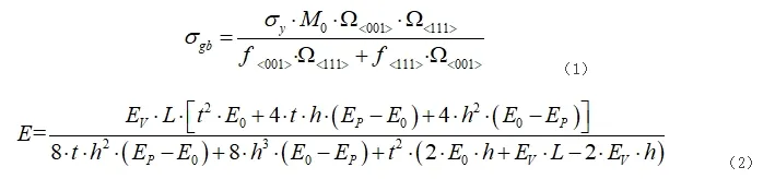
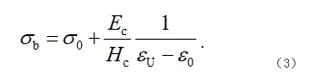
进入21世纪以来,随着中国经济的快速发展和制造业的不断升级,对高强度、高塑性、高导电性及抗疲劳金属材料的需求日益迫切。因此,提升金属材料的强度、塑性、导电率及疲劳性能具有重要工程意义。然而,如何突破强度-塑性和强度-导电率之间制约关系,一直是金属材料领域重大国际难题。张哲峰研究员团队长期开展金属材料塑性变形、强韧化及高强-高导机制研究,通过揭示位错和电子对金属材料强度、塑性、导电率的影响,近期在这一领域取得新进展。 提出强度-导电率定量关系模型:基于金属导线服役时位错滑移和电子输运与晶界交互作用机理,提出了晶粒宽度主要影响强度,晶粒长度主要影响导电率,进而提出了“细长晶粒”设计高强-高导原理,采用“超细长晶”技术成功实现了若干纯铝/铜导线强度和导电率同步提升,打破了强度-导电率之间制约关系(图1)。进一步地,根据提出的物质传导定律:即物质通量密度与载荷梯度成正比,将细长晶粒特征晶界与基体进行串-并联建模,推导出细长晶粒、晶界特征与导电率和强度定量关系,澄清了垂直晶界和平行晶界长径比、数量以及尺寸对强度和导电率的定量影响机理,建立了细长晶粒晶界空间分布特征参数与强度σgb和导电率E之间定量关系模型: 强度-导电率与晶粒-晶界特征定量关系如图2所示。该研究结果发表在 Hou JP (侯嘉鹏等) Acta Materialia 281 (2024) 120390,Li XT (李孝滔等) Journal of Materials Science & Technology 213 (2025) 80-89和Fan XY (范雪圆等) Journal of Materials Science & Technology 220 (2025) 14-22上。 提出位错运动临界独立空间模型:以金属材料中影响强度-塑性关键因素—位错如何运动作为切入点,通过分解其在不同方向上的临界距离,提出平行于滑移面方向的临界塞积距离影响强度,而垂直于滑移方向的临界捕获距离影响塑性,计算模拟发现对于Al、Ag、Cu、Ni等纯金属,二者乘积恒定,该恒定值代表不同金属中位错运动临界独立空间大小A*,反映了金属材料本征强度-塑性水平。位错运动临界独立空间的提出揭示了金属材料强度-塑性相互制约的内在原因。大量实验发现:通过合金化降低层错能、增加短程有序和降低温度可减小位错运动临界独立空间,实现强度-塑性同步提升(图3),该研究结果发表在Liu R (刘睿等) Journal of Materials Science & Technology,224 (2025) 239-244上。 建立金属材料强度-塑性制约关系定量模型:基于位错塞积机制理解,通过考虑位错塞积诱发应变和应力集中,分别推导出多晶金属材料强度-塑性关系数学表达式,进而建立了单相金属材料强度-塑性制约关系定量模型: 其中,σb和εU分别表示拉伸强度和均匀延伸率。对比大量实验结果发现:该制约关系定量模型与大量金属材料拉伸强度-塑性实验数据相符,如图4(a)所示。该模型表明:不改变金属合金成分,单纯通过调控晶粒尺寸难以同步提升其强度和塑性水平。同时模型中三个材料参数对应于强度-塑性协同提高的三个机制:1)增加位错本征滑移阻力;2)改善界面强度;3)促进滑移均匀化;建立的强度-塑性制约(trade-off model)关系定量模型总结如图4(b)所示,该研究结果发表在Li XT (李孝滔等) Acta Materialia 289 (2025) 120942上。 上述研究表明:金属材料不同性能之间的相互制约关系是普遍存在的,但导致性能之间相互制约的内在原因有所不同。其中力学性能—功能性能这类制约关系往往受多因素控制:如强度-导电率制约关系,二者分别受位错行为和自由电子散射的不同影响;这种情况下,可以不改变合金成分而仅通过组织调控突破强度-导电率制约关系,如通过拉拔导线增加纤维晶粒中平行晶界数量阻碍位错提高强度,减少导线纤维晶粒中垂直晶界数量降低电子散射而提高导电率,实现强度-导电率同步提升。