1.Bryan Mccloskey(劳伦斯伯克利国家实验室)
人物简介:Bryan Mccloskey, 2009年于德克萨斯大学奥斯汀分校获得博士学位,2014年加入劳伦斯伯克利国家实验室。他的主要研究方向是电化学储能,电化学催化和聚合物的分子和离子输运。迄今发表文章达100余篇。
研究动态:作者研究了富锂金属氧化物Li1.2Ni0.2TM0.6O2(TM=Mn,Ru)显示出高的电化学容量,但是提供这种容量的氧化还原过程在每个材料中明显不同,即使每个材料的结构相似。利用X射线能谱技术,阐明了两种化合物中过渡金属的电荷补偿机制,并验证了LNMO中Ni和O以及LNRO中Ni和Ru的电化学活性。通过LNMO的RIXS衍射直接观察到阴离子氧氧化还原的特征,而LNRO中没有这种特征,表明LNRO中没有这种氧氧化还原的活性。通过比较具有相似结构的材料,证明了过渡金属对富锂金属氧化物中氧活化的潜在影响。
图1 LRMO和LNRO的RIXS图

文献链接:Elucidating anionic oxygen activity in lithium-rich layered oxides. (Nature Communications. 2018, 947. DOI:10.1038/s41467-018-03403-9)
2.Gerbrand Ceder(加利福尼亚大学伯克利分校)
人物简介:Gerbrand Ceder主要研究方向是基于第一性原理和选择性试验进行材料设计。同时研究能源材料,包括能量储存,太阳能和热点转换以及材料基因和高通量计算、材料科学方面的数据挖掘和统计学习。材料及其亚稳态的形核和成型。迄今发布文章达320多篇,超过20项专利。
研究动态:Gerbrand Ceder(共同通讯作者)与Jinhyuk Lee合作提出了在无序岩盐结构中结合高价阳离子和氟部分取代氧的策略,以将可逆Mn2+/Mn4+双氧化还原偶结合到富锂锰基材料中,获得高容量和高能量密度。Mn2+/Mn4+氧化还原的使用降低了氧氧化还原活性,从而稳定了材料。
图2 Li2Mn2/3Nb1/3O2F设计和结构特点

文献链接:Reversible Mn2+/Mn4+ double redox in lithium-excess cathode materials. (Nature.2018, 556, 185–190.DOI: 10.1038/s41586-018-0015-4)
3.Doron Aurbach(以色列巴伊兰大学)
人物简介:Doron Aurbach,巴伊兰纳米技术与先进材料研究所清洁技术中心主任、以色列实验室评审机构主席。在国际知名科学期刊上发表了570余篇文章,引用次数总计超过24000次,H因子91,获得25项发明专利,主编和参与编着了12本国际科学专着。
研究动态:富锂锰基材料具有较高的比容量(超过250mAh g-1),然而材料在循环过程中存在大的首圈循环不可逆容量、容量衰减、低倍率容量、、大平均放电电压衰减等问题。作者综述了采用用钠、镁、铝、铁、钴、钌等掺杂富锂锰基材料,有利于稳定电极的容量,抑制放电电压衰减;通过Al2O3、V2O5、AlF3、AlPO4等包覆或通过气体处理(例如通过NH3)进行表面改性,还可以增强循环过程中的电压稳定性。
图3 LiMO2和Li2MnO3结构示意图

文献链接:Review on Challenges and Recent Advances in the Electrochemical Performance of High Capacity Li‐ and Mn‐Rich Cathode Materials for Li‐Ion Batteries. (Adv. Energy Mater. 2018,1702397. DOI:10.1002/aenm.201702397)
4.夏定国(北京大学)
人物简介:夏定国,北京大学工学院能源与资源工程系&先进材料与纳米技术系教授、博士生导师。北京大学工学院能源与资源工程系副主任。先进电池材料理论与技术北京市重点实验室主任。研究领域主要包括催化剂、锂插入化合物和材料模拟计算。
研究动态:
(1)传统的O3型富锂锰基材料在充放电过程中具有电压和容量衰减的缺点,夏定国(通讯作者)报道了O2型单层Li2MnO3超结构的富锂锰基材料,放点比容量达到400mAh g-1(能量密度为1360Wh kg-1),并解析了材料的高容量来自于材料内稳定的阴离子氧化还原反应。
图4 Li1.25Co0.25Mn0.50O2材料的HAADF图

