目前元坝气田铺设管道将近130km,根据元坝气田介质特性,可以判断该气田运输管道将面临较强的腐蚀问题。
元坝气田采用挂片+电阻探针+线性极化探针+场指纹(Field Signature Method, FSM)+超声波探针+国产FSM监测系统技术联合监测,主要使用传统检测方法如挂片、电阻探针。
1.FSM原理与现场安装
FSM最早是由H.Hangestad在1983年提出的,是一种无外界干扰的管道腐蚀及裂纹监测技术,其测量探针和所有配套设备都安装在被监测对象外部。与传统的腐蚀监测方法相比较,FSM不需要在管道上开安装孔,不存在泄漏的危险,且不会将杂物引入管道从而影响安全生产。该方法能够在温度范围为-20℃-500℃的环境下工作。并且FSM在监测过程中没有配套设施暴露在恶劣的环境中,系统稳定可靠,即使使用者误操作的情况下对整个系统没破坏性。
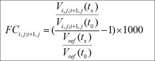
任一对测量电极的电压变化情况可以由指纹系数(FC值)判断:

(单位:ppt, Part per thousand)
其中:Vi,j;i+1,j(t0),Vi,j;i+1,j(tx)—探针(i,j)和(i+1,j)在t0和tx时刻的电压;Vref(t0),Vref(tx)—标准电极对在t0和tx时刻的电压。
元坝气田的两套国产场指纹监测系统,分别位于元坝29井进站管线环向焊接处和元坝29-1井出站管线环向焊接处。元坝29-1井管道探针安装示意图如图2所示,元坝29井现场安装示意图如图3所示。为了进行更好地对比分析数据,在元坝29井和元坝29-1井国产FSM监测系统和国外FSMLog系统安装在相同管道上,二者的监测区域不超过3m。此外,该监测管道附件也安装有超声波传感器进行监测。元坝29井的监测区域在地面上,且与管道平行;29-1井的监测区域被埋地下,与地面呈20°夹角。

图2 元坝29-1井管道探针安装示意图(浇封前)

图3 元坝29井现场(安装后)
2.数据分析
元坝气田国产FSM监测系统采集的电压数据以行向量的方式存放在EXCEL实验数据库中。根据上一节所述,FSM系统采用FC值来表征管道的腐蚀状况,在系统软件中经过数据处理之后,得到元坝29井的FC值曲线如图4(a)所示,29-1井的FC值曲线如图4(b)所示,为了便于观察,图4均只显示了112组探针中最大的5组FC值曲线。
从图4(a)和(b)对比可以看到:
(1)元坝29井的各个探针的FC值比较一致,说明目前管道内壁的腐蚀比较均匀,未发生明显的坑蚀现象。
(2)元坝29-1井的FC值曲线明显与29的不同,其中探针P1-1处的FC值比其他探针的值要大,说明这里很有可能发生了坑蚀,目前坑蚀处于缓慢发展的阶段。而且29-1井的探针的FC值比29井的值要稍微大一些,说明腐蚀稍微严重一点。

(a)元坝29井的FC值曲线图

(b)元坝29-1井的FC值曲线图
图4 元坝国产FSM腐蚀监测系统得到的FC值曲线图
在观察FC值曲线之后,需要得到目前管道的剩余厚度和管道的腐蚀厚度,经过后续的数据计算,29井和29-1井监测区域的管道剩余厚度如图5所示,腐蚀厚度如图6所示。
从图5,6中可知:
(1)监测区域处于管道转弯处的焊缝两端,为了保证连接处的强度,一端的管道厚度明显比另外一端要厚较多。
(2)29井的腐蚀相对比较严重的多发生于管道下端,这是由于管道处于水平放置,运输介质中的水分多沉淀于下面,造成管壁发生腐蚀。
(3)29-1井的管道内壁各部位腐蚀强度不均匀,靠近管道上端P1-1处的腐蚀相对最为严重,极有可能发生了坑蚀。

(a)元坝29井监测区域管道剩余厚度

(b)元坝29-1井监测区域管道剩余厚度
图5 元坝国产FSM腐蚀监测系统得到的管道剩余厚度
国外FSM系统虽安装了近11个月,但系统由于安装维护问题,以及后续数据处理的问题,导致监测数据读取时反复出现问题,金属损失没有连续性,其数据缺乏参考性。国产场指纹监测系统可得管壁均匀腐蚀、冲蚀、坑蚀损失量和腐蚀速率。

(a) 元坝29井监测区域管道腐蚀厚度

(b)元坝29-1井监测区域管道腐蚀厚度
图6 元坝国产FSM腐蚀监测系统得到的管道腐蚀厚度
国外超声波监测系统(UT)投入运行来,运行稳定,其监测数据具有较好的参考性,和国产场指纹监测系统在相同时间节点内可进行对比分析,表1为各监测数据对比分析表。数据表明国产场指纹系统数据具有很好的精度和可靠性。
表1 各监测地点不同设备的平均腐蚀速率对比分析表

3.结论
(1)FC值显示管道上的腐蚀点未发生偏移,腐蚀情况稳定,未发生严重坑蚀。
(2)29井的腐蚀相对比较严重的多发生于管道下端,这是由于管道处于水平放置,运输介质中的水分多沉淀于下面,造成管壁发生腐蚀。
(3)国产场指纹系统可判断坑蚀情况,29-1井的管道内壁各部位腐蚀强度不均匀P1-1处的腐蚀相对最为严重,极有可能发生了坑蚀。
(4)对比UT监测数据,元坝29井进站管线处和元坝29-1井出站管线处折算平均腐蚀速率偏差分别为0.002mm/a和0.009mm/a,表明国产场指纹系统数据满足现场使用要求,具有较好的可靠性。
更多关于材料方面、材料腐蚀控制、材料科普等等方面的国内外最新动态,我们网站会不断更新。希望大家一直关注中国腐蚀与防护网http://www.ecorr.org 责任编辑:王元 《中国腐蚀与防护网电子期刊》征订启事
投稿联系:编辑部
电话:010-62313558-806
邮箱:ecorr_org@163.com
中国腐蚀与防护网官方 QQ群:140808414
免责声明:本网站所转载的文字、图片与视频资料版权归原创作者所有,如果涉及侵权,请第一时间联系本网删除。
官方微信
《腐蚀与防护网电子期刊》征订启事
- 投稿联系:编辑部
- 电话:010-62316606-806
- 邮箱:fsfhzy666@163.com
- 腐蚀与防护网官方QQ群:140808414