而强度-塑性之间制约关系则通常仅受单因素—位错行为控制,这种情况下,受合金成分影响的本征因素是影响强度-塑性相互制约关系的关键,因而常规的微观组织调控难以改变位错本征行为,很难从根本上突破强度-塑性制约关系。通过揭示位错运动临界独立空间可反映不同金属合金中位错本征行为,进一步通过建立强度-塑性制约关系定量模型,实现了对这一本征制约关系的定量描述,可为不同金属合金强度-塑性水平预测及设计制备提供参考。上述研究成果可为深入理解金属材料不同性能之间制约关系提供理论依据,并为实际服役条件下对金属材料综合性能的不同需求提供有效的应对措施。 上述研究工作获得国家自然科学基金创新研究群体(52321001)、重大(52494932)、重点(52130002)及优青(52322105)基金项目资助。 图1 超细长晶铜导线强度-导电率突破 图2 细长晶粒-晶界空间分布特征参数与强度-导电率定量关系 图3 位错运动临界独立空间及影响强度-塑性制约关系的主要因素 图4 金属材料强度-塑性制约(trade-off model)关系定量模型验证及总结 AI读进展:金属材料性能突破:如何让材料既强韧又导电? 背景:金属材料的“不可能三角” 金属材料在工程应用中常常面临一个经典难题:强度(抗变形能力)、塑性(延展性)和导电率(导电能力)三者之间似乎存在天然的矛盾。例如: • 高强材料(如钢铁)通常导电性差且脆硬; • 高导材料(如纯铜)往往强度低、易变形; • 高塑性材料(如纯铝)容易在受力时发生永久塑性形变。 这种“鱼与熊掌不可兼得”的特性,严重制约着电力传输、航空航天等领域的发展。而中国科研工作者近期在这一领域取得重要突破。 __________________________________ 突破一:破解“强度-导电率”矛盾 关键发现:晶粒形状的魔术 • 传统认知:材料中的晶界(晶粒间边界)会阻碍电子流动(降低导电率),但同时也能阻止位错运动(提高强度),导致两者互相制约。 • 创新设计:金属所张哲峰团队提出“细长晶粒”结构(类似拉长的米粒): o 横向晶界(短边)稀疏排列,电子可沿晶粒长轴自由流动,横向晶界数量减少可降低电子散射而提高导电率。 o 纵向晶界(长边)数量减加,像“栅栏”一样阻挡位错移动,显著提升强度; • 实际效果:在纯铝/铜导线中实现强度提升30%,导电率保持90%以上,解决了电力传输中导线“一拉就断”或“电阻过高”的难题。 __________________________________ 突破二:揭秘“强度-塑性”制约关系 位错运动的“黄金分割” • 核心概念:科学家首次提出位错运动临界独立空间(A*),发现不同金属中位错滑移时: o 平行滑移方向的临界塞积距离决定强度; o 垂直滑移方向的临界捕获距离决定塑性; o 二者乘积恒定为A*,这是材料的本征特性。 • 调控手段: o 通过合金化(如铜中加铝)、低温处理等方式缩小A*值; o 实验效果:调整后的铜合金强度提升50%,延伸率(塑性)提高20%。 _________________________________ 突破三:建立性能预测数学模型 团队构建了三个关键公式,为材料设计提供“导航仪”: 1. 强度-导电率模型:通过晶粒长宽比、晶界特征等参数,定量预测材料性能。 2. 强度-塑性模型:公式σ_b•ε_U^(1/2) = K(K为材料常数),揭示单纯靠细化晶粒无法同时提升强塑性。 3. 临界空间模型:A* = L_塞积 × L_捕获,解释不同金属的强度-塑性差异。
免责声明:本网站所转载的文字、图片与视频资料版权归原创作者所有,如果涉及侵权,请第一时间联系本网删除。
官方微信
《腐蚀与防护网电子期刊》征订启事
- 投稿联系:编辑部
- 电话:010-62316606
- 邮箱:fsfhzy666@163.com
- 腐蚀与防护网官方QQ群:140808414