文献链接:A High-Capacity O2-Type Li-Rich Cathode Material with a Single-Layer Li2MnO3 Superstructure. (Adv. Mater. 2018, 1707255. DOI: 10.1002/adma.201707255)
(2)作者报道了采用Fe3+掺杂进入立方型Li2TiO3中,提供了稳定的阴离子氧化还原反应。结合第一性原理计算,电子转移主要发生在被Fe3+包围的氧原子上,而不是Ti4+, Fe3+作为催化剂引入到材料中促进了稳定的氧化还原反应。将Co3+掺杂入Li2TiS3展示出了相似的结果。
图5 Li2TiO3 and Li1.2Ti0.4Fe0.4O2充电转移过程示意图

文献链接:Thermodynamic Activation of Charge Transfer in AnionicRedox Process for Li-Ion Batteries. (Adv. Funct. Mater. 2018, 28, 1704864. DOI: 10.1002/adfm.201704864)
5.郭玉国(中科院化学所)
人物简介:郭玉国, 1978年出生。2004年于中国科学院化学研究所获博士学位。2004-2006年在德国马普固体研究所从事博士后研究工作。2006-2007年被聘为马普固体研究所Staff Scientist。2007年入选化学所“引进国外杰出青年人才计划”,加入中科院分子纳米结构与纳米技术院重点实验室任研究员、博士生导师、课题组长。2012年获得“国家杰出青年基金”支持,并入选中央组织部“万人计划”首批青年拔尖人才。
研究工作主要集中在锂离子电池、锂硫电池等能量转化与储存器件中功能纳米结构材料的设计、制备、组装、结构和性能关系的基础科学研究和应用探索。在Nature Mater.(1篇)、Acc. Chem. Res.(1篇)、J. Am. Chem. Soc.(8篇)、Angew. Chem. Int. Ed. (4篇)、Adv. Mater.(18篇)、Adv. Energy Mater.(3篇)、Adv. Funct. Mater.(4篇)、NPG Asia Mater.(2篇)、Energy Environ. Sci.(4篇)等期刊上发表SCI论文140余篇。发表论文被他人SCI引用7600多次。
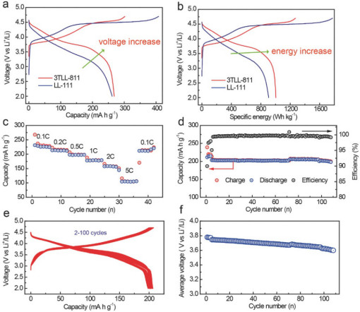
研究动态:作者报道了提高富锂锰基材料中Ni元素含量和重复退火的策略,将材料的电压平台由3.5V提高到3.8V,能量密度由912Wh kg-1提高到1033Wh kg-1。提升的机理来源于更低的Li2MnO3含量。

图6 富锂锰基材料电化学性能图文献链接:High‐Capacity Cathode Material with High Voltage for Li‐Ion Batteries.(Adv. Mater. 2018,1705575. DOI:10.1002/adma.201705575)
6.王兆翔(中科院物理所)
人物简介:王兆翔,1963年4月出生。中国科学院物理研究所研究员,博士生导师。1992年在中国科学院物理研究所光学专业获得硕士学位并留所工作,1998年在中科院物理所凝聚态物理专业获得博士学位并获得留所工作资格。1998年6月至2000年7月先后在日本三重(Mie)大学、英国University of St. Andrews和美国University of Michigan做博士后研究。
研究动态:由于富锂锰基材料在充放电过程中过渡金属离子(TMs)会不可控迁移导致材料电压平台降低和容量下降,因而作者报道了Li1.2Mo0.6Fe0.2O2预先充电,促进材料可控形成岩盐相,进而抑制材料的电压平台降低和容量下降。
图7 材料结构示意图

