电化学阻抗谱在二十多年前还是一种令人敬畏的高大上复杂电化学技术,但近年来使用这一方法的腐蚀研究论文越来越多,常见腐蚀期刊每期少则 2 篇,多则 5 篇,已成为腐蚀研究的常规方法。其原因不难理解,科研经费增加,阻抗测试仪器价格下降,发表论文需要。电化学阻抗谱获得过程机理信息丰富,有助于建立腐蚀模型,发表高水平论文。由于多相多界面体系的腐蚀过程的复杂性导致电化学阻抗谱解析和建模难度增加,使一些腐蚀研究者不能科学合理应用这一工具。认识和理解等效电路模型方法的理论和规则有助于增强腐蚀电化学阻抗谱解析能力。
1. 腐蚀电化学阻抗谱方法发展和不足
电化学阻抗谱方法来源于电工学中分析电路频谱响应的交流阻抗技术。上世纪 50 年代电气工程师 P.Delahay 首先提出用电工学的交流阻抗谱方法研究电化学动力学问题。荷兰科学家J.H.Sluyters 的系统研究将其发展为电化学方法中重要工具。
法国科学家 I.Epelboin 首先应用于腐蚀电化学中研究阳极溶解动力学,使其成为研究腐蚀问题的重要方法。80 年代第一届国际电化学阻抗谱学术会议决定在电化学领域采用“电化学阻抗谱 EIS”一词取代“交流阻抗”推动了这一方法在腐蚀领域中的应用,曹楚南系统研究了腐蚀电化学领域中电化学阻抗谱理论和应用问题,他的“电化学阻抗谱导论”已经成为电化学阻抗谱方法研究腐蚀电化学行为规律的重要参考书。
近年来具备 EIS 快速准确测量和数据分析拟合功能的电化学工作站的快速发展,推动了腐蚀电化学阻抗谱测试技术普遍应用,实现全程电化学阻抗谱全程自动测量和等效电路参数拟合计算的傻瓜化功能。材料和工程领域的腐蚀研究日益增加,腐蚀研究队伍快速扩张,电化学阻抗谱方法的应用也随之快速发展,体现在国内外腐蚀期刊中使用电化学阻抗谱方法的研究论文显著增加。
与此同时也看到,一些研究者在腐蚀过程电化学阻抗谱解析和建模方面存在一些理解力不足,方法运用不得当。究其原因在于电化学阻抗谱起源于电工学,发展于电化学,使用电化学阻抗谱技术的腐蚀研究者不仅需要掌握腐蚀过程结构特征,也需要具备一些电子电路和电极过程基础知识和方法规则。 如,电阻性、电容性和电感性响应电流 / 电位特征,电流相位滞后和超前意义,腐蚀过程中电荷流动形式,扩散阻抗和负阻抗产生原因,电荷迁移电阻和极化电阻差别,涂层电容和涂层电阻的关系等概念的理解和合理运用是解析阻抗响应是不可或缺的。
2. 电化学阻抗谱方法构成
电化学阻抗谱方法包含两个部分,电化学阻抗谱测量和电化学阻抗谱解析,二者缺一不可。
测量方法是影响腐蚀电化学阻抗谱数据质量的重要因素,是解析和建模的基础。电化学阻抗方法是灵敏度极高的交流方法,可以测定高达 10 10 欧姆高阻抗体系的微弱响应信号,也容易受到环境和工频电磁噪声的干扰而畸变,影响数据解析的 j精确性和可靠性。此外,腐蚀过程通常由多个平行过程和连续过程组成,且主响应过程会随进程演化而转移。测量期间需要增强主响应,减弱干扰信号,并根据过程进展状态选择合适的时机,在主响应腐蚀过程出现期间实施测量,才能获得目标过程的响应数据。如点蚀诱导期处于钝化期和发展期之间,测定其电化学阻抗谱响应必须把握好测量时间, 既不能早也不能晚,才能测量到诱导期电极过程阻抗谱。
测量方法需根据系统响应的因果性,线性和稳定性要求合理设计,才能够获得需要的结果。很多难于理解的阻抗谱响应并不是所关心腐蚀过程响应,而是测量环节不当得到的不具有解析价值的无关响应。研究者不仅需要根据研究内容设计合理的测试方法,还需要具备识别和修正反常阻抗谱响应的能力,才能获得具有解析价值的腐蚀电化学阻抗谱数据。
