高熵合金(HEAs)通常是指由五种或更多元素组成的合金体系,其原子浓度集中在 5% 到 35% 之间。与传统合金体系不同的是,HEA 成分更接近相图中心,这为材料开发带来了全新的思路,往往能带来一些有前途的特性。准确预测高熵合金(HEAs)的相稳定性对合金设计和开发具有重要意义。现有成熟热力学方法的预测结果与实际结果存在较大偏差。
为避免这一问题,来自大连理工大学的学者提出了一种新的简化预测方案,该方案建立在结合了 Al、Co、Cr、Cu、Fe、Mn、Mo、Ni、Ti 和 V 十种元素的 130 种 HEA 的实验结果之上。其次,从热力学角度分析了键焓与相互作用参数之间的相关性,建立了一种新的元素间相互作用参数量化技术。然后,提取了具有特定晶体结构的固溶体的混合焓以及金属间化合物的吉布斯自由能。因此,通过对比合金体系在沉淀前后的吉布斯自由能,开发出了预测相稳定性的整体基本方法。该方法考虑了金属间化合物分离后固溶体吉布斯自由能的变化,计算结果更加准确可靠,并能指出 HEAs 中会析出哪种复杂相(Sigma 相或 Laves 相),为预测 HEAs 的相稳定性提供了一种可信度极高的全新方法。相关工作以题为“Prediction of phase stabilities of solid solutions for high entropy alloys”的研究性文章发表在Acta Materialia 。
论文链接:
https://doi.org/10.1016/j.actamat.2023.119445
本研究通过比较单一固溶状态和固溶加金属间化合物状态下 HEA 的吉布斯自由能来建立预测 HEA 相稳定性的模型。这种方法避免了传统方法因忽略过多热力学参数而产生的问题,从而确保了模型中采用的热力学公式的准确性。本研究提供了大量基于密度泛函理论(DFT)的模拟计算,在统一计算标准的基础上获得了更详细、更准确的原子键间焓结果。本研究还努力量化相互作用参数,这些参数是计算固溶体和金属间化合物吉布斯自由能的基础。值得注意的是,HEAs 固溶体相稳定性的预测是基于本文提出的热力学判断标准。DFT 计算工作只是提供了从实验或发表的论文中无法直接获得或难以直接获得的键能数据,具有相对一致的建立热力学模型的条件。这种方法可以有效地给出 HEAs 中沉淀物的类型,是预测固溶体稳定性的一种可靠的新方法。
图 1. (a)、(b) 比较了根据Ab-initio 计算估计的键焓
