀更加严重,造成各种金属设备性能变差、可靠性降低,工作寿命缩短、维护成本增加等问题。
耐候钢作为一种海洋基础建设材料,因其具有优良的力学性能、成型性能、焊接性能和较好的抗大气腐蚀性能而被广泛应用于集装箱、沿岸建筑轻结构、钢结构、塔架、桥梁和船舶构件等。耐候钢在使用过程中,会受到各类大气环境的腐蚀。大气环境类型包括乡村大气、城市大气、工业大气和含盐类物质较多的海洋大气等类型。对于耐候钢在乡村大气、工业大气和海洋大气等大气中的腐蚀研究工作已经开展得较多[1,2,3,4,5,6,7,8,9,10,11,12],但是在严酷的热带海洋环境条件下,系统研究耐候钢长期暴晒试验后的腐蚀规律和腐蚀特征的研究工作却很少[13,14]。
因此,对耐候钢在热带海洋大气中的腐蚀特征和腐蚀机理开展系统的研究已变得十分的迫切,研究成果将有助于了解热带海洋大气对耐候钢的腐蚀规律,对在热带海洋大气中耐候钢的使用,防腐蚀设计以及服役耐蚀寿命的评估具有科学的参考依据。本文主要研究耐候钢在热带海洋大气环境中的腐蚀动力学、锈层演变、锈层成分以及其电化学性质。
1 实验方法
试样用Q345耐候钢为宝钢生产的 (09CuPCrNi) 热轧板,其成分 (质量分数,%) 如下:C 0.086,Si 0.371、Mn0.35,S 0.005,P 0.089,Cu 0.3,Cr 0.45,Ni 0.3,Fe余量。将钢板切割成尺寸为200 mm×150 mm×3 mm的钢片,依次使用100目、400目、800目和1200目的砂纸打磨其表面,然后用无水乙醇、丙酮清洗,烘干称重后,在海南省海甸岛 (20° 04'25“N, 110°19'47”E) 沿海岸 (离海岸线100 m) 进行挂片 (参考ISO-4542),试样摆放角度与水平方向呈60°夹角,暴晒时间为2a,每个周期取三个平行样品进行测试。
挂样在自然暴晒3个月、6个月、12个月与24个月后,分别取3块平行样品,用不锈钢刀片将其表面锈层刮下,在玛瑙研钵中研磨成粉末,然后采用X射线衍射仪 (XRD,Bruker,D2) 和拉曼光谱分析 (DXRxi,Thermo Scientific) 测试其成分,其中XRD的测试条件如下:10o≤2θ≤80o,步长为0.02,点采集时间为2.5 s。拉曼的波数范围为:50 cm-1到3000 cm-1。另外将腐蚀试样切割成10 mm×10 mm的尺寸,在扫描电镜 (SEM,Phenom proX) 中观察其表面形貌;将另外一部分试样用环氧树脂固化后切割成10 mm×10 mm的尺寸,采用SEM观察其断面锈层形貌;另外一部分焊上电极后用环氧树脂固化,并裸露出1 cm2的工作面,用作电化学测试,采用的电化学工作站为输力强 (1260/1470E),本实验使用三极电极开放体系,铂电极作为辅助电极,参比电极选用饱和甘汞电极 (SCE),电解质为浓度是3.5%的NaCl溶液,扰动电位为10 mV,测试频率范围为10-2~106 Hz,扫速为0.667 mV/s。上述测试均在室温中。
2 结果与讨论
2.1 表面形貌
从外部宏观观察,暴晒前的Q345耐候钢表面呈银灰色,在热带海洋大气条件下暴露一段时间后,耐候钢会先发生小面积的点蚀,随着时间的推移,腐蚀的部分会逐渐连成片,颜色由最开始的银灰色变为黄棕色的锈层颜色,锈层显得较为疏松,不够致密。随着腐蚀时间的延长,锈层颜色由黄棕色逐渐变为红棕褐色,并且暴晒6个月后颜色变化不明显,锈层由于内在的反应与转化和雨水、刮风、阳光暴晒等外在环境的共同作用使其厚度增加,相当于一个保护层,对外界环境有一定的隔离作用。
从腐蚀样品的表面可以看出,其表面均有疏松且易剥离的腐蚀层。刮下锈层后,用清洗液 (36% 盐酸+六亚甲基四胺+蒸馏水) 清洗试样,烘干,称其重量,并采用失重法计算其腐蚀率,计算得挂样第3个月的腐蚀速率为27.3 μm/a,第6个月的腐蚀速率为30.3 μm/a,第12个月的腐蚀速率为24.1 μm/a,第24个月的腐蚀速率为18.6 μm/a。腐蚀速率随着曝晒时间的延长先增加后减少。这主要是耐候钢表面形成完整的腐蚀锈层,有效地减小了腐蚀性介质 (水、Cl-等) 与耐候钢的接触面,遏制了腐蚀。随着暴晒的时间增长,虽然速率减小,但是和其他大气环境相比,还是具有较高的腐蚀速率,这是由于在热带海洋大气中Cl-含量高、湿度大、日晒时间长,导致锈层的致密性差,最后在Cl-的渗透下,腐蚀进程得以继续进行。
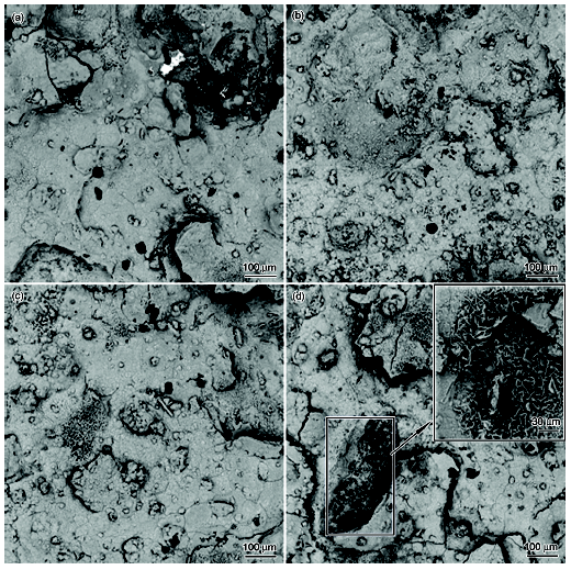
图1为耐候钢暴晒不同时间后的表面SEM图片,从图中可以看出,暴晒3,6个月后,腐蚀产物团聚成较大的片状以及颗粒状,暴晒12,24个月后试样腐蚀产物除了出现片状以及颗粒状外,还呈现出蜂窝状。把蜂窝状进一步放大 (图1d插图所示),可清楚地看出它有许多微孔隙,这些微孔隙的存在为腐蚀反应的进一步发生提供了氧气、水分子以及氯离子的传输通道,从而促进了腐蚀反应,导致腐蚀现象更加严重。

