众所周知,在纯fcc-Ni中,所谓的“恢复阶段III”,即单空位开始迁移及其随后扩散和消失的最低温度为350 K或更高。即使在低于阶段III的温度下,这些单空位也会通过原子位移以三维空位簇的形式聚集。推测单空位的继承态上的氢同位素在空位簇形核过程中起着稳定进入的作用。即使在没有塑性变形的高压情况下,Ni中也发现了大量空位的形成。预计氢与空位结合将降低空位迁移率,从而推迟阶段III。另一方面,在室温下,通过电解阴极充电或电沉积,在Ni中加入H,也可以观察到大量的空位形成。氢气充电可能有利于空位-氢相互作用形成空位团簇。而此前的工作中,这些过程中所涉及缺陷的实际性质并没有被直接验证。此外,H在空位形成中的作用以及与氢有关的缺陷动力学还没有充分了解。了解氢相关缺陷的行为不仅对理解氢对敏感金属(如Ni)结构的直接影响至关重要,对理解氢-空位相互作用在氢脆机制中的作用也至关重要。
日本千叶大学的研究人员用阳电子湮没寿命光谱术(PALS)探讨了充氢Ni中空位的形成,阐明了室温(RT)时效过程中出现空位聚集的过程。相关论文以题为“Formation and time dynamics of hydrogen-induced vacancies in nickel”发表在Acta Materialia。
论文链接:https://doi.org/10.1016/j.actamat.2021.117264

采用纯度>99%的面心立方镍板,在Ar氛围下固溶处理900℃×1h(缓慢冷却至室温),采用电解阴极充电法加入氢气,以5% H2SO4+3g/L NH4SCN水溶液(25℃)为电解质,在40 mA/cm2的恒定电流密度下充电4小时。在此充电条件下,fcc-Ni在室温下的H扩散系数为5.12×10-14 m2/s,H在整个样品中分布不均匀,并倾向于向近表层积累。H浓度随深度呈指数函数下降,在离表面27μm处几乎为零。因此,氢致缺陷的深度分布也不均匀。
研究发现H的解吸非常迅速,在充电后的5小时内H浓度降低到1/10。由于H扩散和解吸作用,室温下氢化物经12 h左右消失。在室温下(即低于III阶段温度)时效,含氢镍中的空位也会释放出氢原子,从而导致空位迁移和聚集。

图1 含氢的纯镍在室温下的氢解吸图

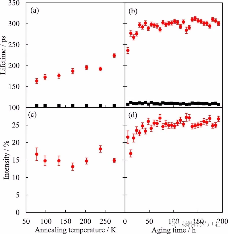
图2 对含氢Ni的PALS测量结果与(a, c)退火温度和(b, d) RT时效时间的函数关系

图3 充氢Ni在室温下随时效时间变化的PALS结果

图4 Ni中氢诱导空位形成和动力学示意图 (a)氢诱导形成氢化物和空位-氢复合体;(b) RT时效导致氢释放和空位聚集成空位簇;(c)时效结束后,所有氢都被解吸,只剩下空位团簇
本文研究了Ni中氢致缺陷的形成和动力学。低温PALS测量和时间分辨PALS测量结果表明,RT下H的加入导致大量单空位缺陷形成。低温CDB测量表明,在H充电过程中,H与这些空位发生偶联。在RT时效和H从缺陷中脱附的同时,这些空位聚集形成了空位团簇,这是Ni所独有的现象,在其他金属和合金(如bcc-Fe和fcc-Fe)中没有发现。空位团簇的尺寸随RT时效过程中H的逐渐脱附而增大,且在H全部脱附和氢化物脱落后尺寸仍保持不变。综上所述,本研究首次证明了Ni中空位-氢复合体由H充电诱导形成,验证了现有的理论计算,本文结果为H在Ni中空位的形成和稳定中起重要作用。
免责声明:本网站所转载的文字、图片与视频资料版权归原创作者所有,如果涉及侵权,请第一时间联系本网删除。
官方微信
《中国腐蚀与防护网电子期刊》征订启事
- 投稿联系:编辑部
- 电话:010-62316606-806
- 邮箱:fsfhzy666@163.com
- 中国腐蚀与防护网官方QQ群:140808414



