在最新一期的Journal of Applied Mechanics(2023年12月),以“A Cavity-Based Micromechanical Model for the Shear-Band Failure in Metallic Glasses under Arbitrary Stress States”为题发表了美国田纳西大学高雁飞教授在金属玻璃失效领域的最新进展。
当前基本上所有的非晶合金的破坏准则都是基于应力来建立的,比如借鉴于岩土力学里的Mohur-Coulomb模型等等。这种思路有几个很大的问题。其一,非晶合金的破坏通常来源于剪切带的形成,以及后续在这些位置的损伤萌生及演化过程。其二,不能简单地“借鉴”Mohr-Coulomb模型,因为该模型其实是建立在诸多shear faults (i.e., crack under combined compression and shear)的一个平均响应,也即homogenization approach。其三,我们认识和理解的破坏微观过程是无法加到这样基于应力的准则的。其四,这些应力准则有时被用在判断剪切带产生的方向,有时被用在判断断裂倾角;这二者不是同样的微观过程。我们对这几点举一个例子说明如下。在单轴试验情况下,剪切带在拉伸状态下相对于加载轴成约54°,而在压缩状态下剪切带相对于加载轴成43°。许多工作试图使这种拉-压不对成性合理化,其中最流行的是Mohr-Coulomb分析。直接借用岩土力学中的形式,如下式:
公式(1)被盲目地用于关于金属玻璃的剪切带或者断裂夹角分析,而不能解释实际上拉压不对称的起源。
本文认为剪切带的形成是由本构关系带来的失稳引起的,其中最常见的原因包括应变软化、non-associative flow、热软化等等。失稳对应于多个解,也就是说由于激励与响应之间缺乏一一对应关系,因此存在多种变形路径,出现了从均匀弹塑性变形到应变局部化的不连续。在剪切带内部,材料发生严重的塑性变形,而在剪切带外部则弹性卸载。使用Mohr-Coulomb equation 来解释剪切带倾角是个错误的理解,详细解释参见作者与其同事贝红斌教授及聂台岗教授的工作(http://dx.doi.org/10.1016/j.actamat.2011.03.039)。这是拉压不对称的可能原因之一。
本文进一步认为,剪切带内部的free volume saturation直接导致微小孔洞的自主萌生(参见W.D. Nix的一系列工作),且孔洞的生长及演化过程在拉应力或剪切/压缩主导应力状态下非常地不同。如图1a所示,由于周围材料的蠕变流动或沿剪切带的自扩散过程,这些孔洞可能会生长(图1c)或者抻平然后扭转(图1b)。这里有三种孔洞演化过程:
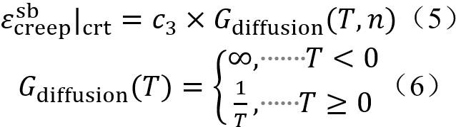
A. Creep-constrained cavity growth under tension (T>0)
这种情况下对应于拉应力主导,孔洞的生长率可以表示为
其中,是静水分量和等效剪应力的比值,其代表着三向应力状态,是无量纲函数,依赖于蠕变应力幂值。这个可以通过大量有限元计算来得出拟合公式。对此方程进行积分可以得到剪切带的破坏应变,如下所示,
这个结果对应于图2的实线部分。
B. Creep-constrained cavity growth under compression/shear-dominated state (T<0)
在纯剪(T=0)或剪切/压缩(T<0)应力状态下,孔洞首先被拉平,然后两端旋转,接下来要么临近孔洞协调生长,要么旋转大变形。两者都直接导致整个受力系统失稳,其直接对应宏观断裂。这个过程需要繁琐的有限元模拟,但是类似公式2和3的量纲分析依然成立,所以我们只需得到下面的无量纲公式即可:
其中对应的拟合公式见图2的虚线部分。对比公式2和3,我们发现压剪状态下,临界破坏应变要打的多,原因是由于孔洞演化过程不一样。这是拉压不对称的可能原因之二。即金属玻璃在拉伸时表现出很小的延展性,在压缩时表现出中等的延展性,而剪切带角度与应力状态的依赖性非常弱。
图1(a)剪切带平面上的孔洞分布可以通过周围材料的蠕变变形或通过沿剪切面的自扩散过程而增长。(b)在纯剪切中,剪切带内的任何形状的孔洞都将依次演化为:变平为微裂纹,旋转并伸长,然后与相邻的微裂纹相互作用,最终导致破坏。有限元模拟孔洞演化过程和屈瑞涛教授的实验观察(https://doi.org/10.1016/j.scriptamat.2017.02.018)极其吻合。(c)在拉应力下,这些孔洞将被拉长并增加其体积。
图 2 修正的Sham-Needleman 模型(拉应力为主)和Tvergaard-Nielsen 模型(剪应力为主)预测的破坏临界剪切应变与应力三轴性的关系。孔洞演变示意图见插图。
C. Diffusive cavity growth under tension
在剪切带内的应变速率比剪切带外要高出数个量级,并且剪切带内部的温度通常很高,所以剪切带表现得近乎为液体。在多晶材料的高温失效中,晶界扩散过程可能是孔洞生长的原因。如图1a所示,施加的拉应力会导致化学势梯度,从而驱动界面扩散,进而扩大孔洞体积。在非晶中,这个过程同样存在。一个相关的证据是对剪切带扩散速率和黏度的测量所表明的那样,这些测量结果满足Stokes-Einstein关系。换句话说,剪切带里面的蠕变就是自扩散。所以,在拉应力主导的应力状态下,孔洞受自扩散控制的生长导致了如下公式
当孔洞很小时,自扩散过程和周围蠕变共同作用可能会导致其生长速度很快,所以产生的固有延展性非常小。对于剪切/压缩为主的加载条件(T<0),上面所述机制并不适用。事实上,压缩正应力会导致扩散,然后引起孔洞闭合。也就是说机制A要加上机制C,但是机制B要减去机制C,这样进一步导致剪压应力状态下临近应变的增加。这是拉压不对称的可能原因之三。
总而言之,该文对非晶合金的破坏提出了不同于先前几乎所有模型的不同观点。作者亦表明其观点肯定有争议,但至少给出了不同的视角,并欢迎大家指正。文章作者为田纳西大学材料科学及工程系教授,研究方向为固体力学、先进结构材料的变形和破坏机制、固态增材制造。 See https://gao.utk.edu for more information.
免责声明:本网站所转载的文字、图片与视频资料版权归原创作者所有,如果涉及侵权,请第一时间联系本网删除。
官方微信
《腐蚀与防护网电子期刊》征订启事
- 投稿联系:编辑部
- 电话:010-62316606
- 邮箱:fsfhzy666@163.com
- 腐蚀与防护网官方QQ群:140808414










