受高熵合金(HEA)启发,近年来新型高熵陶瓷引起了广泛关注,包括高熵碳化物(HEC)、高熵氧化物(HEO)、高熵氮化物(HEN)等。相比传统陶瓷,高熵陶瓷表现出更好的力学性能、抗氧化性能、抗蠕变性能等。最新的初步研究发现,与HEC和HEN相比,高熵碳氮化物(HECN)展现出更好的力学性能和耐烧蚀性,以及更低的热导率。目前为止,关于HECN的研究仍只停留在等比例碳氮化物上。
近日,英国伦敦玛丽女王大学(QMUL)和斯洛伐克科学院(SAS)合作,开发了一系列新型碳氮化物 (Hf-Ta-Zr-Nb)CxN1-x(x=1, 0.9, 0.8, 0.7, 0.6, 0.5)。首次报道了碳氮比对HECN的微观结构和力学性能的影响,讨论了价电子浓度(VEC)对其力学性能的影响。相关内容以 “Synthesis, microstructure, and mechanical properties of novel high entropy carbonitrides” 为题发表在Acta Materialia上,第一作者为QMUL博士研究生王依晨(Yichen Wang),通讯作者为英国皇家学会工业院士、欧洲陶瓷学会院士Michael J. Reece教授。
论文链接: https://doi.org/10.1016/j.actamat.2022.117887
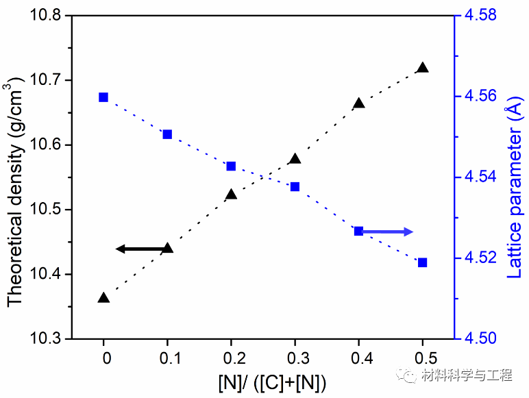
该研究以一元碳化物和一元氮化物为初始材料,通过球磨和等离子放电烧结工艺,研制了一系列新型HECxN1-x陶瓷,相对密度为98.1~99.1%。从图1所示XRD光谱可知,烧结形成了具有岩盐型结构的单相碳化物和碳氮化物固溶体。随着固溶体中氮含量的增加,XRD峰向高角度移动,表明晶格参数减少。在HECxN1-x陶瓷中,因为碳原子部分被半径较小且原子量较大的氮原子取代,所以随着氮含量增加,晶格参数逐渐降低,理论密度逐渐增大,呈现良好的近似线性关系(图2)。
图1 HECxN1-x的XRD图谱。
图2 HECxN1-x的晶格参数和理论密度。
从图3所示HECxN1-x的XPS图谱可知,在N1s区域检测到了氮-金属(N-M)峰,其相对强度随着氮含量的增加而增大。此外,所有金属峰的双峰位置和双峰间距没有明显的变化,但双峰之间的重叠随氮含量的增加而增大,表现为其半峰宽增大(图4)。这表明HECN中各化学键的结合能范围更大,化学键处于更复杂的化学环境中。
图3 HECxN1-x的XPS光谱:(a) HEC, (b) HEC9N1, (c) HEC8N2, (d) HEC7N3, (e) HEC6N4, 和 (f) HEC5N5.
图4 HECxN1-x的XPS峰的半峰宽随氮含量的变化趋势
在一系列HECxN1-x陶瓷中,HEC的硬度(39.7±1.3GPa)和压痕模量(615±11GPa)值最高。HECxN1-x的硬度和压痕模量随着固溶体中氮含量的增加而逐渐下降。HEC5N5的硬度为35.0±2.0 GPa,压痕模量为539±20 GPa,下降约12%。在VEC值为8.5~9.0范围内,HECxN1-x的硬度和模量变化与VEC值呈现良好的线性关系,即随着VEC值增大,硬度和模量均呈现出下降趋势,表明HECN的电子结构变化是影响其力学性能的重要因素。研究发现与传统一元碳化物和一元氮化物相比,HECxN1-x陶瓷具有更高的硬度,相当高或更高的压痕模量。与一元碳化物和氮化物的平均值(RoM值)相比,HECxN1-x的硬度增加30~37%,压痕模量增加7~11%。固溶强化有助于提高HECN的硬度,但不能完全解释这种高熵陶瓷力学性能的显著增强。高熵陶瓷作为多元素系统,其中单个元素和固溶体整体的电子结构和化学键特性对其力学性能具有复杂的协同作用,值得进一步探讨。
图5 HECxN1-x的(a)硬度和(b)压痕模量(实心)随氮含量和VEC值的变化趋势,以及与一元碳化物和氮化物的平均值(RoM值,空心)对比。
综上,该研究开发了一系列新型高熵碳氮化物(Hf-Ta-Zr-Nb)CxN1-x(x=1, 0.9, 0.8, 0.7, 0.6, 0.5)。研究结果表明,随着固溶体中氮含量增加,HECN的晶格参数逐渐降低,理论密度逐渐增大,硬度和压痕模量下降约12%。与一元碳化物和氮化物的平均值相比,HECxN1-x的力学性能显著提高,其硬度提高了30~37%,压痕模量提高了7~11%。该研究探讨了HECN的电子结构和化学键特性与其力学性能之间的关系,对进一步探索高熵陶瓷的力学性能强化机理具有指导意义。
免责声明:本网站所转载的文字、图片与视频资料版权归原创作者所有,如果涉及侵权,请第一时间联系本网删除。
官方微信
《腐蚀与防护网电子期刊》征订启事
- 投稿联系:编辑部
- 电话:010-62316606-806
- 邮箱:fsfhzy666@163.com
- 腐蚀与防护网官方QQ群:140808414









