导读:泡沫金属的萌生和生长是一个复杂的动态过程,本质上具有三维和时间依赖性。断层扫描-或时间分辨断层扫描-允许我们跟踪气体气泡的成核和生长AlSi8Mg4合金实时发泡。单个气泡的位置、大小和形状以1秒的步长确定,空间分辨率为几米。同时,由Al-Mg相和TiH2粒子,在一系列的3D图像中被识别。自动定量图像分析泡沫和产生的阶段包括他们的空间相关性允许我们发泡过程分解成两个不同的步骤,第一个同质由吸附气体和第一个融化显微结构的组件和第二个归因于合金的熔化和随后的泡沫增长由氢释放TiH2粒子。研究结果证实了通过调整Al-Mg成分粉的性能,可以改善标准AlSi8Mg4泡沫塑料的性能,对泡沫铝的后期结构有重要影响。
泡沫铝是一种受自然启发的多孔材料,由分散在固体金属基质中的气相组成,由于其独特的性能,近100年来一直是研究的主题。其目标是将其应用于轻型建筑等领域。尽管进行了深入的研究,但一些机理,如气体成核、膜稳定性、排水和粗化还没有完全理解。由于高制造成本和优化结构和性能再现性的需要,还没有实现商业突破,这使得金属泡沫成为特殊应用的利基产品。
AlSi8Mg4合金具有优异的泡沫结构和发泡性的一个原因是相对密度大于98 %的良好粉末压实性并且粉末颗粒之间的金属结合导致气密前体。反应性元素如镁的存在通过形成单独的氧化物颗粒促进了铝粉表面致密氧化物层的化学溶解,从而允许更好的金属结合。这防止了在发泡步骤中形成裂缝,产生的气体会沿着裂缝逸出,因此不会导致泡沫体积膨胀。该合金的另一个优点是在小的温度区间内产生大比例的熔体。刚好高于固相线温度的40-60 %熔体的最佳范围,以及足以稳定熔体的固体颗粒的存在,导致良好的膨胀和泡沫结构。
现代同步辐射源的高强度X射线与探测器的最新发展相结合,以高空间分辨率提供了在几分钟内亚秒范围内泡沫演变的三维、时间分辨的洞察力。在发泡过程中被中断在冷冻样品上,通过层析成像法研究了气体成核的合金依赖性,但直到最近这才成为可能。尽管成核现象发生在远低于可用空间分辨率的长度尺度上,但我们假设,由于液态原位观察的可能性,实际存在或新形成的成核点导致气泡,这是我们可以解决的。因此,气泡成核这个术语并不是指经典意义上的气体成核,而是指可以用这种方法间接探测到原子核的假设。另外,衍射的同时使用使得实验能够提供宏观结构演变与发泡过程中化学或相变的直接比较。
柏林工业大学Paul Hans Kamm团队通过使用X射线断层扫描的方法,可视化和定量分析了在泡沫铝中发生的现象。研究了粉末冶金泡沫铝中气泡成核和生长的重要步骤。研究结果表明,通过调整Al-Mg成分粉的性能,可以改善AlSi8Mg4泡沫塑料的性能,对泡沫铝的后期结构有重要影响。相关研究成果以题“Nucleation and growth of gas bubbles in AlSi8Mg4 foam investigated by X-ray tomoscopy”发表在金属顶刊Acta Materailia上。
论文链接:
https://www.sciencedirect.com/science/article/pii/S135964542031020X


图1. 比较(a) 合金AlSi8Mg4和(c) 纯Al泡沫样品的(b)等效直径分布所述的孔结构。

图2. BESSYⅡEDDI光束线的白光束层析成像和同步衍射装置
第一个成核阶段非常均匀,孔隙率低,形成球形气泡。吸附物是主要的气源。晶形点与TiH2没有局部相关关系,而与AlMg50粒子有局部相关关系(气泡的形成与晶形的消失/熔化相一致)发泡过程中形成的AlMg-β相和烧结过程中产生的微孔)。