文献链接:Another Strategy, Detouring Potential Decay by Fast Completion of Cation Mixing. (Adv. Energy Mater. 2018, 1703092. DOI:10.1002/aenm.201703092)
7.刘兆平(宁波材料所)
人物简介:刘兆平,博士,研究员,博士生导师,入选中科院百人计划、科技部创新人才推进计划中青年科技创新领军人才。研究方向为石墨烯和动力锂离子电池及其材料技术。已在J. Am. Chem. Soc., Angew. Chem., Adv. Mater.等着名学术期刊上发表论文120余篇,获他人引用近5000次;申请国家发明专利160余项,PCT专利6项;带领团队实现磷酸铁锂、石墨烯、锰酸锂等材料产业化技术和转移转化。主持承担了国家自然科学基金、中科院重点部署项目,中科院院地合作项目、宁波市科技创新团队项目以及企业合作等科技项目30余项。
研究动态:作者采用高浓度硫酸作为媒介预脱锂处理富锂锰基材料,在材料中创造出氧空位和锂空位,获得优异的循环性能并有效抑制电压衰减,电压降为每圈0.281mV。提升的机理是因为材料的结构由层状结构演变为部分尖晶石结构。
图8 材料结构演变示意图

文献链接:Abundant nanoscale defects to eliminate voltage decay in Li-rich cathode materials. (Energy Storage Materials, 2019, 220-227. DOI: 10.1016/j.ensm.2018.05.022)
8.尉海军(北京工业大学)
人物简介:尉海军,教授、博士生导师。2007年获东北大学博士学位,先后在北京有色金属研究总院(2007-2010)和日本国立产业技术综合研究所(2010-2015)从事电池相关研究工作,2015年起在北京工业大学工作。在Angew. Chem. Int. Ed.、Energy & Environ. Sci.、Nano.Lett.等国际知名能源化学期刊上发表学术论文65篇,SCI他引2000余次,申请专利25项,已授权4项。目前,重点研究动力电池和储能电池等(如锂/钠离子电池、固态离子电池、金属空气电池等)领域的关键材料与器件,主要研究方向如下:1.锂/钠离子电池材料与技术研究;2.固态离子电池材料与器件研究;3.新型电化学储能体系基础研究。
研究动态:作者报道了富锂锰基材料原始结构为LiTMO2相和Li2MnO3相共同主导,经过充放电循环后,变化为以LiTMO2相为内核、以尖晶石相和岩盐相为外核构成的核壳结构。而且这种变化对于温度很敏感,在高温下更容易产生结构变化。变化的机理是充放电循环时材料中层状氧逸出,导致过渡金属离子向材料表面聚集。该项研究阐明了富锂锰基层状氧化物正极的结构演变机理并为类似高比能量材料的结构设计奠定了基础。
图9 结构变化过程示意图

文献链接:Temperature-Sensitive Structure Evolution of Lithium–Manganese-Rich Layered Oxides for Lithium-Ion Batteries.(J. Am. Chem. Soc., 2018, 140 (45), 15279–15289. DOI: 10.1021/jacs.8b07858)注:以上仅介绍了几个具有代表性的研究团队,还有很多其他优秀的团队同样有很多优秀的工作,但是由于篇幅的关系,我们在这里就不能一一列举了。
更多关于材料方面、材料腐蚀控制、材料科普等方面的国内外最新动态,我们网站会不断更新。希望大家一直关注中国腐蚀与防护网http://www.ecorr.org
责任编辑:韩鑫
《中国腐蚀与防护网电子期刊》征订启事
投稿联系:编辑部
电话:010-62313558-806
邮箱:fsfhzy666@163.com
中国腐蚀与防护网官方 QQ群:140808414
免责声明:本网站所转载的文字、图片与视频资料版权归原创作者所有,如果涉及侵权,请第一时间联系本网删除。
-
标签: Bryan Mccloskey, 夏定国, 郭玉国, 富锂锰基材料
相关文章
无相关信息
官方微信
《中国腐蚀与防护网电子期刊》征订启事
- 投稿联系:编辑部
- 电话:010-62313558-806
- 邮箱:fsfhzy666@163.com
- 中国腐蚀与防护网官方QQ群:140808414
点击排行
PPT新闻
“海洋金属”——钛合金在舰船的
点击数:5768
腐蚀与“海上丝绸之路”
点击数:4763