图 2. (a) ,(b) 显示了金属间化合物 IM(Sigma或 Laves)的计算析出温度 Tc 与固溶体具有 BCC(FCC)晶体结构的 HEA 的微观结构之间的基础关系。横坐标表示评估的 IM 沉淀温度 Tc 黑色方框表示由 BCC(FCC)固溶体或 BCC+B2 (FCC+L12) 显微结构组成的实验结果,紫色方框表示 BCC(FCC)或 BCC+B2 (FCC+L12) 固溶体析出金属间化合物 IM。图中提供了根据破折号点线表示的分类阈值确定的 CCR 值(正确分类率)。
图 3. (a)、(b) 显示了计算得出的西格玛相析出温度与固溶体具有 BCC(FCC)晶体结构的 HEA 的显微结构之间的基础关系、 与固溶体具有 BCC(FCC)晶体结构的 HEA 的微观结构之间的基础关系。横坐标表示评估的西格玛相析出温度Tσ、 黑方块表示 BCC(FCC)固溶体或 BCC+B2 (FCC+L12)微结构组成的实验结果,红方块表示 BCC(FCC)固溶体或 BCC+B2 (FCC+L12)固溶体析出西格玛相。图中提供了根据破折号点线表示的分类阈值确定的CCR 值(正确分类率)。
图 4. (a)、(b) 展示了计算得出的Laves 相析出温度与固溶体具有 BCC(FCC)晶体结构的 HEA 的微观结构之间的基础关系、 T Laves与固溶体具有 BCC(FCC)晶体结构的 HEA 的微观结构之间的基础关系。
图 5. (a)、(b) 显示了计算得出的拉维斯相析出温度 T Laves、钛元素含量 CTi 与固溶体具有 BCC(FCC)晶体结构的 HEA 的微观结构之间的基本关系。与固溶体具有 BCC(FCC)晶体结构的 HEA 的微观结构之间的基础关系。
图 6. 给出了 105 个收集到的文献数据的计算结果,以证明预测的正确性。(a)、(b) 展示了计算得出的金属间化合物 IM(西格玛或拉维斯)析出温度、Tc 与固溶体具有 BCC 或 FCC 晶体结构的 HEA的微观结构之间的基础关系。(c)、(d) 展示了西格玛相的计算析出温度Tσ 与固溶体具有 BCC 或 FCC 晶体结构的 HEA 的微观结构之间的基础关系。(e)、(f) 展示了计算得出的Laves 相析出温度 T Laves 与固溶体具有 BCC 或 FCC 晶体结构的 HEA的微观结构之间的基础关系。(g)、(h) 展示了计算得出的拉维斯相析出温度 T Laves、Ti 元素含量 CTi 与 HEA 的微观结构之间的基础关系。与固溶体具有 BCC 或 FCC 晶体结构的 HEA的微观结构之间的基础关系。
