导读:氢脆在先进的高强度钢(AHHS)中变得越来越重要,因为强度水平提高到远高于1000兆帕。这项工作对基于铁-钛-钼和铁-钒-钼的模型AHHS钢的脆化机理有了详细的了解,这两种钢都是通过界面沉淀强化的。充氢导致位错密度增加,沉淀物周围的应变场扩大,导致残余应力增加。本文详细研究了氢对慢应变速率拉伸试验和双缺口拉伸试样的影响,发现充氢会导致其强度和延展性损失。
AHSS具有几种不同的微观结构,包括铁素体/马氏体双相钢、相变诱发塑性钢、复相钢和马氏体钢。目前动力定位钢是最有吸引力的安全省油汽车AHSS钢。随着钢的强度增加,氢脆敏感性(he)增加,现在He是AHSS设计中的一个重要考虑因素。
氢脆的对比理论范围从导致失效的增强位错迁移率到抑制裂纹尖端的位错发射。另外还有一些关于双相钢(尽管不是沉淀硬化双相钢)中氦的研究。然而,还没有关于沉淀强化双相钢中的氦的研究,沉淀强化双相钢当然可以作为有效的氢陷阱以及改变位错动力学。此外,当前钢中马氏体的体积分数远低于常规双相钢。
基于此,谢菲尔德大学材料科学与工程系的罗伯特着重详细分析了氢致开裂机理,考察了马氏体体积分数、不同类型和体积分数的析出物以及不同位错密度对裂纹产生和扩展的影响。相关研究结果以题为“Hydrogen embrittlement mechanisms in advanced high strength steel”发表在Acta Materialia。
论文链接:
https://www.sciencedirect.com/science/article/pii/S1359645421008661
实验室铸造的铁-钛-钼(钛-钼)、铁-钒-钼(钒-钼)钢的化学成分列于表1。首先进行热处理以产生相间沉淀碳化物,水淬至室温。接着,为了测量充氢样品中可扩散氢的浓度,使用气相色谱系统(安捷伦科技7890A)和管式炉在氦气体气氛中进行热解吸光谱分析。最后进行了微结构和晶体学研究。
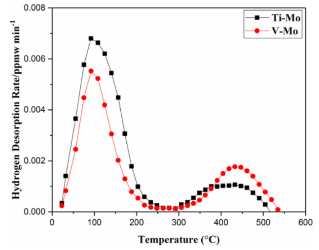
热解吸光谱显示两种钢有两个明显的峰,低温峰与晶界、相界、位错和共格沉淀处的俘获有关,高温峰与半共格沉淀处的俘获有关。 充氢导致钛钼钢严重脆化,在拉伸试验中出现屈服失效。带电拉伸样品中的裂纹起始似乎是由与应变分配相关的位错胞边界处的空洞引起的,符合HELP型机制。
图1 钛钼钢和钒钼钢的热机械循环示意图
图2 充氢和机械试验中 拉伸样品几何形状(长度单位为毫米):(a)无缺口;(b)有两个缺口
图3 (a,b)取自(a)钛钼钢在630℃等温处理90分钟的样品的光学显微照片;钒钼钢;(c,d)亮场透射电镜显微照片,显示(c)钛钼钢中薄箔样品的相间沉淀;钒钼钢;[001]α显示(钛、钼)碳(更精细)和(钛、钼)存在的衍射图和示意图2c(较粗);[001]α显示(钒、钼)碳(更精细)和(钒、钼)存在的衍射图和示意图四C3(比较粗糙)
图4 两种钢的沉淀物尺寸分布
图5 钛钼钢和钒钼钢在100 Ch加热速率下充氢后的热解吸分析光谱?1
图6 (1)钛钼钢和(2)钒钼钢的低温TDA峰的反卷积
图7 透射电镜明场显微照片显示不带电和带电的微观结构,没有应变应用,(a,c)在钛钼钢和(b,d)在钒钼钢。(a,b)来自不带电大块样品的低密度随机分布位错;(c,d)带电体样品的位错密度显著增加
图8 在双束条件下形成的亮场透射电镜图像(g=(010))显示了钛钼钢中沉淀物周围的应变场。a)不带电状态,观察到来自相干沉淀物的经典波瓣对比。b)带电状态,应变场的衍射对比度明显增加,经典波瓣对比度丢失
图9 来自不带电(a,b,c)和带电(d,e,f)钛钼钢的相干碳化物的HRTEM图像。(a)碳化物的HRTEM和(b)与(a)相同区域的相关FTT滤波图像;(c)碳化物和铁素体基体界面上的FTT滤波图像;(d)带电样品中碳化物的HRTEM;(e)碳化物的FTT滤波图像;(f)碳化物和铁素体基体界面上的FTT滤波图像
图10 (a,b)工程拉伸应力-应变曲线和(c,d)钛-钼钢(a)和(c)钛-钼钢(b)和(d)钒-钼钢的加工硬化率曲线,不带电和带电拉伸样品在室温下测试失败。充电后(5分钟内)立即进行慢应变率拉伸(SSRT)试验
