在国家对环保提出越来越严格要求的关键时刻,笔者详细介绍了一种用于机械产品表面的水性涂层,此水性涂层完全符合环保标准要求,VOC排放小于80g/l,广泛用于各类工程机械、农用机械、工程车辆、机床、民用机械等产品领域,为其表面的涂装提供了一种国内最具有创新性的的水性涂层技术,此技术获得了国家授权专利,专利号为:CN103468092A1。
引言
随着国家对环保要求越来越严格,国家先后出台了新《环保法》,“消费税”,“排污税”,以及相应城市出台为了治理PM2.5禁止油性油漆的生产和使用,如何实现环境友好型涂层的技术发展是涂料界目前最关键的创新时刻。在国家对环保提出越来越严格要求的关键时刻,笔者在此介绍一种用于机械产品表面的水性涂层,此水性涂层完全符合环保标准要求,VOC排放小于80g/ml,广泛用于各类工程机械、农用机械、工程车辆、机床、民用机械等产品领域,为其表面的涂装提供了一种国内最具有创新性的水性涂层技术,此技术获得得了国家授权专利,专利号为:CN103468092A。
此技术共分为两个产品,一种是采用水性环氧酯乳液制作的水性防腐底漆,一种是采用了羟基丙烯酸乳液拼合亲水型异氰酸酯固化剂制作的水性丙烯酸聚氨酯面漆。通过海选试验后,笔者从中选出10个最有代表性的配方进行阐述其整个试验的过程。
机械产品表面的水性防腐底漆制备
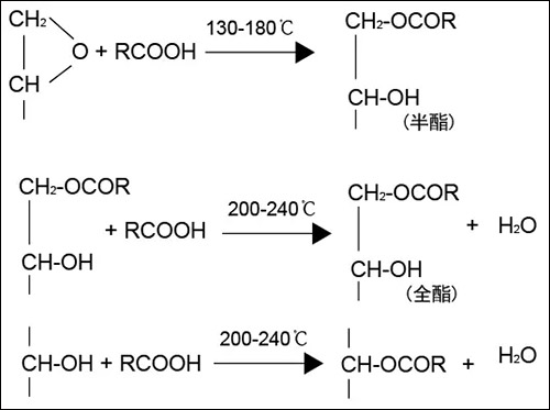
机械产品表面的水性防腐底漆采用的是水性环氧脂肪酸酯为主体原料,拼合防锈颜料、颜料、水性助剂、填充料制成的水性防腐底漆。其中水性环氧脂肪酸酯是利用脂肪酸的羧基与环氧树脂的环氧基和羟基发生酯化反应,生产环氧酯,然后再通过对环氧酯进行乳化所得2。其反应过程如下:

原料
环氧酯乳液A:AE605(北京金汇利应用化工制品有限公司)、环氧酯乳液B:RD-600A(鞍山润达化工)、颜料:190D氧化铁红(河南新乡氧化铁厂)、环保防锈颜料:X-500(常州众普科技有限公司)、填料:分散剂:706W(迪高)、硫酸钡与重质碳酸钙(山东淄博雍滨矿石厂)、防沉剂:有机膨润土SMP-HV(浙江丰虹材料有限公司)、消泡剂:NXZ(德国巴斯夫)、抑泡剂:643(美国凯米拉)、流平剂:2025(法国高帝斯)、催干剂:HD-CG01(北京金汇利应用化工制品有限公司)、防闪锈剂:亚硝酸钠(化工超市)、增稠剂:3800(法国高帝斯)、中和剂:AMP-95(美国陶氏化学)、去离子水(自制)。
试验配方