EIS 测量和解析两者密切相关。解析结果质量首先取决于测量数据质量, 低质量数据不仅影响解析结果准确性和精密度,还可能会误导解析思路。解析的目的是认识腐蚀电化学过程规律和机理、计算腐蚀参数,预测腐蚀行为。低质量解析结果和解析模型会导致研究工作价值降低。因此,高效电化学阻抗谱研究首先要设计和实施科学的测量方案,以期获得与所研究腐蚀过程密切相关的具有解析价值的高质量阻抗数据。测量方案包括测量方法和数据可靠性评价。 测量结果不仅取决于测量仪器性能,还取决于电解池性能。前者在于选择合适的商品仪器,后者通常根据研究内容合理设计和组建,考虑不周很容易影响测量数据质量。EIS 方法的重要特点之一是能够检测到 10 -10 A.cm -2 的极其微弱交流信号,因而适用于有机涂层、缓蚀剂和纯水等高阻抗体系研究。微弱交流信号不仅容易受到环境噪声的影响,还因其响应速度低,达到稳态时间长,测量结果存在过渡现象,数据重现性差,导致测量的数据质量下降。这不仅直接影响数据解析质量,还会误导解析思路和建模过程。为了确保数据的解析质量,需要测量后先进行测量数据质量评估,不符合要求的测量数据不能用于数据解析。
常用的腐蚀电化学阻抗谱数据解析有两种方法,电化学动力学模型方法和等效电路模型方法。电化学动力学模型方法是根据腐蚀过程特征建立电化学阻抗响应动力学方程,解析和验证后获得腐蚀电化学动力学过程数学模型,进而计算腐蚀电化学参数和预测腐蚀行为。这一方法需要研究者具备一定的数学物理方程和电化学动力学基础。曹楚南在“电化学阻抗谱导论”著作中对这一解析方法的原理进行了严谨深入的分析,并介绍了其在典型腐蚀过程中的应用,是使用这一方法的重要参考。
等效电路模型方法,即电模拟方法(electric analog)采用电子元件组成特定电路使其与研究体系具有相同的响应,进而通过电路结构和组件特性分析腐蚀系统的行为和机理。这一方法貌似简单,实则也需要扎实的相关基础与严谨的解析方法。
近年来由于电化学阻抗谱方法在应用研究领域显著增多,材料和工程领域研究者通常不具备扎实的动力学分析基础,因而更倾向于使用等效电路模型方法。电化学动力学解析大师常常质疑这一方法的科学性。EIS 创始人 J.H.Sluyters 认为等效电路解析电化学阻抗谱是歧途,“等效电路是可以证明,但是不可以创造”。曹楚南也认为等效电路方法解析阻抗谱缺乏严谨性。的确如此,腐蚀过程电化学阻抗谱响应与其相应的等效电路之间既不存在严格对应关系,也不存在实质性联系。常见的解析阻抗谱等效电路模型推导过程缺乏严谨性,模型缺乏唯一性,有时还会误导对腐蚀电化学过程机理的理解。因此,这一方法的解析程序需要规范完善。事实上,一些复杂体系的腐蚀过程,如不均匀分布态腐蚀体系中的表面耦合电流过程,很难用当前二端网络电路来描述,等效电路模型方法还需要继续发展和完善。
3. 电化学阻抗谱等效电路模型解析方法的基础
当前等效电路模型方法应用体系和领域快速扩展,不严谨解析会导致研究结果质量下降,影响了这一方法的持续发展。
为此,需要讨论这一方法的理论基础和解析规范。
EIS 数据解析目的是查明腐蚀机理和单元过程性质,建立腐蚀模型, 进而计算腐蚀参数, 预测腐蚀行为和材料耐蚀寿命,进一步开发防护技术。从这一点来说,等效电路模型方法和动力学方法解析目标和结果是完全相同的,差别仅在于解析途径不同,事实上两者也常常混合使用。
电模拟等效电路模型方法是采用电子元件组成特定电路使其与腐蚀过程具有相同的电化学阻抗谱响应,建立腐蚀过程的等效电路模型,进而研究腐蚀过程行为和机理。与动力学方法相比较,等效电路模型方法有两个不同的重要特点,看起来简单,实则相当复杂。其一,建立的腐蚀过程模型是用电子元件组成的电路,用组件性质和电路结构来描述。腐蚀单元过程用电子元件模拟,腐蚀单元平行 / 连续反应组合用并联 / 串联电路来模拟。腐蚀模型质量则取决于等效电路的电子元件和结构的模拟质量。
电子学中能够模拟腐蚀电化学过程的元件主要是电阻、电容和电感,远不足以描述多种多样的腐蚀单元过程,为此,还要采用一些非电路电化学元件,如常相位角元件 CPE,扩散阻抗元件 W 等等。因此,解析不能够直接套用电路概念的电子元件,而要理解具有腐蚀电化学意义的电子元件性质,才能构建符合腐蚀过程模型的等效元件。 另外, 不同于电路中电子流动形式,腐蚀过程中涉及多相多界面,不同相中电荷流动形式不同。金属中为电子流动,电解质溶液中为离子流动,钝化膜中为载流子流动。电荷流经相界面则必须进行转换,以保持体系电中性原则。再有,电路中电荷为集中方式流动,而腐蚀过程中电荷在整个材料表面以不均匀分布方式流动。这些过程均无法用电子元件电路来模拟。
