【研究背景】
石墨炔(Graphdiyne, GDY)是一种新型的二维碳同素异形体,近年来受到越来越多的关注。其独特的sp-sp2碳原子、均匀的孔隙和高度的π共轭结构使其在气体分离、催化、水处理、湿度传感器、能源等领域均展现出广阔的应用前景。近年来,广大研究者为制备合成具有特定结构的GDY单晶进行了多种尝试并为之付出了巨大努力。然而,GDY材料仍面临许多挑战,包括需要更深入地了解其生长机理,合成一层或几层单晶GDY薄膜的策略,表征其基本物理化学性质,以及实现其杀手锏级的应用。
【成果简介】
近日,北京大学张锦教授课题组全面介绍GDY和基于GDY材料的合成,以及它们的结构、电子、机械和光谱特性,以及它们在纳米技术中的应用。该成果近日以题为“Graphdiyne:synthesis,properties, and applications ”发表在知名期刊Chem. Soc. Rev.上。
【图文导读】
图一:石墨炔及其研究趋势

图二:石墨炔命名及化学结构

图三:不同石墨炔的能量

图四:1-3层GDY片的SAED图案和HRTEM图像

图五:石墨炔的几何结构、指示应力方向、带结构及其随应力变化

图六:单层石墨炔的带结构、双层和三层石墨炔的稳定构象及带结构

图七:石墨炔的光学性质

(a-b)扣除背景前后石墨炔的吸收光谱;(c)HEB单体和GDY片的紫外吸收光谱;(d)理论预测的拉曼光谱;(e)铜箔上三个不同位置生长的GDY的拉曼光谱;(f)GR和GDY/GR的拉曼光谱以及预测的GDY的拉曼光谱;(g)石墨炔中不同的拉曼振动模式;(h)GDY的XAS图谱;(i)GDY的C1s XPS光谱。
图八:GY和GDY的磁性质

(a)不同TM原子吸附的GY和GDY的磁矩(M)和自旋极化能,ΔEspin;(b)不同TM原子吸附的GY和GDY的磁性。
图九:GDY的主要合成方法

图十:表面在位化学合成

(a)表面辅助的分子间σ-键复分解反应;(b)表面辅助Glaser偶联反应;(c)表面辅助的脱卤偶联反应;(d)HEB单体在Ag(111)上的自组装结构;(e)分子3的分子间表面σ-键复分解产物的自组装;(f)Glaser聚合物3上的高分辨率STM图像;(g)由9生成的C-C偶联网络的高分辨率STM图像;(h)4的低聚反应的高分辨率STM图像;(i)由5产生的C-C偶联网络的高分辨率STM图像;(j)三亚苯基丁二炔丝的模型图像和高分辨率STM图像。
图十一: GDY薄膜的生长及表征

(a)通过使用HEB作为前体,通过CVD工艺在Ag箔上生长GDY的示意图;(b)生长的GDY膜的AFM图像(厚度:0.6 nm);(c)通过CVD方法生长的GDY膜的TEM图像和相应的SAED图案;(d)生长的十层GDY的拉曼光谱;(e)生长的GDY的高分辨率不对称C 1s XPS光谱;(f)自上而下法制备少层GDY薄膜;(g)通过自上而下方法(厚度:22nm)生长的GDY膜的AFM图像;(h)生长的GDY膜的HRTEM图像。
图十二:无催化剂爆炸法在空气中高温合成GDY粉体

(a)爆炸方法的示意图;(b-d)具有不同形态的GDY粉末的SEM图像:b,GDY纳米带;c,GDY纳米链;d,3D GDY骨架;(e)所制备的GDY的拉曼光谱:蓝线表示纳米链; 红线,3D框架; 和黑线,纳米带。
图十三:石墨炔的合成前体及其可能的合成路径

(a)GDY;(b)β-石墨双炔;(c)γ-石墨单炔。
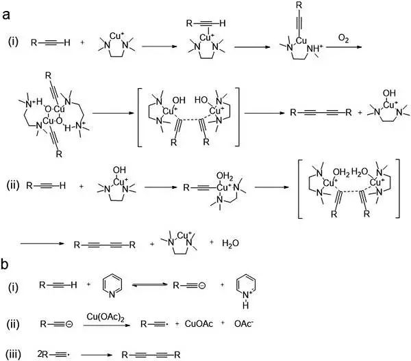
图十四:铜催化的溶液相炔烃偶联反应

(a)末端炔烃的Glaser偶联反应;(b)带TMS保护基的炔烃偶联偶反应。
图十五:反应机理

(a)Glaser-Hay反应的机制;(b)Eglinton反应的机制。
图十六:Cu箔上合成GDY

(a)使用Cu箔上的原位Glaser偶联反应合成GDY膜;制备得到的GDY薄膜的(b)SEM和(c)AFM图像;(d)GDY薄膜的I-V曲线;(e)通过Liu方法制备的GDY纳米墙的SEM图像;(f)从GDY纳米墙上剥离下来的纳米片的的AFM图像;(g)用Liu方法制备的GDY样品的HRTEM图像。
图十七:在不同基底上合成GDY及其表征通过

(a)Cu信封催化的策略或(b)控释铜催化剂的方法在任意基底上合成GDY;通过Cu铜信封催化生长GDY纳米墙后的典型SEM图像:(c)一维硅纳米线,(d)二维Au箔和(e)三维石墨烯泡沫。
图十八:界面辅助合成

