
近年来,通过实验和计算机模拟发现,在非晶合金中存在一些纳米尺度的类似于液体的区域。和周围区域相比,类液体区域表现出较低的原子堆积密度,较低硬度和模量,较高的能态,容易剪切变形和容易流动等特性。结合这些研究结果,中国科学院物理研究所/北京凝聚态物理国家实验室(筹)汪卫华研究组提出了流动单元(flow units)模型来理解和解释非晶态物质的物理和力学问题,认为非晶合金中的流动单元类似晶态材料中的缺陷,其浓度、尺寸和能量的分布决定非晶合金的力学等性能,老化及其他特性,通过调控非晶合金中的流动单元,可以有效地提高和改进非晶合金的力学等性能。这些工作对非晶合金性能及老化行为的调控及改性有一定的指导作用。
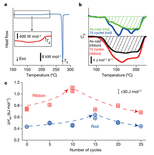
最近,研究组汪卫华研究员、白海洋研究员和博士研究生鲁振与剑桥大学A. L. Greer教授领导的研究组,以及日本东北大学D. V. Louzguine-Luzgin 领导的研究组合作,发展了一种简单的非晶合金材料热循环处理工艺。该工艺将非晶合金在液氮或者液氦中浸泡几分钟,然后快速升温至室温并保持几分钟,如此多次循环。经过数十次循环之后发现,非晶合金整体能量升高,表现为非晶合金微分扫描量热(DSC)曲线晶化前结构弛豫放热峰得到明显的增强。通过力学测试发现,热循环之后合金的硬度有明显降低; 通过力学实验机压缩测量,热循环之后,合金的压缩塑性增加到7%以上,且表面剪切带的数量增加。通过动态力学测试仪(DMA)测量动态加载情况下非晶合金的损耗模量发现,热循环之后损耗峰的位置向低温区移动,且强度提高。这些结果都表明,经过热循环处理之后流变单元的数量显著增加,非晶合金的结构更加不均匀,使合金发生恢复效应,即经过处理的非晶合金抗老化能力大大增强。 非晶合金抗老化能力增强的表现之一就是使得非晶在受力条件下,更多的流变单元能演化成剪切带,形变中更容易产生剪切带。非晶的宏观塑性形变主要由剪切带的数目决定,这样可大大提高非晶合金的宏观塑性。
冷热循环抗非晶合金老化方法和和离子辐照、表面喷丸、强变形等方法相比,具有非破坏、不改变形状、不限制样品尺寸、不产生剪切带等特性,更重要的是在工业上易于实现。通过这些方法,可以有效地提高非晶合金的机械性能并且降低工艺处理成本,对非晶合金的工业化生产以及商业化应用可起到重要推动作用。
相关结果发表在Nature,524,200–203(2015)上。本项工作得到了国家自然科学基金项目,973项目和中国科学院的支持。

图1:非晶合金热循环示意图。循环温度均低于β弛豫峰温度,经过循环处理之后,合金内部flow units含量升高

图2:热循环处理前后DSC曲线图。通过热处理之后,非晶合金发生恢复现象,且与循环次数相关

图3:通过热循环处理之后,样品的屈服强度和硬度明显地降低

图4:热循环之后,样品的压缩塑性得到提升
责任编辑:王元
《中国腐蚀与防护网电子期刊》征订启事
投稿联系:编辑部
电话:010-82387968
邮箱:ecorr_org@163.com
中国腐蚀与防护网官方 QQ群:140808414
官方微信
《中国腐蚀与防护网电子期刊》征订启事
- 投稿联系:编辑部
- 电话:010-62313558-806
- 邮箱:fsfhzy666@163.com
- 中国腐蚀与防护网官方QQ群:140808414


