导读:机器学习在合金设计中的应用越来越广泛,但传统模型在处理有限的数据集和复杂的非线性关系时仍然面临挑战。本研究提出了一种基于数据增强和重建的可解释机器学习方法,用于挖掘高性能低合金镁合金。数据增强技术通过高斯噪声扩展原始数据集。数据重建方法对原始数据进行重组和转换,以提取更具代表性的特征,显著提高了模型的泛化能力和预测精度,极限抗拉强度(UTS)模型的决定系数(R2)为95.9%,断裂伸长率(EL)模型的R2为95.3%。提出了一种相关系数辅助筛选(CCAS)方法来过滤低合金靶材合金。设计了一种新型Mg-2.2Mn-0.4Zn-0.2Al-0.2Ca(MZAX2000,wt%)合金,并在给定的加工参数下挤压成棒材,实现了室温强度-延性协同作用,显示出395 MPa的优异UTS和17.9%的高延伸率。这与挤压态MZAX2000合金中的异质结构特性密切相关,该合金由粗晶粒(16%)、细晶粒(75%)和纤维区域(9%)组成。因此,这项工作为优化合金成分和加工参数以获得新型高强韧性低合金镁合金提供了新的见解。
镁(Mg)及其合金作为重要的高性能轻质金属材料,凭借其低密度、高比强度以及出色的阻尼性能,在航空航天、汽车制造和电子产品等领域备受瞩目。然而,传统镁合金往往需要添加大量昂贵的合金元素来提升性能,这不仅增加了成本,还可能影响材料的可回收性。因此,研发高性能的低合金化镁合金成为热门研究课题。近年来,低含量无稀土的高性能Mg-Al-Ca-Mn-(Zn)合金逐渐受到研究人员的广泛关注,但确定其最佳合金成分和加工参数需要进行大量实验,开发新方法加速其制造迫在眉睫。随着材料科学和人工智能技术的飞速发展,基于数据驱动和计算材料科学的新研究范式逐渐兴起,机器学习方法虽已用于设计多种高性能合金,但传统机器学习方法面临可用实验数据有限和模型缺乏可解释性的挑战。
在本研究中,扬州大学、云南大学等多所高校及科研机构的团队提出了一种基于数据增强和重构的可解释机器学习方法,旨在挖掘高性能低合金化镁合金。该方法通过高斯噪声扩充原始数据集,运用数据重构方法提取更具代表性的特征,并采用三步特征选择过程降低变量维度,从而提高了模型的泛化能力、预测准确性和合金设计效率。研究对比了8种机器学习模型,发现GB模型在预测极限抗拉强度(UTS)和断裂伸长率(EL)方面表现最优,经随机搜索优化超参数后,其预测准确性超0.95。通过相关系数辅助筛选(CCAS)方法,确定了最佳合金成分和加工参数,制备出的Mg-2.2Mn-0.4Zn-0.2Al-0.2Ca(MZAX2000)合金在挤压态下呈现出由粗晶粒、细晶粒和纤维区域构成的异质结构,实现了强度和延展性的协同,UTS达到395 MPa,EL高达17.9%,与预测值相近,表明GB模型是指导高性能低合金化镁合金设计的有效方法。
该研究还分析了新合金的强化机制和塑性变形机制。除晶界强化、第二相强化和位错强化外,HDI强化对提高UTS有重要贡献;而基面滑移的施密德因子分布均匀、多种滑移系统的参与以及异质结构界面附近的额外应变梯度则共同促进了EL的提高。综上所述,本研究为优化合金成分和加工参数以获得新型高强韧低合金化镁合金提供了新的思路和方法。
相关研究成果以“Interpretable machine learning excavates a low-alloyed magnesium alloy with strength-ductility synergy based on data augmentation and reconstruction”发表在Journal of Magnesium and Alloys上
链接:https://www.sciencedirect.com/science/article/pii/S2213956725000192
图1 高性能低合金镁合金的可解释机器学习设计策略。
图2 数据分布
(a)显示Al、Zn、Ca和Mn的合金成分;
(b-f)分别包含ST、ST、ET、ES和ER的处理参数;
(h-i)分别包括UTS和EL的机械性能。