(a)示意图和(b)在液-液界面上合成GDY膜的照片;(c)所制备的GDY膜的AFM图像;(d)所制备的GDY膜的SAED图案,显示出高的结晶度;(e)气液界面法示意图;(f)所制备的GDY纳米片的AFM图像;(g)来自2D掠入射广角X射线散射图案的对角线和水平图。
图十九:液相范德华外延生长

(a)合成方法的示意图;(b)用于GDY生长的Eglinton偶联反应过程;(c)在GR上生长的GDY膜的光学图像;(d)制备的GDY/GR膜的AFM图像;(e)所制备的GDY/GR膜的SAED图案。
图二十:含杂原子GDY的制备及表征

(a)掺杂杂原子的GDY的合成;(b)GDY粉末和(c)制备的N和F共掺杂GDY粉末(NFGD)的TEM图像;(d)SEM图像和(e)NFGD的EDS元素mapping图像;(f)GDY和GDYO的化学结构。
图二十一:GDY及其相应前体的扩展概述

图二十二:GDY应用于气体分离

(a)通过GDY分离H2的示意图;(b)施加额外的力可以减少穿过GDY膜的能量需求,从而可以在临界力水平下进行选择性过滤;(c)由H,F和O修饰的GDY膜可分别分离CO2/N2/CH4混合物。
图二十三:GDY用于光催化和光电催化

(a)通过P25/GDY作为催化剂的亚甲基蓝(MB)的光催化降解的示意图;(b)在可见光照射下通过P25,P25/CNT,P25/GR和P25/GDY的MB的光降解图;(c)用于PEC水分解电池的GDY光阴极的制备方法和催化机理;(d)基于GDY光电阴极的线性扫描伏安法(LSV)扫描;(e)在测试12小时期间,对所制备的基于GDY的光电阴极进行恒电位电解。
图二十四:GDY用于电催化

(a)用于高效HER的CoNC/GDY电极和(b)用于高效OER的GDY负载的钴纳米颗粒电极的示意图;(c)N掺杂GDY中的各种N物种;(d)所制备的N-GDY和Pt/C的Tafel图,其中b表示塔菲尔斜率的值。
图二十五:GDY用于锂电池

(a)在GDY的一侧和两侧吸附Li原子的优化构型的顶视图和侧视图;(b)GDY合成和LIB制备过程的示意图;(c)在500mA/g的电流密度下,所制备的GDY电极的循环性能;(d)应用新的碳烯(β-GDY)的化学结构和(e)相应的计算的能带结构;(f)N-掺杂的示意图,N-掺杂是改善GDY材料的电化学性能的有效方式;(g)制备的GDY和N-GDY电极在电流密度为2A/g时的循环性能。
图二十六:不同GDY衍生物在电池中的应用

(a)Cl-GDY的合成示意图;(b-c)Li金属半电池格式的Cl-GDY电极的性能;(d)H-GDY的合成示意图;(e)LIB(f)SIB,所制备的H-GDY电极的循环性能为0.1A/g;(g)B-GDY的合成示意图;(h)SIB的B-GDY电极的速率性能。
图二十七:GDY用于电驱动器

(a)基于GDY的电驱动器的制备过程;(b)随着频率的增加,所制备的基于GDY的电驱动器的衰减应变;(c)电驱动器的致动机理示意图;(d)遇到电刺激的GDY的驱动应变。
图二十八:GDY用于油水分离

(a)基于GDY的油水分离装置的制造方法;(b)在GDY上吸附Pb2+的示意图;(c)GDY处理前后的含有Pb2+的水溶液的吸收光谱。
图二十九:GDY制备的发展蓝图

【小结】
作者全面综述了石墨炔材料的合成方法以及应用领域,并对其进行了展望。虽然石墨炔的合成和应用经历了电子,储能,催化,传感等多方面的进展,但对石墨炔的研究仍处于起步阶段,需要解决以下问题:
1. 开发合适的方法来剥离所制备的GDY粉末,发展获得单层或几层GDY材料的有效方法;
2. 迫切需要为石墨炔开发清洁转移技术;
3. 找到一种简单而通用的方法来快速判断石墨炔的质量和炔键含量;
4. 开发能够有效地利用石墨炔中的碳-碳三键的杀手锏级应用。
文献链接:Graphdiyne: synthesis, properties, and applications (Chem. Soc. Rev. 2018, DOI: 10.1039/c8cs00773j)
更多关于材料方面、材料腐蚀控制、材料科普等方面的国内外最新动态,我们网站会不断更新。希望大家一直关注中国腐蚀与防护网http://www.ecorr.org
责任编辑:韩鑫
《中国腐蚀与防护网电子期刊》征订启事
投稿联系:编辑部
电话:010-62313558-806
邮箱:fsfhzy666@163.com
中国腐蚀与防护网官方 QQ群:140808414
免责声明:本网站所转载的文字、图片与视频资料版权归原创作者所有,如果涉及侵权,请第一时间联系本网删除。
相关文章
官方微信
《中国腐蚀与防护网电子期刊》征订启事
- 投稿联系:编辑部
- 电话:010-62313558-806
- 邮箱:fsfhzy666@163.com
- 中国腐蚀与防护网官方QQ群:140808414
点击排行
PPT新闻
“海洋金属”——钛合金在舰船的
点击数:5768
腐蚀与“海上丝绸之路”
点击数:4763