图1耐候钢在暴晒不同时间后的表面形貌
Fig.1Morphologies of WS exposed in marine atmosphere for different time: (a) 3 months, (b) 6 months, (b) 12 months, (d) 24 months
图2为耐候钢在暴晒不同时间后的截面图,图中呈明亮的白色的为钢基底,呈暗黑色为环氧树脂,在钢和环氧树脂之间的是锈层。图2a是Q345暴晒3个月状态下的微观形貌图,由图可知,锈层厚度较薄,结构较为紧凑,呈连续条状附着在钢片的表面,且锈层厚度不均匀。同一时期的同一样品的锈层由于表面局部元素分布差别生长速率有差异,或雨水冲刷作用导致凹凸不平,局部形成小凹陷,发生水分和盐分的聚集,导致腐蚀较严重。图2b为暴晒6个月状态下的微观形貌图。由图可知,锈层厚度较薄,但是比图2a稍有变厚,锈层为连续状,但是外部结构还是较为疏松,呈小颗粒团聚状。锈层疏松,不致密,覆盖不均,是因为部分腐蚀严重,部分腐蚀较轻,锈层高低不平,锈层在同一平面内分布不均匀,各部分之间没有连接紧密,这主要是受阳光、温度和氯离子等内外因素造成的现象。随着腐蚀时间的继续延长,腐蚀向更深层次发展,腐蚀更加严重,锈层变得更加厚。
图2c是Q345暴晒12个月状态下的微观形貌图,由图可知,锈层比图2b更厚,锈层的结构也比原来疏松。随着腐蚀时间的继续加长,腐蚀更加严重,使锈层变厚,由于外部环境比如雨水冲刷,太阳暴晒使表面翘起的不致密的锈层脱落,再加上锈层内部的反应与转化,露出更加疏松的锈层。

