导读:纳米晶金属因其高强度、优异的耐磨性和优越的辐射特性而备受关注。然而,晶粒在高温下的粗化会导致显著的性能退化,削弱其在高温下应用中的潜力。在此,本文报道了不混溶的铜、银、铁晶粒在稳定晶粒结构和调整织构发展方面的独特相互作用。合金在600℃和700℃退火后经历了剧烈的晶粒粗化。相比之下,Cu-Ag-Fe纳米复合材料在退火后表现出更小的晶粒尺寸。有趣的是,虽然合金表现出随机的纳米晶体取向,但形成了高织构的Cu-Ag-Fe纳米复合材料。此外,Fe的组成主要改变了纳米复合材料的结构,从中的(111)Ag(Cu)和(110)Fe,到中的显著的(110)Ag(Cu)和(100)Fe。讨论了纹理形成和演化背后的基本机制。本研究为织构可调的稳定纳米复合材料的设计提供了一个新的视角。
纳米结构金属因其高强度、优异的辐射耐受性和耐磨性而引起了广泛的研究兴趣。然而,纳米结构金属因高温下界面多余自由能最小化导致其微观结构不稳定,在高温下的应用在很大程度上受到阻碍。热稳定性差表现为高温性能的退化,如晶粒粗化导致的快速软化。从动力学和热力学角度提出了各种晶粒稳定策略。已有研究表明,第二相粒子的加入可诱发齐纳钉住效应,减缓晶粒生长。同时,溶质可以通过晶界偏析来拖动界面运动或降低晶界能。
除了稳定纳米晶金属材料的微观结构外,裁剪纹理从而获得所需的电磁性能也引起了广泛的研究兴趣。已知织构对材料的弹性、力学性能及热膨胀性能有显著影响。多晶金属薄膜的织构形成与沉积过程中的晶粒结构演化密切相关。多晶薄膜可能具有较强的面外纹理。薄膜生长通常是通过孤立岛的成核以及随后的岛的聚结和粗化进行的。这些过程强烈地影响了沉积薄膜的晶粒尺寸和晶粒取向。例如,先前的研究表明,核与衬底之间的界面能最小的取向,其成核速率更高。然而,由于其他因素如表面能、应变能和各向异性生长速度将随着薄膜增厚而起作用,初始能量最小化取向可能不会持续。同时还发现,岛状聚结和晶粒生长通常决定最终的织构。在合并和粗化过程中,岛屿大小和表面/界面能产生的能量差将驱动岛屿边界运动,从而一个岛屿的增长以牺牲其他岛屿为代价。该过程具有取向选择性,晶粒取向分布明显。
在此,美国普渡大学材料工程学院张兴航教授团队研究了织构形成和演化背后的基本机制。报道了与CuAg二元合金相比,Cu-Ag-Fe三相不混溶纳米复合材料(TPINs)的热稳定性增强。Cu-Ag-Fe中细晶粒的稳定源于动力学势垒的引入和低能态界面的优先形成。同时,沿Ag/Fe和Cu/ Fe界面观察到曲率依赖的取向关系。改变铁含量引起的织构演化是通过表面能和应变能的竞争而发生的。为不混溶纳米复合材料中利用相边界和三结稳定纳米颗粒提供了一种可行的方法。相关研究成果以题“Texture development in Cu-Ag-Fe triphase immiscible nanocomposites with superior thermal stability”发表在金属顶刊Acta Materialia上。
链接:https://www.sciencedirect.com/science/article/abs/pii/S1359645422009223
图1(a-c)在二氧化硅衬底上沉积和退火的合金的x射线衍射图样。(a)宽驼峰在36-44出现在沉积与随机多晶结构在在400C和600C. (b)退火(CAF10)400C和600C导致突出的Cu/Ag(111)纹理,和Fe(110)纹理。通过(c)对(CAF34)的退火,引入了明显的Cu/Ag(110)纹理和Fe(100)纹理。(d-e)Ag和Cu的(220)和(111)衍射峰的相对强度比随退火温度的变化。(f)在不同温度下退火的铁的(200)和(110)峰的相对强度比。
图2(a)-沉积的合金的TEM显微图和相应的SAD模式。(b)测向透射电镜图像显示了合金的晶粒结构。用于获取DF图像的衍射光束用红色虚线圆圈标记。(c) EDS图,描述了元素的分布。(d)的统计研究显示,平均晶粒尺寸为15 nm。(e-f)BF和相应的DF TEM显微图显示了作为沉积的CAF10合金的显微结构。(g)显示Cu、Ag、Fe均匀分布的EDS图。(h)统计晶粒尺寸分布显示CAF 10合金的平均晶粒尺寸为18 nm。(i)插入SAD图案的沉积CAF34合金的透射电镜显微图。(j)相应的测向透射电镜显微图。(k) EDS图显示在沉积的CAF34合金中没有元素偏析。(l)统计研究表明,作为沉积的CAF34合金的平均晶粒尺寸为31 nm。
