【摩擦磨损与润滑】兰州理工大学丁雪兴教授团队:微孔几何轮廓对浮环气膜密封动压润滑特性的影响
"随着科技的高速发展,流体机械设备面临的工作环境日益苛刻,对密封系..."
【激光表面改性技术】新疆大学孙文磊教授等:激光熔覆CoCrFeNiTi高熵合金工艺优化及预测模型研究
"目前,水导激光烧蚀机理研究还未形成较完善的体系,本研究主要将飞秒..."
京津冀再制造产业技术研究院再制造工程技术团队:激光熔覆 Fe/Ti3SiC2复合涂层工艺优化及其组织结构与性能
"由于摩擦副在使用中,表面发生相对运动,产生磨损,因此研究者们通过表..."
伊朗设拉子大学通过锌-石墨混合中间层搅拌摩擦焊有效解决铝-铜合金复合材料接头界面晶间腐蚀问题
"为了实现铜的优良导电性和耐腐蚀性与铝的轻质和低成本的组合,近几..."
美国加州大学实现双电层组分设计调节电池腐蚀膜
"电池性能受固体电解质界面(SEI)的影响很大,而SEI是由电解质分解形成..."
破解半个世纪以来的难题,松山湖材料实验室,最新Nature Materials!
"特恩布尔半个世纪前提出是否所有材料都能形成玻璃态,这个问题至今..."
《Nature Materials》突破物质极限!解决制备单质非晶金属百年难题新技术
"在传统观念中,物质通常被划分为气体、液体和固体三大类。如果所有..."
金属顶刊《Acta Materialia》:韧性断裂机制重大突破!
"在韧性断裂界,最令人困惑的争议之一是在剪切主导加载过程中,预测的..."
《Adv. Mat.》:铝合金,高强度+耐腐蚀!
"高强度铝基金属材料因其重量轻、性能好(如高特定强度和导电性),而广..."
《JMST》抗拉达到1.8GPa,通过控制初始组织调控加C在中熵合金实现优异力学性能
"该研究表明,通过控制液氮温度下变形诱导马氏体转变(DIMT)行为,可以..."
《Acta Materialia》单晶铜纳米颗粒的极限抗压强度和严重塑性变形
"通过实验和原子模拟相结合的方法,研究了无缺陷纳米铜的力学性能和..."
Nat. Commun.: 压电陶瓷膜内置超声用于活性氧生成及协同振动防污
"近日,东南大学能源与环境学院环境科学与工程系赵阳研究员在逆压电..."
突破性纳米科技:赋能环氧树脂涂层,实现超强抗风干、抗腐蚀与自修复!· 上
"这项工作中,用负载单宁酸(TA)的介孔二氧化硅(MSN-TA)纳米容器制备..."
《Acta Materialia》双发:毛新平院士团队在薄带铸轧高强钢和高强塑低锰含量中锰钢设计方面取得重要进展
"薄带铸轧流程简约高效,是双碳背景下钢铁工业实现节能减排目标的重..."
突破传统共晶材料强塑性记录!上海大学钟云波团队实现一种超级位错网结构共晶合金
"在材料科学领域,共晶合金凭借其卓越的流动性和铸造性,已成为制造大..."
一种新型涂层工艺,实现衣物高效抗菌且耐用!
"对棉织物进行改性以获得显著的新特性,对于创造多功能纺织品具有重..."
碳点——金属腐蚀防护领域的新星
"相较于一般材料,碳点具有优异的生物相容性:碳点本身无细胞毒性,经基..."
【材料资讯】增材制造超级双相不锈钢疲劳性能研究取得新进展
"5月10日,澳大利亚AML3D公司报道了WAM®丝弧增材制造超级双相不锈..."
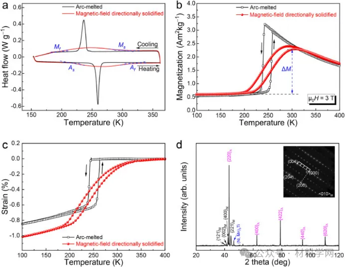
金属顶刊《Acta Materialia》磁场辅助定向凝固法制备形状记忆合金!
"形状记忆合金中的弹性热效应依赖于与应力诱导马氏体转变相关的潜..."
《Acta Materialia》:高熵合金扩展缺陷周围的元素偏析机理及其对机械性能影响
"扩展缺陷,包括位错、堆积断层(SF)和晶界(GB),对工程合金的性能起着重要..."
《MSEA》:纤维异构显著提升2.1GPa超高强度中锰钢的断裂韧性!
"为了减少能源消耗和环境污染,工业界对金属材料的机械性能提出了更..."
《JMST》抗拉达到1.8GPa,通过控制初始组织调控加C在中熵合金实现优异力学性能
"该研究表明,通过控制液氮温度下变形诱导马氏体转变(DIMT)行为,可以..."
超疏水!调温涂层,Advanced Materials!
"控制全球温室气体排放,对遏制全球变暖至关重要。无能源被动式日间..."
增材制造顶刊《AM》激光粉末床熔凝镍基高温合金疲劳裂纹萌生过程中的组织演变及细晶
"固溶和双时效后处理初始材料的微观结构表征显示出工艺引起的缺陷..."
【图文摘要】Acta Mater.: 微纳尺度金属疲劳研究取得新进展
"近年来,新能源、人工智能及信息通讯等领域的快速发展使得相关器件..."

























