引言
压电陶瓷能够实现机械能和电能的相互转化,从而被广泛应用于传感器、换能器和驱动器领域,具体的应用实例有声呐、超声手术刀和发动机共轨喷油器等。以锆钛酸铅(简称PZT)为代表的传统铅基陶瓷虽然性能优异,但铅的毒性对环境和健康提出了严重的挑战。2016年,欧盟RoHS建议委员会发布了最新版的RoHS指令:2020年前后部分铅基压电陶瓷或将不再被豁免,从而将无铅压电陶瓷的产业化应用提上了日程。
铌酸钠钾基陶瓷(KNN)由于其较高的压电系数和居里温度而被认为是最具潜力的无铅压电陶瓷体系之一。在实际应用中,特别是对压电驱动器来说,能否在获得高压电性能的同时保持较好的性能温度稳定性,是决定KNN能否在众多无铅体系中脱颖而出,从而部分取代PZT的关键。
成果简介
近日,清华大学材料学院李敬锋教授和王轲副教授课题组在Journal of the American Chemical Society发表题为 “High and Temperature-Insensitive Piezoelectric Strain in Alkali Niobate Lead-free Perovskite” 的研究论文,报道了一种新的KNN组分(Na0.5K0.5)NbO3-(Bi0.5Li0.5)TiO3-BaZrO3(KNN-BLT-BZ),并通过掺杂MnO2获得了高达470 pm/V的室温压电应变常数d33*,此性能与铅基压电陶瓷性能相当。此外,经过MnO2成分优化的KNN陶瓷与未掺杂陶瓷相比,综合压电性能得到大幅度提升,表现出了优异的压电应变温度稳定性。当测试温度从室温升高至100 oC时仍然能够保持430 pm/V的压电应变响应,在室温到100 oC的宽温度范围内压电应变性能变化率小于10 %,优于铅基压电陶瓷及同类代表性KNN基无铅压电陶瓷。
研究人员利用多种表征手段对材料进行了全面分析。宏观上,热激励退极化电流(TSDC)测试结果表明掺杂KNN陶瓷具有更高的剩余极化强度,其铁电性在MnO2成分优化后得到明显提升;此外,MnO2作为助烧剂有效降低了陶瓷的烧结温度,促进了致密化,同时Mn的掺入可能起到补偿碱金属离子的挥发,从而降低缺陷浓度的作用。微观上,通过利用压电力显微镜(PFM)对陶瓷样品进行局部极化测试,并对不同区域进行写畴,发现Mn掺杂样品中的铁电畴具有更高的压电活性,更容易在电场下发生翻转,对压电响应产生更大贡献;极化翻转谱测试的结果也表明掺杂陶瓷具有更高的微观压电应变,同时相位-电压曲线呈现更好的矩形度。
图文导读

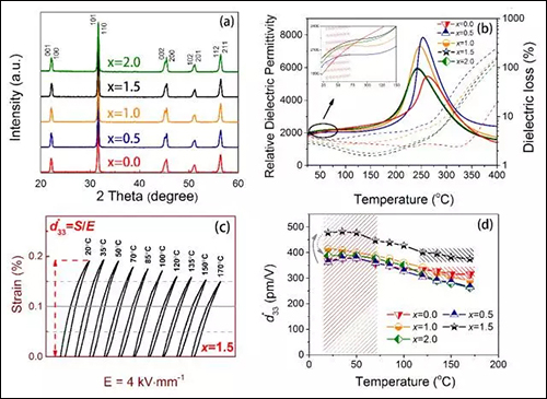
图1 KNN-BLT-BZ-xMn陶瓷的相结构和性能表征
(a)不同Mn掺杂量陶瓷的室温XRD
(b)不同Mn掺杂量陶瓷的介温谱,材料在室温附近存在弥散的两相共存区域
(c)Mn掺杂量x=1.5陶瓷的变温单向场致应变曲线
(d)不同Mn掺杂量陶瓷的变温压电应变常数(d33*)

图2 KNN-BLT-BZ-xMn陶瓷的表面形貌
(a-b)未掺杂Mn陶瓷的扫描电镜(SEM)和压电力显微镜(PFM)照片
(c-d)Mn掺杂量x=1.0陶瓷的扫描电镜(SEM)和压电力显微镜(PFM)照片

图3 KNN-BLT-BZ-xMn(x=1.5)陶瓷的变温压电应变性能
Mn掺杂量x=1.5陶瓷与代表性铅基、KNN基无铅压电陶瓷变温压电应变性能对比

图4 KNN-BLT-BZ-xMn(x=1.5)陶瓷的阻抗特性和TSDC测试
(a)未掺杂Mn陶瓷的室温阻抗谱
(b)Mn掺杂量x=1.5陶瓷的阻抗谱
(c)Mn掺杂量x=0.0和x=1.5陶瓷的热刺激退极化电流(TSDC)测试
(d)Mn掺杂量x=0.0和x=1.5陶瓷的剩余极化强度对比

图5 KNN-BLT-BZ-xMn(x=1.5)陶瓷的PFM测试
(a-b)未掺杂Mn陶瓷的局部极化测试
(c)未掺杂Mn陶瓷的极化翻转谱测试
(d-e)Mn掺杂量x=1.5陶瓷的局部极化测试
(f)Mn掺杂量x=1.5陶瓷的极化翻转谱测试
小结与展望
该文章中,研究人员利用MnO2对KNN-BLT-BZ无铅压电陶瓷进行组分优化,获得了压电应变常数为470 pm/V且具有优异温度稳定性的KNN基无铅压电陶瓷。结合多种表征方法,将无铅陶瓷的宏观压电响应与微观铁电畴进行关联,为进一步提高无铅陶瓷的压电性能指明了方向,也为无铅压电陶瓷进一步的产业化应用注入了希望。
该文的第一作者为清华大学材料学院硕士研究生张茂华同学,通讯作者为清华大学王轲副教授。该工作得到国家自然科学基金委重点基金、清华大学自主科研基金等项目的支持。
更多关于材料方面、材料腐蚀控制、材料科普等方面的国内外最新动态,我们网站会不断更新。希望大家一直关注中国腐蚀与防护网http://www.ecorr.org
责任编辑:刘洋
投稿联系:编辑部
电话:010-62313558-806
邮箱:fsfhzy666@163.com
中国腐蚀与防护网官方 QQ群:140808414
免责声明:本网站所转载的文字、图片与视频资料版权归原创作者所有,如果涉及侵权,请第一时间联系本网删除。
-
标签: 无铅压电陶瓷, 铅基陶瓷, 铌酸钠钾基陶瓷(KNN)
官方微信
《中国腐蚀与防护网电子期刊》征订启事
- 投稿联系:编辑部
- 电话:010-62316606-806
- 邮箱:fsfhzy666@163.com
- 中国腐蚀与防护网官方QQ群:140808414



