导读:近等原子单相孪晶诱导塑性(TWIP) 高熵合金 (HEA) 表现出强度和延展性的良好结合,但其适度的屈服强度需要进一步提高。本文提出了一种策略,利用层错能的温度依赖性,在保持令人满意的延展性的同时显着提高它们的强度。低温预变形引起的位错、马氏体、纳米孪晶和堆垛层错提高了代表性 TWIP HEA 的室温强度。拉伸性能通过随后的退火进一步调整以获得部分恢复或再结晶的微观结构。HEA 的室温拉伸屈服强度从 275 MPa 增加到 1012 MPa,同时保持 21.9% 的伸长率。这项研究提出了通过调整子结构来制造高级 HEA 的可能性。
传统合金,如钢、铝合金和镁合金,通常使用含有少量其他元素的主体金属来设计,以优化它们的机械性能。相比之下,最近开发的高熵合金 (HEA) 包含多种主要金属元素。CoCrFeMnNi 和 CoCrFeNi HEAs 的 SFE在室温下测量为 27–30 mJ/m 2,其中机械孪晶在塑性变形过程中发生在 HEA 中,并且随着 SFE 的进一步降低,孪晶变得更优选。此外,当 SFE 变得极低时,会发生FCC → 六方密排 (HCP) 应变诱导马氏体转变(SIMT)。
日本东北大学材料研究所成功地通过预低温变形来调节FCC 单相TWIP HEA的室温拉伸性能,以引入缺陷并随后在高温(773-973 K)下退火以进一步调整微观结构。Co 35 Cr 25 Fe 20 Ni 20合金是在高纯氩气气氛中通过高频感应熔炼和铸造生产的。铸态钢锭在 1473 K 下均质化 12 小时,然后水淬至 298 K。然后,在 1473 K 下轧制至 50% 的厚度压下率,并在 298 下冷轧至 40% 的厚度压下率K. 随后,板材在 1173 K 下退火 30 分钟,其中晶粒静态再结晶,如图1a 所示。平均晶粒尺寸为 21.7 μm(表示为),没有观察到明显的纹理。然后,将退火板冷却至 77 K 并冷冻轧制至厚度减少 10%、20% 和 30%,以下分别表示为 10% CR、20% CR 和 30% CR 样品。对于 CR,样品夹在两块钢板之间并浸入液氮中5分钟,然后立即滚动。这有助于降低温升。每道次将样品轧制约 5% 的厚度。
FCC → HCP 应变诱导在低温下发生转变,这在室温环境温度下尚未观察到。此外,HCP→FCC热活化在高温下发生转变。这些结果表明 HEA 的相稳定性、SFE和可塑性行为与温度有关。低温变形引起的位错和随后的部分再结晶有助于提高屈服强度,这是定量估计的。此外,HCP 马氏体、孪晶和堆垛层错也对强度有贡献。通过热处理可以进一步调整强化效果。屈服强度从 275 MPa(轧制前)增加到 1012 MPa(20%)和 1189 MPa(30%),同时保持 12.5 和 21.9% 的伸长率。在 873 K 退火 1 h 后,屈服强度和伸长率分别为 826.9 MPa 和 42.6%。本研究通过调节低温预变形引起的缺陷,揭示了一种有效的高性能单相 HEA 制造方法。相关研究成果以题“Regulation of strength and ductility of single-phase twinning-induced plasticity high-entropy alloys”发表在国际著名期刊Scripta Materialia上。
链接:https://www.sciencedirect.com/science/article/pii/S1359646222002354#fig0001
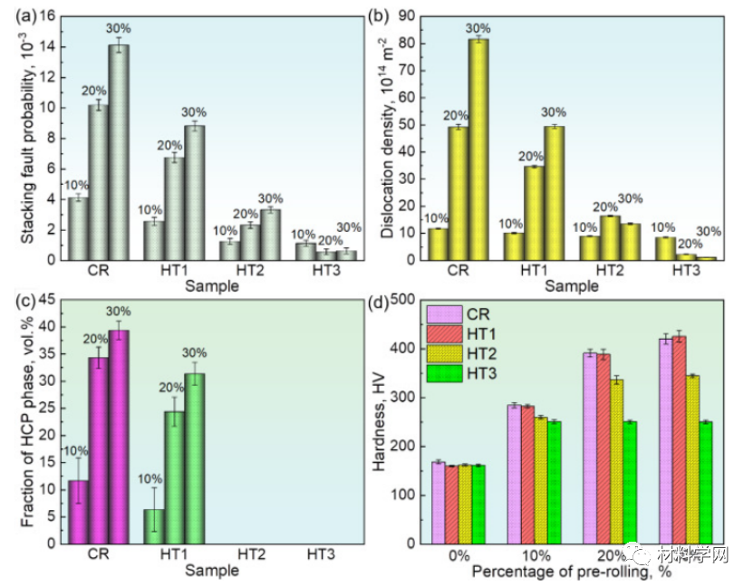
