自2003年研制出淬火配分(Q&P)钢以来,碳配分被广泛应用于多相超高强度钢的设计中。其基本原理是碳在分区处理过程中从马氏体扩散到奥氏体。配分后的奥氏体变得更加稳定,即使在室温下也不会发生转变。在Q&P钢中,残余奥氏体是亚稳态的,在变形过程中不断转变为马氏体,从而发生变形诱导塑性(TRIP)效应。通过控制残余奥氏体和TRIP效应可以获得优良的强度和延展性组合。
现已开发出强度达到1500MPa、延伸率15%的Q&P钢,但是这种超高强钢的断裂韧性较差,限制了Q&P钢的进一步应用。现有研究仍集中于残余奥氏体对断裂行为的影响,而马氏体基体对断裂机理的影响也很重要,所以需要同时研究残余奥氏体和马氏体基体。
日前,香港大学黄明欣团队提出了一种调整马氏体基体和残余奥氏体的新型热处理方法,以增强超高强度Q&P钢的断裂韧性,同时保持良好的强度-延展性组合(抗拉强度1500MPa,延伸率10%以上)。相关论文以题为“Optimising the strength-ductility-toughness combination in ultra-high strength quenching and partitioning steels by tailoring martensite matrix and retained austenite”发表在International Journal ofPlasticity。
论文链接:https://doi.org/10.1016/j.ijplas.2020.102851

本研究的原料为工业用Q&P钢板材,热处理方法:以10℃/s的速率升温至850℃保温180s,以10℃/s的冷却速率降温至190℃,将材料以10℃/s的速率分别升温至400℃、450℃和500℃(简称PT400、PT450和PT500)保温450s,冷却至室温。
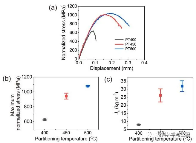
研究发现PT400、PT450和PT500中残余奥氏体分别为19.3%、17.8%和3.5%。在PT400和PT450中残余奥氏体的体积分数和形态相似,PT500中大部分奥氏体已分解为层状珠光体。对于PT400,残余奥氏体在变形过程中缓慢地转变为马氏体,这是最佳强延性组合。在PT450中残余奥氏体不太稳定,几乎所有的奥氏体都在缩颈开始前发生了转变,导致均匀伸长率较低。PT450中残余奥氏体的稳定性降低可能是由于碳含量降低和马氏体基体软化造成的。

图1 Q&P钢的显微组织(a, b)PT400; (c, d)PT450; (e, f)PT500

图2 不同状态下Q&P钢的拉伸性能

图3 不同状态下Q&P钢的断裂韧性

图4 三种状态下的(a-c)断口形貌和(d-e)开裂路径
马氏体基体对断裂韧性也有一定影响。在板条马氏体晶界面积、位错密度和位错亚结构方面,PT450和PT500的马氏体基体比PT400更能充分回复。回复降低了流变应力,促进了微裂纹尖端前的位错运动,抑制了脆性断裂的发生。马氏体中的固溶碳可以通过应变时效阻碍位错运动,所以PT450和PT500中固溶碳含量较低也是断裂韧性较好的主要因素之一。过渡碳化物转变为细小渗碳体能够消耗固溶碳和减少析出硬化进而降低马氏体的流变应力,不会引起脆性断裂。因此,细小渗碳体的形成对提高Q&P钢的断裂韧性具有重要意义。

图5 (a) PT400和(b) PT450的微裂纹

图6 (a) PT400和(b) PT450的APT分析

图7 (a) PT400, (b) PT450和(c) PT500中碳化物的TEM图像
综上所述,Q&P钢中获得较平衡的强度、延展性和断裂韧性关键因素是较高含量的残余奥氏体、充分回复的马氏体基体和形成细小的渗碳体。本文提出了一种针对Q&P钢的热处理新方法,能够进一步扩大Q&P钢的应用范围,为其他钢材的性能改善提供了一种新的思路。
免责声明:本网站所转载的文字、图片与视频资料版权归原创作者所有,如果涉及侵权,请第一时间联系本网删除。
官方微信
《中国腐蚀与防护网电子期刊》征订启事
- 投稿联系:编辑部
- 电话:010-62316606-806
- 邮箱:fsfhzy666@163.com
- 中国腐蚀与防护网官方QQ群:140808414