其二,确认与腐蚀体系测定电化学阻抗谱具有相同响应的等效电路。对于充分已知腐蚀过程来说,可采用已经确认的等效电路进行拟合计算来建立腐蚀过程的等效电路模型。但对于部分未知和完全未知的腐蚀过程来说,通过选择具有相同阻抗谱响应的电路来建立其等效电路必然遇到唯一性问题,即存在多个具有相同阻抗谱响应的电路,需要认定唯一与腐蚀过程一致等效电路,并否决其余。等效电路模型一致性确认的重要性显而易见。
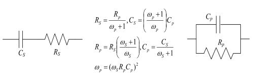
这一问题起因于电路理论中的等效变换原理。即,保持外部电流 - 电压关系不变的电路结构间存在等效转换。即保持外部阻抗响应不变前提下存在多个结构不同等效电路。

图1 电路等效变换。左:串联电路;中:元件等效变换关系;右:并联电路。
如图 1 左图为 R s -C s 串联电路,只要满足图 1 中图表达式的条件,就能够全频域等效于图 1 右图 C p //R p 并联电路,两者的阻抗谱响应全频一致。
此外还可以证实,同一个电路可具有不同形式的阻抗谱响应;同一阻抗谱响应也可具有不同等效电路。电路结构可以等效变换,而腐蚀电化学过程不能进行等效变换,其机理和结构是唯一的,很难想象一个腐蚀过程存在两个不同的机理。由此可见,在解析电化学阻抗谱时获得与腐蚀过程阻抗谱一致等效电路的存在性作为模型判据是不完备的,还需要检验该等效电路的唯一性。只有存在且唯一才能确认为该腐蚀过程的等效电路模型,否则只能是假设,而假设不具备模型计算参数和预测行为的价值。
4. 电化学阻抗谱等效电路模型检验准则与判据
在获得具有与腐蚀过程相同阻抗谱响应的等效电路之后,必须进行相关性检验。只有通过腐蚀过程一致性检验的等效电路才能被确认为该腐蚀过程的的等效电路模型。模型的价值不仅在于描述腐蚀行为和作用机理,还能够计算腐蚀参数,预测腐蚀行为和耐蚀性寿命, 提供开发腐蚀控制的思路。 显而易见,合理性检验是建立等效电路模型的必不可少步骤。
由上可知,腐蚀电化学阻抗谱响应等效电路模型解析准则如下:
·等效电路模型是物理模型,必须与被描述腐蚀过程机理结构一致。
·等效电路模型可靠性验证方法是检验模型结构和组件性质与腐蚀过程结构一致;·只有经过一致性验证的等效电路才具有模型价值,才能用于认识腐蚀机理,计算腐蚀参数,预测腐蚀行为。没经过验证的等效电路只能是假设,不具有模型价值。
·阻抗谱拟合数据一致性不能证明等效电路模型唯一性,不能成为模型检验判据。
等效电路模型检验判据之一是所建等效电路与腐蚀电化学过程等效组件性质一致。 腐蚀过程等效组件性质包括组件属性、位置和连接关系。
已经确认的腐蚀电化学过程若干典型等效电路模型组件性质和连接方式均具有各自特征,可用作检验等效电路模型一致性判据。如,双电层电容、电荷迁移电阻、极化电阻、扩散阻抗、涂层电容和电阻、腐蚀产物膜等等。这些判据来源于大量公开发表的研究成果,其可靠性毋庸置疑。随着新腐蚀体系研究工作的发表,还会有新的判据逐步加入。
以上仅列出部分腐蚀过程已确认等效组件性质。 可以确定,如所建等效电路结构和元件与已确认等效组件性质有矛盾,则该等效电路因不能通过检验而失效。以下三例病态等效电路模型一致性检验实例供参考。
(1)腐蚀电位下测定的常规腐蚀体系等效电路

图2 腐蚀电位下测定的常规腐蚀体系等效电路
其中,R sol 溶液电阻,Q f 和 R f 分别腐蚀产物膜电容和电阻,C dl 双电层电容,R ct 电荷迁移电阻。
问题一,R ct 不当使用。腐蚀电位下存在阳极和阴极不等的两个电荷迁移过程。这里的 R ct 指的是哪一个?
