金属增材制造(AM)根据三维(3D)数字模型,以逐轨和逐层的方式制造零件。这使得能够直接快速地生产具有极其复杂形状的部件,这对于传统的制造方法来说非常困难。然而,成功制造具有理想机械性能的零件一直是各种AM技术的挑战,因为许多因素都会影响晶粒结构的演变。另一方面,这也意味着在通过AM制造零件时控制晶粒结构的巨大潜力。例如,电子束-粉末床聚变(EB-PBF)已经使用适当的加工策略,成功生产了镍基高温合金的单晶棒。通过改变加工参数,可实现现场特定晶粒结构控制。
由于增材制造的性质,颗粒更喜欢沿着建筑方向外延生长,并成为柱状颗粒甚至单晶,这对于制造用于飞机发动机的涡轮叶片是优选的,而对于许多其他部件则不受欢迎。因此,操纵晶粒结构的演变对于AM技术的广泛应用至关重要。根据相互依存理论,现有晶粒前面的过冷在成核和生长中起着关键作用,从而诱导等轴晶粒结构的形成。利用这一理论,Liu等人,Prasad等人和Bermingham等人研究了温度梯度和凝固速度对AM中柱状到等轴跃迁(CET)的影响,给出了将晶粒结构、温度梯度、凝固速度和AM技术联系起来的图谱,表明较低的温度梯度和较高的凝固速度将促进等轴晶粒结构的形成。
晶粒生长和熔池中新晶粒的形成在很大程度上决定了AM中晶粒结构的演变。实验观察和数值模拟表明,由于温度梯度相对较低,凝固速度较高,等轴晶粒结构在熔池顶部区域形成的可能性更高。但是,在沉积下一层时,顶部区域将被重新熔化。该区域的新晶粒不能促进等轴晶粒结构的出现。相反,熔池边界处也出现成核,在建成部分成为有效晶粒的可能性更大,从而导致等轴晶粒结构。
反冲压力和马兰戈尼效应驱动熔池流,这可能会影响熔池中的枝晶/晶粒生长。Wang等人模拟了AlSi10Mg在不同外部磁场下的单轨熔化过程,发现增强磁场会改变熔池中的流动模式。与此同时,杜等人揭示了AlSi10Mg建成部分的等轴晶粒的比例随着磁场的增强而增加。他们的研究表明,流体流动对新晶粒的形成可能产生的影响。通过数值建模和实验,赵等人提出流体流动会增加凝固前沿成核的可能性,同时抑制柱状晶粒的外延生长。枝晶是谷物的子结构。流体流动对铸件枝晶生长的影响,通常温度梯度和凝固速度较小,通过实验和数值建模进行了研究。流体流动引起的溶质传递可能导致枝晶熔化、枝晶碎裂和树突形状改变。 枝晶断裂会促进铸件中的成核。对流会改变枝晶之前的溶质分布,从而影响过冷和成核的可能性。
然而,由于缺乏直接观察极快 凝固过程的 实验方法,在 AM 条件体流动对枝晶生长和新晶粒形成的影响几乎没有投入。清华大学科研人员通过数值建模和实验,研究流体流动对AM中枝晶生长和新晶粒形成的影响。首先,通过结合计算流体动力学(CFD)模型,使枝晶生长和流体流动双向耦合,改进了多网格枝晶生长模型。之后,在Inconel 718板上进行使用电子束和激光的单轨实验。在这些实验中,为了达到熔池中的各种凝固条件和流动强度,可以改变预热温度和扫描速度。同时,采用高保真热流体流动模型对熔池流动进行模拟,得到温度和流场。然后分两步执行数值建模调查。第一步,为了揭示流体流动对枝晶生长和新晶粒形成的影响,我们使用双向耦合模型模拟了不同凝固条件下预定义流体流动中不同方向的枝晶的生长。同时,流体流动的影响得到了进一步的证明。本文以题“Impact of fluid flow on the dendrite growth and the formation of new grains in additive manufacturing”发表在Additive Manufacturing上。
链接:https://www.sciencedirect.com/science/article/pii/S2214860422002317#fig14
图 1.(a) 多栅格树突生长模型示意图。(b) 偏心八面体增长算法的示意图。(为了解释此图例中对颜色的引用,请参阅本文的Web版本。
图 2.(a)–(d) 通过热流体流动模型模拟熔池的XZ横截面。(f)–(i)YZ横截面在实验中具有彩虹状曲线,这是从模拟结果中提取的熔池边界。
图 3.(a)–(d) 熔池底部(曲面)温度梯度的分布。
图 4.(a1)–(d1)熔池底部(曲面)流速的分布。(a2)–(d2) 熔池处的流场。
图 5.模拟的枝晶结构。为了便于比较,所有高度轮廓都使用相同的颜色条。
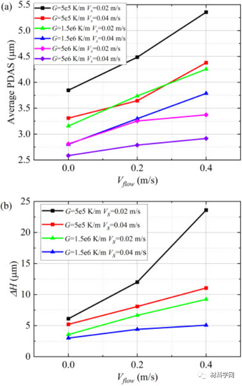
图 6.(a) 模拟枝晶结构的平均PDAS。(b) 不同凝固条件下的高度差-流速关系。当枝晶生长达到稳定状态时,测量平均PDAS和高度差。
图 7.(a)–(c) 模拟域中间XZ横截面中Nb分布的比较。(d)(e)模拟域中间YZ横截面中Nb浓度的比较。温度梯度为 K/m,凝固速度为0.02 m/s。灰色区域是枝晶。
结论:本文建立了一种结合流体流动的枝晶生长模型,研究了 AM 条件体流动对枝晶生长和新晶粒形成的影响 。利用双向耦合模型,模拟了 AM 中不同温度梯度和凝固速度动液态金属中不同取向的枝晶的生长 .仿真结果表明,AM中枝晶的生长和新晶粒的形成受到流体流动和凝固条件的影响显著,并且与铸造中的影响相似。之后,利用从热流体流动建模结果中提取的温度场和流场数据,进行熔池规模的枝晶生长模拟。仿真结果很好地解释了单轨电子束熔化实验中晶粒结构的形成机理,进一步证明了流体流动对AM中枝晶生长和新晶粒形成的重要影响。
研究流体流动对枝晶生长的影响以及熔池边界潜在新晶粒的形成,是对依赖于温度梯度和凝固速度的流行成核理论的有力补充,为晶粒结构的操纵提供指导。
免责声明:本网站所转载的文字、图片与视频资料版权归原创作者所有,如果涉及侵权,请第一时间联系本网删除。
相关文章
官方微信
《腐蚀与防护网电子期刊》征订启事
- 投稿联系:编辑部
- 电话:010-62316606-806
- 邮箱:fsfhzy666@163.com
- 腐蚀与防护网官方QQ群:140808414
点击排行
PPT新闻
“海洋金属”——钛合金在舰船的
点击数:8148
腐蚀与“海上丝绸之路”
点击数:6486