图2耐候钢在暴晒不同时间后的截面图
Fig.2Cross section of weathering steel exposed in marine atmosphere for different time: (a) 3 months, (b) 6 months, (b) 12 months, (d) 24 months
图2d是暴晒24个月状态下的微观形貌图,可以明显看出锈层变得更厚,锈层结构呈现出连续的块状,有孔洞及裂纹,而且形成了具有内层和外层的双层结构。有空洞和裂纹主要是因为雨水的冲刷、太阳的暴晒等,使锈层的应力发生变化,受力不均,产生裂纹及孔洞,而腐蚀因子 (Cl-、氧气、水分等) 通过此渗透,从而导致腐蚀现象更加严重。

图3耐候钢在暴晒不同时间后的拉曼图谱
Fig.3Raman spectrum of WS rust layer exposed for different time
由上述可知:暴晒12个月之前的锈层较薄且疏松,锈层与耐候钢基体结合紧密,而暴晒12个月后锈层厚度增加,锈层中存在明显的空洞,锈层与基体结合比较弱,Cl-容易通过锈层裂纹和孔隙进入锈层的内部,形成新的微电池,进一步促进了锈层和基体的氧化还原反应,从而加速耐候钢的腐蚀。耐候钢在热带海洋大气中的腐蚀情况比它在乡村大气、工业大气的腐蚀情况均严重,这是因为该高温、高湿、高盐雾环境中,Cl-和高湿热等因素对耐候钢的腐蚀情况起到加速的作用。
2.2 锈层成分分析
2.2.1 Raman分析由图3可知,图中依次含有特征214 cm-1,274 cm-1,584 cm-1,与α-Fe2O3标准氧化物的特征强峰 (225 cm-1,295 cm-1,615 cm-1) 一一对应,可知暴晒3个月后锈层中含有α-Fe2O3;γ-FeOOH的特征强峰为380 cm-1,而图中有384 cm-1位置的峰,两者数值接近,所以锈层中含有γ-FeOOH;图中有特征峰为584 cm-1,而Fe3O4的标准特征峰为560 cm-1,数值较为接近,可以认定为同一种物质,所以锈层中含有Fe3O4。实测腐蚀锈层的激光拉曼特征峰发生偏移主要原因是由于α-Fe2O3的特征峰225 cm-1和295 cm-1与α-Fe2O3的弱特征峰245 cm-1以及γ-FeOOH的特征峰255 cm-1距离较近造成的;图中有特征峰为394 cm-1,而γ-Fe2O3的标准特征峰为395 cm-1,所以锈层中有γ-Fe2O3;图中有特征峰数值为395 cm-1,而α-FeOOH的标准特征峰397 cm-1,锈层中含有α-FeOOH。同理分析得,暴晒6、12和24个月后锈层中均含有α-Fe2O3,γ-FeOOH,α-Fe2O3,γ-Fe2O3,α-FeOOH。通过计算各成分的含量,发现其含量变化为初始时γ-FeOOH的含量最多,其他的相对较少,随着腐蚀时间的延长,γ-FeOOH的含量有所减少,α-Fe2O3,γ-Fe2O3,Fe3O4,α-FeOOH的含量有所上升,正是由于这些物质的形成,才更好地形成了完整的锈层,对耐候钢有一定保护作用。
2.2.2 XRD分析 由XRD谱 (图4) 并对照标准峰位可知,主要物质为:2θ等于14°的物质是γ-FeOOH和Fe3O4,21°峰位对应的是α-FeOOH。27°峰位对应的是γ-FeOOH,β-FeOOH和FeSO4,36°峰位对应的是γ-FeOOH,Fe3O4和α-FeOOH,其右两边的小峰分别代表Fe3O4和Fe2O3,47°峰位对应的是γ-FeOOH,53°峰位对应的是γ-FeOOH和α-FeOOH,61°峰位对应的是γ-FeOOH。同理可得,暴晒6、12和24个月后锈层中α-FeOOH,β-FeOOH,γ-FeOOH,Fe3O4和γ-Fe2O3。