问题二,R f 不当使用。多孔腐蚀产物膜存在两个不同的导电通路,膜体本身导电和孔隙溶液导电。如 R f 指膜体导电,需说明导电方式。况通常锈层导电性很弱,不会成为主要导电通路。此外,溶液不能直接通过膜体,而只能通过孔隙到达金属界面;R f 如指孔隙溶液导电,则应标记为 R pore,sol 为宜。
问题三,Q f 和 R f 端点分离。如 Q f 和 R f 为同一膜体的不同属性,则因分别连接与 A,B 不同电位两点,则应同一元件端点电位不同而违反电中性原则。
修正建议:电荷迁移电阻 R ct 改为极化电阻 R p ;膜电阻 Rf改为孔隙溶液电阻 R pore,sol 。
(2)环氧粉末涂层体系的等效电路

图3 环氧粉末涂层体系的等效电路图
其中, R s 为溶液电阻, C c 和R c 分别是涂层电容和涂层电阻,C dl 为双电层电容,R ct 为电荷转移电阻,C diff 和 R diff 分别为扩散电容和扩散电阻。
问题一, 与 (1) 问题二、 三相同, R c 应为R sol 孔隙溶液导电;问题二, R diff 不能接受/提供电子, R ct 电荷迁移过程如何实现?
问题三,扩散过程不能用电容 // 电阻并联组件模拟;
问题四,R diff 不能接受 / 提供电荷。
修改建议:模型失效,重建模型。
(3)阻抗拟合精度高就说明等效电路模型正确?
否!阻抗拟合精度高的等效电路有很多,但只有一个是所测定腐蚀过程的等效电路模型, 拟合精度无法确认等效电路唯一性。
5. 结束语
尽管等效电路模型解析腐蚀过程电化学阻抗谱方法存在推理不严谨,仅为形式模拟,无实质联系等缺陷,仍因其方法简单实用而人气广泛, 且适用于复杂体系。 如能夯实其理论基础,严谨其解析程序,充实其检验判据,完善腐蚀阻抗谱数据库,定能成为腐蚀研究强力工具。本文仅在此领域进行初步探索,铺路筑石,抛砖引玉。
作者简介

王佳,中国海洋大学化学化工学院,博士,教授,博士生导师。腐蚀电化学及测试方法专业委员会副主任,中国腐蚀与防护学会副监事长,“中国腐蚀与防护学报”和“腐蚀科学与防护技术”编委。承担科技部、基金委和公司项目数十项。发表论文250余篇,专利46项,专著5部,奖励5项。主要从事腐蚀电化学理论和方法,自然环境腐蚀理论,腐蚀数据评价,腐蚀监检测和腐蚀仪器开发。
更多关于材料方面、材料腐蚀控制、材料科普等方面的国内外最新动态,我们网站会不断更新。希望大家一直关注中国腐蚀与防护网http://www.ecorr.org
责任编辑:殷鹏飞
投稿联系:编辑部
电话:010-62313558-806
中国腐蚀与防护网官方 QQ群:140808414
免责声明:本网站所转载的文字、图片与视频资料版权归原创作者所有,如果涉及侵权,请第一时间联系本网删除。
官方微信
《中国腐蚀与防护网电子期刊》征订启事
- 投稿联系:编辑部
- 电话:010-62316606-806
- 邮箱:fsfhzy666@163.com
- 中国腐蚀与防护网官方QQ群:140808414