图3. AlSi8Mg4合金早期发泡阶段(孔隙率小于25 %)。分离气泡的断层图像和3D图像的垂直截面(顶部)显示了第一次孔隙率增加的时刻(左图,t = 41秒)和孔隙率达到25 %时(右图,t = 65秒)。箭头表示TiH2,气泡是黑色的,铝基体显示为灰色,吸收较弱的富镁区域用蓝色标出。下图显示了实验时间内的温度曲线以及气泡密度和孔隙率。测量是在TOMCAT束线进行的。
由于合金的熔化和大量液相的快速形成,第二成核阶段是突然和不均匀的。

图4 (a)图3中AlSi8Mg4样品中气泡球度和平均值的分布与发泡温度的关系;(b)进入第二个气泡形成阶段球形度突变(550 ~ 560°C)时气泡尺寸的分布。
在第二个气泡形成阶段之后,观察到明显的泡沫老化阶段,伴随着气泡的生长、聚结和聚集。

图5. 中心:AlSi8Mg4样品中AlMg50颗粒内部成核气泡的比例(红色曲线),气泡密度(黑色,图3),大粒径AlMg50颗粒中气泡嵌入到各自颗粒表面的距离分布(蓝色标号)。上图:观察体积在0秒(左)和30秒(右)时间内的颗粒(灰色)和气泡(红色)的3D表示。下图:单个AlMg50粒子在不同时间内的内部气泡。

图6. (a-d)层析切片显示选定时间点的泡沫发育情况。(e)测定的孔隙率、气泡密度和从衍射峰区计算出的测定相的分数在温度上显示出来。(f) AlSi8Mg4样品在发泡过程中通过加热前体和随后自然冷却所衍射的光束能量的时间分辨强度谱。测量是在涡流光束线上进行的。

图7. (a)热压成形后的AlSi8Mg4前驱体的二次电子扫描电镜图像显示微观组织中出现了原AlMg50颗粒;(b) EDX线扫描测量显示了Al、Si和Mg的实际元素组成

图8. AlSi8Mg4前驱体的X射线断层切片(左)和光学显微图像(右)(a)压实后和(b)随后在400?C烧结1小时后。蓝色框架表示X射线和光学图像的不同比例。

图9. 比较:(a)气泡密度和孔隙率的演变;(b)加入0.25 wt% TiH2的AlSi8Mg4与未加入发泡剂的同一合金的平均等效气泡直径;(c) 32 s后的垂直层析切片。
添加的发泡剂主要影响泡沫生长和老化(聚结)阶段。AlMg50粉末粒度对泡沫结构(表面、氧化物、气体量和分布、γ/β比)成核和形成的强烈影响,显示出改进的潜力,例如通过选择合适的粉末粒度和粉末的可能预处理或预合金化。

图10. 垂直部分通过x线断层照片在不同阶段的发泡AlSi8Mg4为0.25 wt % TiH2和不同AlMg50粉粒度分布的视野内的完整示例。在295 s的实验时间内,加热温度为580?C,激光功率增加,保温时间为180 s。

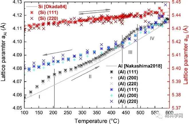
图11. 将Si(红色)的能谱校准到文献值后,根据样品在加热和发泡(黑色/深灰色)和泡沫在冷却(蓝色/青色)过程中{111}和{200}晶格面衍射能计算出Al的晶格参数,并与文献值(浅灰色)比较。
免责声明:本网站所转载的文字、图片与视频资料版权归原创作者所有,如果涉及侵权,请第一时间联系本网删除。
-
标签: Acta Materialia, 观察泡沫, 金属顶刊
相关文章
官方微信
《中国腐蚀与防护网电子期刊》征订启事
- 投稿联系:编辑部
- 电话:010-62316606-806
- 邮箱:fsfhzy666@163.com
- 中国腐蚀与防护网官方QQ群:140808414
点击排行
PPT新闻
“海洋金属”——钛合金在舰船的
点击数:7130
腐蚀与“海上丝绸之路”
点击数:5741