图4耐候钢在暴晒不同时间后的XRD谱
Fig.4XRD patterns of WS rust layer exposed for different time
综合XRD图谱和拉曼光谱分析可知,耐候钢在热带海洋大气环境中暴晒3、6、12和24个月后腐蚀产物均为α-FeOOH,β-FeOOH,γ-FeOOH,Fe3O4,γ-Fe2O3,但是在不同时期各成分的含量不等。刚开始腐蚀产生的锈层中,γ-FeOOH的含量相对较多,随着时间的推移,腐蚀程度加深,γ-FeOOH等经过一系列反应转化成Fe2O3,Fe3O4,α-FeOOH等的过程,使Fe3O4,α-FeOOH的含量提高。
2.3 电化学分析
图5为不同暴晒时间样品的极化曲线,对其进行拟合后得到腐蚀电位和腐蚀电流,列于表1。由表1可知:从3个月到6个月过程中,腐蚀电位向正方向移动,腐蚀电流变大,这种现象说明了期间腐蚀速率的增大。从6个月到24个月的过程中,腐蚀电流持续减小,腐蚀速率持续下降。从3个月到24个月过程中,腐蚀电位变化趋势是先增大再变小,腐蚀电流的整体趋势也是先增大再变小。从腐蚀电池电极反应可以进一步解释腐蚀过程:


图5不同暴晒时间耐候钢的极化曲线
从以上公式中可以了解到耐候钢在溶解氧的极限扩散控制下发生阴极的电极反应,同时阳极反应在电荷的转移 (电流) 控制下发生电化学活性溶解。在腐蚀早期生成一定厚度的腐蚀层后,腐蚀层中含有还原性腐蚀产物γ-FeOOH,随着腐蚀的进一步发生,阴极反应主要是腐蚀层的还原 (Fe3++e→ Fe2+),随着反应的不断进行,形成稳定性较高的α-FeOOH及Fe3O4,导致腐蚀速率减慢,腐蚀电流下降。另外,从极化曲线中得知Tafel斜率逐渐增大,但是变化较小,主要原因是阴极反应中的两个反应主要是以还原反应为主,导致氧化反应起的作用不大。而极化曲线的阳极Tafel斜率也增大,说明阳极的反应很难进行,主要是因为在阴极反应中形成大量的Fe2+,而锈层变厚以后,阻碍了耐候钢基体和氧气的接触,所以Fe2+很难发生氧化反应。
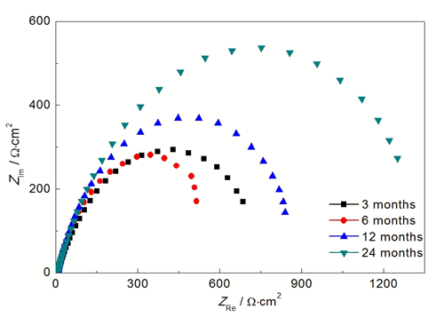
图6为不同暴晒时间样品的Nyquist图。可知容抗弧的大小按由大到小的排列依次是24个月>12个月>3个月>6个月。由此可以得出腐蚀时间不同的耐候钢的阻抗的大小排列按从大到小依次是24个月>12个月>3个月>6个月。由阻抗值和腐蚀电流可知,从3个月到24个月的腐蚀时间中,Q345耐候钢的耐腐蚀性能先减少后增加,这和腐蚀速率和SEM的结果是一致的。

