高熵合金(HEAs)是一类随机合金,一般由5种或5种以上的元素组成,各种元素的比例接近于等组分,通常能表现出非常优异的力学性能。由于HEAs具有高维度的组分空间,并且对于合金的组分没有明显的物理限制,所以高熵合金拥有巨大的优化空间,以提高一种或多种材料属性(例如力学属性里的屈服强度,极限强度,塑性,等等)。 但这为指导新型多组分贵金属HEAs的设计、预测其屈服强度带来了挑战。
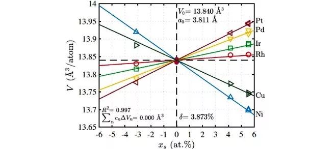
来自瑞士联邦理工学院洛桑分校(EPFL)多尺度力学模拟实验室(LAMMM)以及国家计算设计和新材料发现中心(NCCR MARVEL)的尹冰轮 博士后和William Curtin教授,提出了一种通用的方法。根据新近提出的溶质强化模型理论,利用第一性原理(密度泛函理论,DFT)计算出模型所需要的材料基本属性,然后通过模型理论可以预测出任何随机合金(包括高熵合金)的屈服强度。在这里,所需要计算的材料基本属性都在DFT的计算能力范围之内,可以保证计算结果的准确性。DFT计算的物理量包括随机合金中各种元素的平均错配体积、合金晶格常数、弹性常数和稳定的堆垛层错能。对于贵金属HEAs体系RhIrPdPtNiCu,该方法预测的屈服强度583 MPa与实验测得的强度527 MPa相当接近。同时他们还评估了该方法的不确定性,也评估了多种扫描组分空间的方案,以优化材料性能(寻找最高屈服强度的组分)。该研究可以不依赖于任何拟合参数,而实现屈服强度的预测;在没有任何实验输入的情况下,所建立的合金成分与屈服强度之间的定量联系,可以用于探索新的、有潜力的、高强度高熵合金,并为高强度合金的“计算指导设计”提供了重要途径。
该文近期发表于npj Computational Materials 5: 14 (2019),英文标题与摘要如下。

First-principles-based prediction of yield strength in the RhIrPdPtNiCu high-entropy alloy
Binglun Yin & William A. Curtin
Abstract High-entropy alloys are random alloys with five or more components, often near equi-composition, that often exhibit excellent mechanical properties. Guiding the design of new materials across the wide composition space requires an ability to compute necessary underlying material parameters via ab initio methods. Here, density functional theory is used to compute the elemental misfit volumes, alloy lattice constant, elastic constants, and stable stacking fault energy in the fcc noble metal RhIrPdPtNiCu. These properties are then used in a recent theory for the temperature and strain-rate dependent yield strength. The parameter-free prediction of 583 MPa is in excellent agreement with the measured value of 527 MPa. This quantitative connection between alloy composition and yield strength, without any experimental input, motivates this general density functional theory-based methodological path for exploring new potential high-strength high-entropy alloys, in this and other alloy classes, with the chemical accuracy of first-principles methods.

更多关于材料方面、材料腐蚀控制、材料科普等方面的国内外最新动态,我们网站会不断更新。希望大家一直关注中国腐蚀与防护网http://www.ecorr.org
责任编辑:殷鹏飞
《中国腐蚀与防护网电子期刊》征订启事
投稿联系:编辑部
电话:010-62313558-806
邮箱:fsfhzy666@163.com
中国腐蚀与防护网官方 QQ群:140808414
免责声明:本网站所转载的文字、图片与视频资料版权归原创作者所有,如果涉及侵权,请第一时间联系本网删除。
官方微信
《中国腐蚀与防护网电子期刊》征订启事
- 投稿联系:编辑部
- 电话:010-62313558-806
- 邮箱:fsfhzy666@163.com
- 中国腐蚀与防护网官方QQ群:140808414