图3合金在600℃退火的(a)平面图(PV)显微结构显示了在晶界(GBs)处有核的大量退火孪晶(GBs)的多晶结构。(b-c)HAADF STEM显微图和相应的EDS图,显示了Cu和Ag的相分离。(d) GB特征映射叠加在虚拟暗场(VDF)图像上,表示GB特征。15-65的高角度GBs(HAGBs)为黑色,5-15的GBs为红色,3-5的GBs为白色,Σ3孪生边界(TBs)为黄色。(e)逆极点图(IPF)显示了退火后的随机方向。
图4在600℃. (a) PV TEM图像下退火的CAF10合金的显微结构和插入的选择区域衍射(SAD)模式显示了多晶的性质。(b-c)HAADF STEM显微图和相应的EDS图,显示了Cu(红色)、Ag(蓝色)和Fe(绿色)的元素分布。插图显示了球形铁颗粒在铜和银颗粒的四个交点处的成核。(d) GB地图叠加在VDF图像上。(e) IPF显示出明显的Cu/Ag(111)纹理和Fe(110)纹理。
图5(a-b)退火后的Cu45Ag45Fe10合金的EDS图和相应的PV TEM显微图。橙色的虚线框勾勒出了一个具有代表性的Ag/Fe界面。(c)Ag/Fe边界的高分辨率TEM(HRTEM)显微图显示平行(200)Fe和(202)Ag之间有3的倾斜角。(d)对应的快速傅里叶变换(FFT)。
图6在600℃ (a) PV TEM图像下退火的CAF34合金的显微结构和插入的SAD图案显示了多晶结构。(b-c)HAADF STEM显微图和相应的EDS图,显示了Cu、Ag和Fe的相分离。黄色虚线框放大了Cu、Ag、铁颗粒形成三相三结的典型区域。(d) GB特征图叠加在VDF图像上。(e) IPF显示出明显的Cu/Ag(110)纹理和明显的Fe(100)纹理。
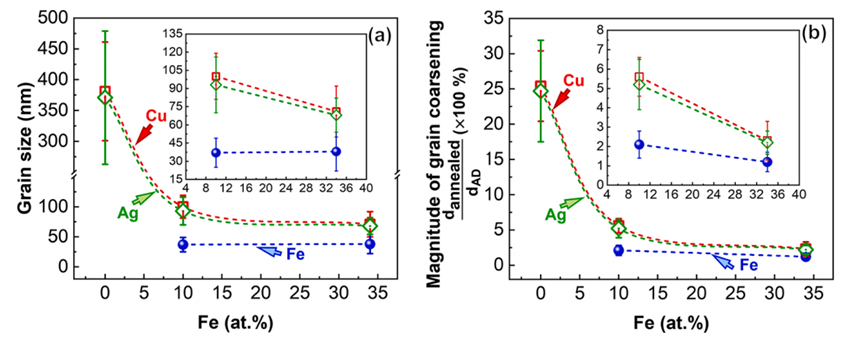
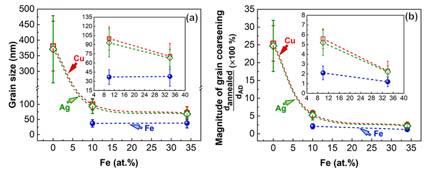
图7(a)在600℃下退火的、CAF10和CAF34合金的平均粒径作为Fe组成的函数。(b)不同铁浓度下合金晶粒粗化比例的比较。
图8(a-b)600℃退火合金中的{111}和极图(PFs)呈随机极分布。(c-d){111}和{110} PFs和(f) {110}和{100} PFs,表明其具有强烈的{111}Cu、Ag//{110}Fe纤维结构。(f-g){111}和{110} PFs以及(h) {110}和Fe的Cu、Ag//{100}Fe纤维结构明显。
图9(a-b)在600c下退火的CAF34合金的EDS图和相应的PV TEM显微图。红色虚线框勾画了一个具有代表性的Cu-Ag-Fe三相三结。铜银铁三结的(c) HRTEM显微图。Fe沿[001]区轴定向,而Cu和Ag沿[110]区轴进行检测,如图所示。其取向关系分别为:(110)Fe//(111)Cu)、(110)Fe//(111)Ag。Cu与Ag的错取向角约为20(d)Cu/Fe界面放大HRTEM显微图表明[100]Fe与[110]Cu平行。(e)放大的Ag/Fe边界显示平行的[100]Fe和[110] Ag孪晶。插图取自图6b中蓝色虚线框勾画出的区域,揭示了孪生区域的原子排列。
总的来说:在本研究中,研究了不混溶的铜、银、铁颗粒在稳定晶粒结构和调整纹理发展方面的独特相互作用。合金在高温退火后发生了剧烈的晶粒粗化。相比之下,CAF TPINS表现出显著的粒度稳定性。此外,虽然退火后的合金显示出相对随机的多晶结构,但退火后的CAF TPINS表现出质地强烈的纳米颗粒。Fe引入了一个剧烈的纹理转变,从CAF10中显著的(111)结构和(110)结构共存到CAF34中显著的(110)Ag(Cu)和(100)结构。透射电镜研究表明,界面曲率与Ag/Fe和Cu/Fe界面的取向关系有很强的相关性。这种独特的织构演化起源于界面能与应变能之间的竞争。本研究为纹理可调的稳定纳米复合材料的设计提供了一个新的视角。
免责声明:本网站所转载的文字、图片与视频资料版权归原创作者所有,如果涉及侵权,请第一时间联系本网删除。
官方微信
《腐蚀与防护网电子期刊》征订启事
- 投稿联系:编辑部
- 电话:010-62316606-806
- 邮箱:fsfhzy666@163.com
- 腐蚀与防护网官方QQ群:140808414