图3 高斯增强:(a)高斯噪声分布,比较原始数据集和增强数据集的UTS;(b)原始样本和增广样本集中的数据情况。
图4 增广数据集和普通数据集的比较:(a)UTS;(b)EL。
图5 PCC相关筛查结果。
图6 (a,b)分别为UTS和EL的RFE筛选结果;
(c,d)UTS和EL的ES筛选结果。
表1 理化参数三步特征筛选。
图7 模型预测结果:
(a,b)8个ML预测模型对UTS和EL的比较;
(c,d)分别为超参数优化后GB模型的UTS和EL预测结果。
(读者可参阅本文的网页版本,以了解此图例中有关颜色的解释。)
图8 相关系数辅助成分筛选。
图9 (a)挤压态MZAX2000合金的OM观察;
(b) (a)中框的扫描电镜放大图;
(c)由粗晶、细晶和纤维区组成的异质结构示意图;
(d)杆数,包括(0001)、(11-20)和(10-10)。ED和RD分别代表挤压方向和径向。
图10 挤压态MZAX2000合金的XRD结果。
图11 挤压态MZAX2000合金的相组成:
(a)SEM图像显示出一些微尺度的颗粒状相;
(b)TEM图像显示一定量的纳米级颗粒状相;
(c,d)微/纳米尺度相尺寸分布;
(e)映射扫描结果显示Mg、Mn、Zn、Al、Ca元素分布;
(f)高分辨率TEM图像,
(g,h)相A和相B对应的快速傅里叶变换(FFT)图;
(i-1)TEM图像显示部分纳米级相在晶界(GBs)分离。
图12 (a)挤压态MZAX2000合金的工程拉伸应力-应变曲线及拉伸性能;
(b)收集的Mg-Al-Ca-Mn-(Zn)数据和新开发的MZAX2000合金的UTS与EL的关系。
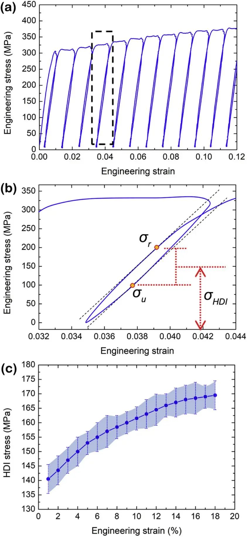
图13 (a)加载-卸载-再加载(LUR)拉伸工程应力-应变曲线;
(b) (a)中黑色虚线框的放大视图;
(c)HDI应力随工程应变的函数。
图14 (a)挤压态MZAX2000合金沿ED施加拉伸载荷时基底滑移的施密德因子分布图;
(b,c)分别在g=0001和g=10-10条件下,采用双光束衍射的拉伸应变为5%时的TEM暗场图像;
(d,e)分别为(b)、(c)对应的原理图。
图15 (a,d)逆极图(IPF)图,
(b,e)基滑移的Schmid因子图,
(c,f)粗/细粒结构和纤维/细粒结构的核平均取向偏差(KAM)图。
本文通过提出基于数据增强和重构的可解释机器学习方法挖掘高性能低合金化镁合金,取得了多项成果:
(1)利用高斯噪声和数据重构方法,有效扩展了数据集并提取出更具代表性的物理化学参数。经三步特征选择,减少了变量维度,提升了模型预测精度和合金设计效率。在8种机器学习模型中,GB模型预测UTS和EL的效果最佳,经随机搜索优化超参数后,预测性能进一步提升,R2均超0.95。
(2)运用CCAS方法挖掘出最佳合金成分(0.2wt% Ca、2.2wt% Mn、0.4wt% Zn、0.2wt% Al)和加工参数(25 ER、300°C ST、3m/min ES、48 h St、250°C ET),能使挤压态合金实现高强度(UTS≥380 MPa)和高延展性(EL≥20%)。
(3)制备的MZAX2000合金在挤压态下呈现异质结构,包含粗晶粒(16%)、细晶粒(75%)和纤维区域(9%),实现了强度与延展性的协同,UTS达395 MPa,EL为17.9%,与预测值接近,表明GB模型可有效指导高性能低合金化镁合金设计。
(4)明确了新合金的强化机制除了晶界强化、第二相强化和位错强化外,HDI强化也对提高UTS有重要贡献。均匀的基面滑移Schmid因子分布、多种滑移系统(包括锥面共同提高了合金的EL。
免责声明:本网站所转载的文字、图片与视频资料版权归原创作者所有,如果涉及侵权,请第一时间联系本网删除。
官方微信
《腐蚀与防护网电子期刊》征订启事
- 投稿联系:编辑部
- 电话:010-62316606
- 邮箱:fsfhzy666@163.com
- 腐蚀与防护网官方QQ群:140808414




