水性防腐底漆制备工艺
采用10%的去离子水I将混合均匀的10%的环氧酯乳液A和10%的环氧酯乳液B进行稀释,后加入中和剂AMP-95调节pH值至8.5-9.5,再加入催干剂HD-CG01,接着边搅拌边加入用5%的去离子水II稀释剂好的分散剂706W和抑泡剂,搅拌速度300转/分,继续搅拌使其混合均匀,得到预乳液;
在步骤1所得的预乳液中边搅拌边加入10%190D氧化铁红、500目硫酸钡、500目重钙和防沉剂有机膨润土SMP-HV,采用750转/分分散10分钟,然后以锆珠为研磨介质进行研磨,至细度达到40微米,得到研磨浆料;
向步骤2得到的研磨浆料中加入10%的环氧酯乳液A,同时采用中和剂AMP-95进行中和至pH为8-9,然后加入消泡剂NXZ,采用250转/分速度搅拌10分钟,再加入X-500磷钛粉,搅拌合其混合均匀,搅拌速度为800转/分,得到混合浆料;
向步骤3得到的混合浆料中加入采用5%的去离子水III溶解的防闪锈剂亚硝酸钠,同时加入用去离子水IV稀释的2025流平剂,过滤,以去除锆珠,再加入3800增稠剂调整粘度,粘度控制在70-90KU,即得到各实施例的水性防腐底漆。
样板制备
钢板选择:普通低碳薄钢板为底材,尺寸为70mm*150mm*0.8-1.5mm;
底材处理:先采用溶剂将表面进行清洗干净,然后采用1000目砂纸进行打磨处理,确保钢材表面彻底清除干净;
采用自来水按照1:0.1-0.3兑稀后喷板,常规性能检测板喷涂厚度控制在20-30?m,耐盐雾性能测试板喷涂厚度控制在80-100?m;
常规性能检测板,室温条件下养护48小时后检测;耐盐雾性能板,室温条件下养护7d后进行性能测试;
性能测试
测试项目检测方法:漆膜厚度依照国标GB/T13452.2,干燥时间依照GB/T1728,附着力依照GB/T1720,光泽依照GB/T9754,耐冲击依照GB/T1732,韧性依照GB/T11185,耐水性依照GB/T1733,耐盐雾性能测试GB/T1771。
水性防腐底漆试验结果

机械产品表面的水性丙烯酸聚氨酯面漆涂层
机械产品表面的水性丙烯酸聚氨酯面漆是采用羟基丙烯酸聚氨酸乳液为主体原料,按照OH/NCO=1:1.2-1.5的设计原料进行固化,A组份中添加了耐晒颜料、填料、水性助剂拼合制作成水性丙烯酸聚氨酯面漆,B组份由四甲基苯二亚甲基二异氰酸酯(TMXDI)组成。其反应原理3:

原料
羟基丙烯酸乳液:RHA308(北京金汇利应用化工制品有限公司)、钛白粉:R-706(美国杜邦)、碳黑:140V(德国德固萨)、中铬黄:107(河南佳彩化工)、有机膨润土:SMP-HV(浙江丰虹材料有限公司)、大红粉:3132(河南鹏呈化工)、酞青兰:BGS(江苏双乐化工)、硫酸钡(沉淀硫酸钡,山东淄博雍滨矿石)、分散剂:706W(迪高)、消泡剂:NXZ(德国巴斯夫)、抑泡剂:643(美国凯米拉)、流平剂:245(迪高)、增稠剂:PUR62(东方澳汉化工)、中和剂:AMP-95(美国陶氏)、亲水型固化剂:3174(德国拜耳)、去离子水。