图6不同暴晒时间耐候钢的Nyquist图
Fig.6Nyquist plots of WS exposed for different time
图7是不同腐蚀时间条件下的波特—频率阻抗图,图中线条的斜率的正负决定电路中电容、电感、电阻的组成,当斜率为正时,电路中存在电感,当斜率为负时,电路中有电容和电阻。从图中可以观察到线条的斜率有负没有正,所以电路中存在电阻和电容,不存在电感。使用Zview软件对不同腐蚀时间下的阻抗谱图进行拟合得到的等效电路图和使用的元件参数如图8所示,Pan等[9]也曾经采用类似的等效电路。R1表示溶液电阻 (Rs),CPE1表示双电层电容,R2表示极化阻抗或者电荷迁移电阻 (Rp)。由拟合电路得出不同时间段的耐候钢的元件参数如表1所示。

图7不同暴晒时间耐候钢的波特-阻抗频率图
Fig.7Bode plot of WS exposed for different time

图8带锈层耐候钢的等效电路
Fig.8Equivalent circuit for WS with rust
表1不同暴晒时间样品的腐蚀电位和腐蚀电流及拟合参数
Table 1Corrosion potential, corrosion current andfitted parameters of WS exposed to different time

由表1可以看出极化阻抗先减少后增加,极化阻抗值的大小可以表示耐候钢的腐蚀的难易程度,以上说明从3个月到24个月的时间中,耐候钢的耐腐蚀程度是先降低然后不断上升,原因是由于腐蚀产生锈层,随着时间的推移,锈层越来越厚,对耐候钢起到了保护的作用。
3 结论
(1) 在距离海边100 m的情况下,Q345耐候钢初期腐蚀较快,较为严重,1 a以后,耐候钢的腐蚀速率下降,腐蚀比第1 a内较轻。其原因是耐候钢腐蚀形成的致密锈层相当于一个保护层,在一定限度上隔绝外界环境,减缓腐蚀。
(2) 根据扫描电子显微镜观察腐蚀3个月,6个月,12个月和24个月后的耐候钢锈层截面形貌可知,锈层的厚度在第1 a内的时间里越来越厚,超过1年以后,锈层的厚度变化不大。锈层的状态由致密变得越来越疏松状,由小颗粒状、团聚状逐渐转变为连续的块状,并伴有些许的裂纹和孔洞。
(3) 综合XRD图谱和拉曼光谱分析可知,耐候钢在热带海洋大气环境中暴晒3,6,12和24个月后腐蚀产物均为α-FeOOH,β-FeOOH,γ-FeOOH,Fe3O4,γ-Fe2O3,但是在不同时期各成分的含量不等。刚开始腐蚀产生的锈层中,γ-FeOOH的含量相对较多,随着时间的推移,腐蚀程度加重,γ-FeOOH等经过一系列反应转化成Fe2O3,Fe3O4,α-FeOOH等的过程,使Fe3O4,α-FeOOH的含量提高。
(4) 由电化学分析得知,腐蚀电位和腐蚀电流先增加再减小,而阻抗是先减少后增大。耐候钢的耐腐蚀性是先减少后增大,原因是由于腐蚀产生锈层,随着时间的推移,锈层厚度增加,起到了保护的作用。
免责声明:本网站所转载的文字、图片与视频资料版权归原创作者所有,如果涉及侵权,请第一时间联系本网删除。
官方微信
《中国腐蚀与防护网电子期刊》征订启事
- 投稿联系:编辑部
- 电话:010-62313558-806
- 邮箱:fsfhzy666@163.com
- 中国腐蚀与防护网官方QQ群:140808414