图1c 显示了CR 前、CR 后(10%、20%、30%)和 HT 后(HT1、HT2、HT3)样品的ND曲线,表明了沿轧制方向的显微组织。HEA的晶格参数为3.5637 ?。样品在 CR 之前为 FCC 单相,但在 CR 之后形成了 HCP 相,表明发生了 FCC → HCP SIMT。然而,在室温下变形过程中不会发生 SIMT。图2c 显示了 HCP 相的体积分数(vol.%),在 30% CR 样品中达到了 39.3 vol.% 的值,但在 773 K 退火 1 h 后降至 31.3%。在 HT1 样品中,HCP 相部分转化为 FCC 相。然而,在HT2和HT3样品中没有检测到HCP相,表明HCP→FCC转化完成。图 2 d 显示了维氏硬度。 CR前试样的硬度为162 HV,CR后分别增加到284.9 HV(10%)、390.5 HV(20%)和420.7 HV(30%)。
图 1。(a) EBSD反极图 (IPF) 图显示了CR 之前Co 35 Cr 25 Fe 20 Ni 20 HEA的晶粒形态。(b) ND测量的说明。(c) CR 之前、CR 之后和 HT 之后样品的 ND 曲线。CR的应变分别为10%、20%和30%。HT 温度为 773 K (HT1)、873 K (HT2) 和 973 K (HT3)。
图 2。(a)堆垛层错概率 (P SF ),(b) 位错密度,(c) HCP 相的体积分数,和 (d) Co 35 Cr 25 Fe 20 Ni 20 HEA在 CR 之后的维氏硬度,以及随后的 HT 773 K 1 小时 (HT1)、873 K 1 小时 (HT2) 和 973 K 1 小时 (HT3)。
图 3a显示了10% CR 样品(图 3a)、10% CR + HT2 样品(图3b)和 10% CR + HT3 样品(图 3 c)。在图 3a中观察到高密度的非常薄的 HCP-马氏体。HCP 阶段遵循与 FCC 矩阵的方向关系,描述为 {111} FCC // (0001) HCP , <110> FCC // [110] HCP 。取向关系与钴基合金和HEA中的取向关系一致。除了 HCP-马氏体,样品中还形成了SFs 。
图 3。Co 35 Cr 25 Fe 20 Ni 20 HEA (a) 在 10% CR 后的 TEM 明场图像和选区衍射图,以及 (b) 873 K 1 小时和 (c) 973 K 1 小时的 HT .
图 4a -c 显示了 CR(图4a)、HT2 和 HT3 样品(图4b)的室温拉伸性能,以及它们的比较(图4c)。还插入了 CR 之前样品的拉伸性能作为参考,其中屈服强度和极限拉伸强度(UTS) 因 CR 显着升高;屈服强度从 275.5 MPa(CR 前)增加到 642.9 MPa(10% CR)、1012.1 MPa(20% CR)和 1189.6 MPa(30% CR)。
图 4。Co 35 Cr 25 Fe 20 Ni 20 HEA的室温拉伸应力-应变曲线(a)在 CR 之前和之后,和(b)在 HT 之后在 873 K 和 973 K 1 小时。(c) 屈服强度和UTS的比较。(d) 贡献屈服强度的增量的样本。
免责声明:本网站所转载的文字、图片与视频资料版权归原创作者所有,如果涉及侵权,请第一时间联系本网删除。
相关文章
官方微信
《中国腐蚀与防护网电子期刊》征订启事
- 投稿联系:编辑部
- 电话:010-62316606-806
- 邮箱:fsfhzy666@163.com
- 中国腐蚀与防护网官方QQ群:140808414
点击排行
PPT新闻
“海洋金属”——钛合金在舰船的
点击数:8034
腐蚀与“海上丝绸之路”
点击数:6415