水性面漆制备工艺
用去离子水V将30%的羟基丙烯酸乳液进行稀释,后加入中和剂AMP-95调节pH值至8.5-9.5,接着边搅拌边加入去离子水VI稀释好的分散剂706W和抑泡剂643,搅拌速度250转/分,继续搅拌使其混合均匀,得到预乳液;
在步骤1中所得到的预乳液中边搅拌边加入颜料(钛白粉R706、碳黑140V、中铬黄107、大红粉3132、酞青兰BGS)、沉淀硫酸钡、和防沉剂有机膨润土SMP-HV,搅拌使其混合均匀,后以锆珠为研磨介质进行研磨,至细度达到20微米,得到研磨浆料;
向步骤2得到的研磨浆料中加入余下的羟基丙烯酸乳液,同时采用中和剂AMP-95将pH值的调整至8.5-9,然后加入消泡剂NXZ,搅拌使其混合均匀,搅拌速度为250转/分,搅拌时间为10min,得到混合浆料;
向步骤3得到的混合浆料中加入用去离子水VII稀释的流平剂245,过小组,以去除锆珠,再加入增稠剂PUR62调整粘度,粘度控制在60-80KU,即得到水性面漆。
水性面漆性能样板制备
钢板选择:普通低碳薄钢板为底材,尺寸为70mm*150mm*0.8-1.5mm;
底材处理:先采用溶剂将表面进行清洗干净,然后采用0#砂纸进行打磨处理,确保钢材表面彻底清除干净;
将实施例6-实施例10的样品按照A组份:B组份=6:1(重量比)进行调配,加入5-10%的去离子水将喷涂粘度调整至18-26S(NK-2岩田2号杯);
采用喷涂的方式喷涂复合层及耐化学性能测试干板,水性防腐底漆与水性面漆复合层的厚度控制在140?m,耐化学性能测试干板漆膜厚度控制在60-80?m,室温条件下养护7d后进行耐化学性及耐盐雾性能测试;
物理性能测试板,采用马口铁片喷涂方式制板,漆膜厚度控制在20-30微米,室温条件下养护2d后进行测试。
性能测试
测试项目检测方法:漆膜总厚度依照GB/T13452.2,干燥时间依照GB/T1728,附着力依照GB/T1720,光泽依照GB/T9754,耐冲击依照GB/T1732,韧性依照GB/T11185,耐化学性依照GB/T1763,耐人工老化性依照GB/T23987;耐盐雾性依照GB/T1771。
配方设计分析
此产品设计基础主要根据国家对环境保护要求,全部采用水性体系设计整个配方,完全符合于PM2.5及环保标准要求;
水性防腐底漆采用水性环氧酯乳液为主体原料,拼合防锈颜料、助剂而设计,使得其具有最佳的防腐性能,耐盐雾性能超过1000小时;
水性丙烯酸聚氨酯面漆采用水性羟基丙烯酸聚氨酯乳液为主体原料,拼合四甲基苯二亚甲基二异氰酸酯(TMXDI)组合成2K型水性环保涂料,具有非常优异的耐化学性、耐候性的同时,结合水性防腐底漆制备的复合层,耐盐雾性能超过2000小时;
结果讨论
通过反复试验求证,此次例出的实施1-实施10完全具有代表性的配方,通过精心设计后,使得其具有非常优异的防腐性能、耐化学性能以及耐人工老化性能;
工程机械、农用机械、民用机械、工程车辆、机床以往一直采用传统的油性体系进行涂装,因此类设备体积较大,不方便在密闭环境下涂装,从而导致对环境造成了极大的影响,同时对操作工人的身体造成极大影响。很大一部分客户就在露天作业施工,给PM2.5造成了极大的影响;
此产品具有国内最前沿、最具有创新的水性涂料技术,已经于2013年9月24日向国家专利局申请专利保护,并于2015年12月授权,其专利号为:CN103468092A;
结论
笔者主要介绍了一种用于机械产品表面的水性涂层,包括了水性环氧酯防腐底漆和水性丙烯酸聚氨酯各色面漆,使得漆膜具有非常优异的防腐性能、耐化学性能以及耐候性能,广泛应用于各类机械产品表面的涂装,具有非常优异的装饰效果、防护效果。此技术具有国内最前沿、最具有创新性的技术,获得了中国专利保护。同时已经完全“产业化”,大量应用于国内机械产品上,并获得了市场的好评。
免责声明:本网站所转载的文字、图片与视频资料版权归原创作者所有,如果涉及侵权,请第一时间联系本网删除。
官方微信
《腐蚀与防护网电子期刊》征订启事
- 投稿联系:编辑部
- 电话:010-62316606-806
- 邮箱:fsfhzy666@163.com
- 腐蚀与防护网官方QQ群:140808414



