碳纤维复合材料因轻质高强、抗疲劳、耐腐蚀、可设计性强等一系列特性,在航空航天、汽车、船舶、能源、建筑等领域的应用与日俱增。然而,由于碳纤维表面光滑、惰性大、具有化学活性的官能团少,导致碳纤维与基体树脂之间的界面粘结强度低,界面存在较多缺陷,往往成为复合材料的薄弱环节。
宁波材料所所属先进制造所复合材料智能制造与装备团队在石墨烯强韧化碳纤维复合材料关键技术方面取得了重要进展。
在前期研究工作中发现,石墨烯纳米粒子接枝到碳纤维表面可以有效提高碳纤维复合材料的界面性能(ACS Applied Materials & Interfaces, 2012,4, 1543)。为了实现石墨烯改性碳纤维的规模化路线,采用石墨烯改性上浆剂对碳纤维表面进行改性,以提高碳纤维复合材料的界面性能。研究人员通过对石墨烯表面改性,制备出在水溶液和上浆剂中均能稳定分散的石墨烯,通过对石墨烯尺寸的分级调控,制备出了表面改性的石墨烯(如图1),可以稳定分散于不同的上浆剂体系中,成功实现了石墨烯在上浆剂中的稳定分散技术。
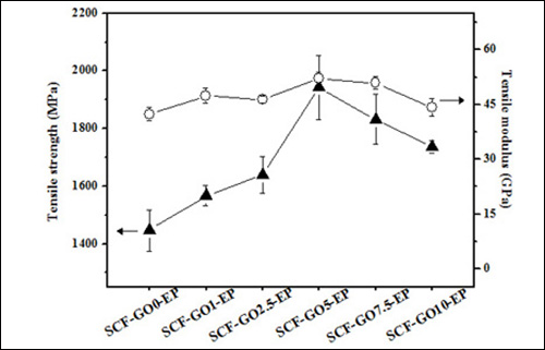
通过相反转法和自乳化法成功研发出两种具有良好稳定性的石墨烯改性上浆剂(如图2),并且有效提升了碳纤维的复合材料的界面粘结性能,其界面剪切强度(IFSS)可达92.3 MPa(如图3),而且碳纤维的上浆率低于1.5%,饱和吸水率低于2%。采用石墨烯强韧化碳纤维,优化加工成型工艺条件,得到综合性能优异的石墨烯强韧化碳纤维复合材料,复合材料层间剪切强度可达73.5 MPa;I型层间断裂韧性提高幅度为33.3%。该研发成果已申请发明专利(CN 201610296461.7)。
以上工作得到了宁波市石墨烯重大科技专项(2014S10004)的大力支持。

碳纤维复合材料界面微观结构和界面剪切强度(IFSS)


单向碳纤维复合材料的层间剪切强度(ILSS)和拉伸性能
免责声明:本网站所转载的文字、图片与视频资料版权归原创作者所有,如果涉及侵权,请第一时间联系本网删除。
官方微信
《中国腐蚀与防护网电子期刊》征订启事
- 投稿联系:编辑部
- 电话:010-62316606-806
- 邮箱:fsfhzy666@163.com
- 中国腐蚀与防护网官方QQ群:140808414