图 7. BCC + Laves 表示合金由 BCC 固溶体和Laves 相组成;FCC 表示合金由 FCC 固溶体组成;FCC + Sigma 表示合金由 FCC 固溶体和 Sigma 相组成。FCC + Laves 表示合金由 FCC 固溶体和 Laves 相组成)。根据虚线点划出的分类阈值确定了 CCR 值(正确分类率)。
图 8. 显示了设计数据库和验证数据库中的参数, BCC 表示合金由 BCC 固溶体组成;BCC + Sigma 表示合金由 BCC 固溶体和 Sigma 相组成。BCC + Laves 表示合金由 BCC 固溶体和 Laves 相组成;FCC表示合金由 FCC 固溶体组成;FCC + Sigma 表示合金由 FCC 固溶体和 Sigma 相组成。FCC + Laves 表示合金由 FCC 固溶体和 Laves 相组成)。根据虚线点划出的分类阈值确定了 CCR 值。
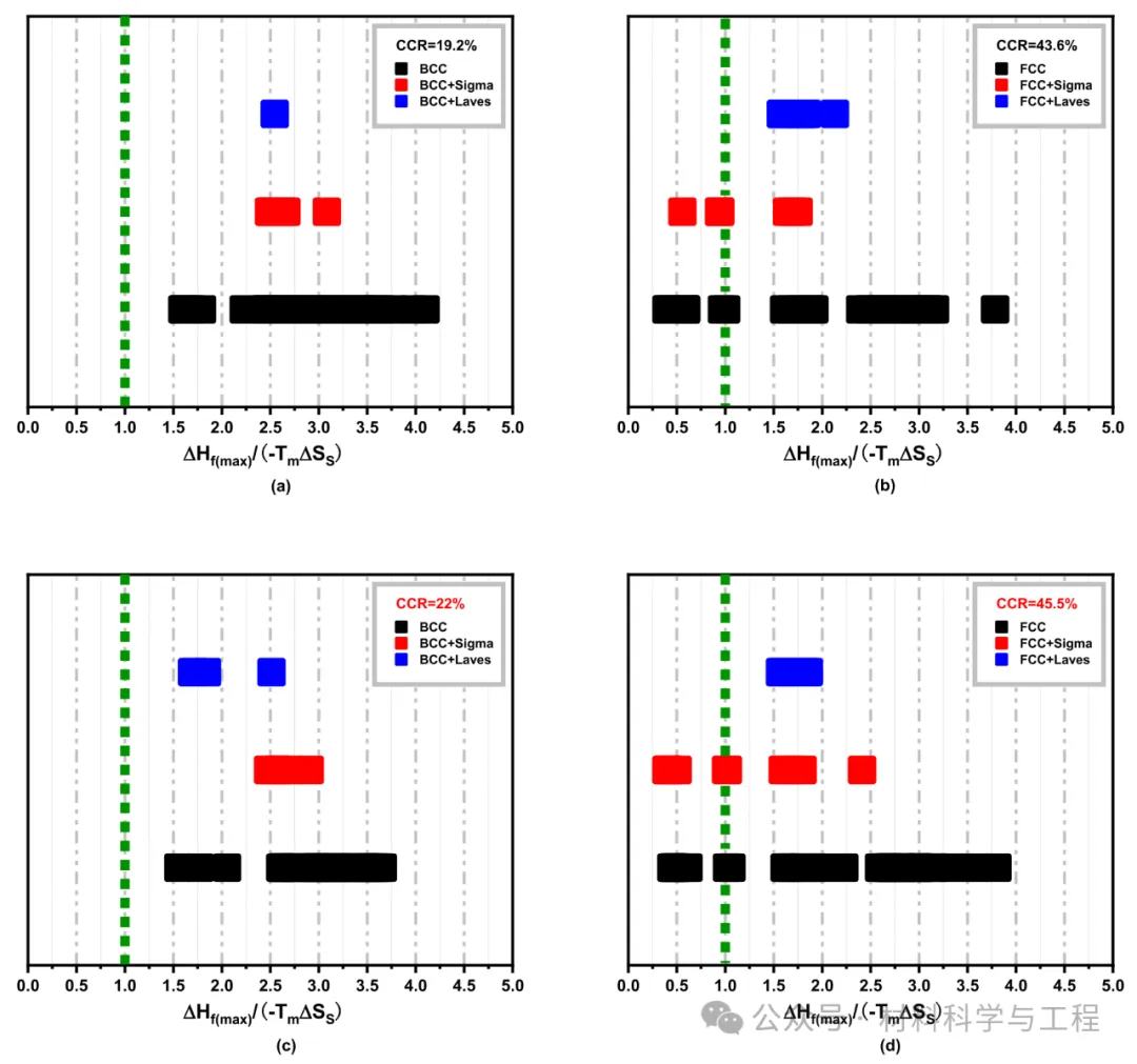
图 9.西格玛或拉维斯相的计算沉淀温度之间的基础关系以及金属间化合物的形成焓与固溶体的吉布斯自由能之比
图 10. 显示了根据米德玛模型计算出的西格玛相或拉维斯相的沉淀温度 Tσ 或 T Laves,与固溶体具有 BCC 或 FCC 晶体结构的 HEA的微观结构之间的基础关系。
基于对原子对在凝聚固溶体(BCC或 FCC)中的键焓进行量化的 Ab-initio 计算,结合键焓与相互作用参数之间的相关性,建立了评估固溶体混合焓的既定方法,进而为固溶体的吉布斯自由能开发了一种更准确的整体量化方法,为正确估算 HEA 的热力学参数提供了一种简化方法。在充分考虑沉淀后吉布斯自由能变化的基础上,将沉淀温度作为预测相稳定性的基本参数。对 130 种 HEA 的稳定性进行了理论评估和预测,并计算了 105 种 HEA,验证了该方法的有效性,表明沉淀温度越高,固溶体稳定性越低,反之亦然。这种新的预测框架不仅保留了 Ab-initio 计算的优点,还避免了计算量过大的问题。相反,这种方法考虑了金属间化合物析出后固溶体吉布斯自由能的变化,从而使计算结果更加精确。同时,它还能给出 HEA 中析出的复杂相的种类,为预测 HEA 的稳定性提供了一种可靠的新方法。
免责声明:本网站所转载的文字、图片与视频资料版权归原创作者所有,如果涉及侵权,请第一时间联系本网删除。
官方微信
《腐蚀与防护网电子期刊》征订启事
- 投稿联系:编辑部
- 电话:010-62316606
- 邮箱:fsfhzy666@163.com
- 腐蚀与防护网官方QQ群:140808414