图11 钛钼钢在不充氢和充氢时断口的扫描电镜图像;钒钼钢。(a,b)不带电荷的氢和(c,d)带电荷的氢
图12 (a-c)钛钼钢和(d-f)钒钼钢带电试样拉伸解理断口的显微组织。(a,d)扫描电镜,显示具有裂纹起始位置的解理断裂表面,从中制备纤维增强复合材料样品;(b)钛钼钢中裂纹起始位置的STEM图像,其中(c)裂纹起始位置的放大图像显示了高位错密度区域和相邻低位错密度区域之间的边界。(e)V-Mo钢中起始位置的STEM图像,显示高位错密度区域和相邻低位错密度区域之间的尖锐边界;(f) STEM图像显示起爆点有裂纹
图13 (a-c)钛钼钢和(d-f)钒钼钢带电试样拉伸解理断口的显微组织。(a,d)扫描电镜,显示制备纤维样品的准解理断裂表面;(b)纤维截面的STEM图像,显示裂纹扩展;(c)断口附近的STEM图像,显示了位错被沉淀物钉扎的位错结构。(e)准解理裂纹扩展区域的纤维截面的STEM图像,放大倍数在(f)中更高,两者都显示在SEM图像(d)中看到的脊与较大V的行相关联四C3沉淀物
图14 钛钼钢拉伸试样断裂面解理面下方FIB试样的HRTEM显微照片,显示倾斜边界
图15 从FIB充氢后钛钼钢中二次裂纹的显微照片在拉伸断裂上剥离TEM样品,显示:(a)显示二次裂纹位置的STEM HAADF低倍放大图像;(b)裂纹尖端一侧的STEM HAADF高倍放大图像,显示裂纹周围的位错结构;裂纹尖端的定向图像;沿着(c)中画出的线的取向错误
图16 钛钼钢带电拉伸断裂中的二次裂纹扩展:(a)取自二次裂纹的HRTEM图像和(b)来自(a)的快速傅立叶变换滤波图像,显示裂纹沿(100)和(110)扩展;(c)来自(a)的示意图;(d)显示裂纹尾流的HRTEM图像,显示裂纹的原子级扩展。沉淀物标记在表面以下。生长的裂纹避免了沉淀;(e)来自(d)中标记的区域的FFT滤波图像,显示裂纹局部的沉淀物;(f)来自(d)的示意图
图17 从纤维充氢后,钒钼钢中孔隙的显微照片从存在马氏体的区域的拉伸断裂表面剥离出TEM样品,显示:(a)沿铁素体/马氏体相边界的孔隙;(b)沿着(a)中所示的马氏体板条边界的空隙的TEM亮场图像;(c)和(d)铁氧体三结的STEM明场和暗场图像,显示大量空隙
图18 不带电钒钼钢的EBSD图:(a-c)取自缺口区(a) KAM图;(b) IPF地图和(c)公元前地图;以及(d-f)取自远离缺口区域(d)的KAM地图;(e) IPF地图和(f)公元前地图
图19 EBSD图显示,裂纹沿(100)面在带电钛钼钢的铁素体晶粒中扩展:(a-c)取自缺口区,(a) KAM图;IPF地图;公元前地图;(d-f)显示远离缺口的二次开裂,在(d) KAM地图上标记有(100)痕迹;IPF地图;(f)公元前地图
图20 带电钒钼钢的EBSD图,显示沿铁素体/马氏体边界的裂纹扩展:(a-c)取自缺口区域,(a) KAM图,显示缺口根部,主裂纹平行于拉伸轴扩展成马氏体岛;IPF地图;公元前地图;(d-f)显示了远离垂直于拉伸轴传播的缺口的二次开裂,并在(d) KAM地图、(e) IPF地图、(f) BC地图上标记了(110)痕迹
在钛钼钢的双缺口试样上也发现了类似的现象。然而,在钒钼钢中,在铁素体/马氏体边界和通过马氏体集落观察到更广泛的裂纹扩展。 俘获物质处的氢饱和可能导致残余应力增加,这可以限制延展性并抑制塑性变形。
免责声明:本网站所转载的文字、图片与视频资料版权归原创作者所有,如果涉及侵权,请第一时间联系本网删除。
相关文章
官方微信
《中国腐蚀与防护网电子期刊》征订启事
- 投稿联系:编辑部
- 电话:010-62316606-806
- 邮箱:fsfhzy666@163.com
- 中国腐蚀与防护网官方QQ群:140808414
点击排行
PPT新闻
“海洋金属”——钛合金在舰船的
点击数:7383
腐蚀与“海上丝绸之路”
点击数:5932































