哈工大JMST新成果:Ti40Nb30V20Zr5Mo5轻质难熔高熵合金实现强塑性协同与高温强化
2025-09-11 13:25:49 作者:材料强化与防护 来源:材料强化与防护 分享至:

 

难熔高熵合金(RHEAs)和难熔复杂浓缩合金(RCCAs)因其高强度和耐高温性能而备受关注,但如何在轻量化的同时兼顾强度与塑性,并保持高温下的力学性能,一直是这一领域的瓶颈,Ti基RCCAs因其低密度和潜在的延展性,成为近年来的研究热点。

近日,哈尔滨工业大学团队联合中国科学院金属所,在《Journal of Materials Science & Technology》期刊在线发表了题为“Insights into multi-effects of single element Mo in Ti-rich Ti40Nb30V25−xZr5Mox refractory complex concentrated alloys: Strength-ductility synergy and high-temperature strengthening”的研究论文,在这项研究中,团队为了在保持轻质化和良好延展性的前提下提升Ti基RCCAs合金的力学性能,通过单一元素Mo的精准调控来调节合金的原子应变场、位错行为与电子结构。论文通讯作者为哈尔滨工业大学安琦副教授黄陆军教授

文章链接:

https://doi.org/10.1016/j.jmst.2025.07.052


【核心内容】


团队设计的Ti40Nb30V20Zr5Mo5合金在室温下表现出867MPa的屈服强度与26%左右的延伸率,并在1073K的高温下仍保持超过500MPa的抗拉强度,这样优异的性能组合来源于Mo的引入,团队发现,Mo能够显著增加晶格模量错配和不均匀原子应变场,同时促使位错在滑移过程中更易发生交滑移与缠结,最终表现为在合金内构建更为复杂的位错亚结构网络。

图形摘要


【研究方法】


团队通过真空电弧熔炼法熔炼纯度≥99.95 wt.%的Ti、Nb、V、Zr和Mo的金属颗粒以此制备Ti40Nb30V25−xZr5Mox (x=0,3,5)合金,为了表征合金在高温条件下的力学性能变化,分别在室温与高温条件下进行拉伸试验,应变速率分别为5.6×10−4 s−1(室温)和1×10−3 s−1(高温),且测试均重复至少三次以保证可重复性,并使用纳米压痕机进行5×5压痕阵列的纳米压痕测试,结合DIC、SEM、EBSD、TEM以及CALPHAD相图计算与DFT模拟,深入揭示Mo在合金中的多重作用机制。


【研究成果】


① 单相结构与微观特征

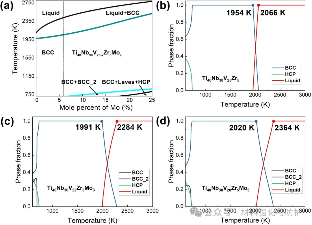
在引入Mo之后,合金依然保持单相体心立方结构,未观察到含Mo析出相,且随着含Mo量的增加,平均晶粒尺寸得到细化,Mo5(Ti40Nb30V20Zr5Mo5)的平均晶粒尺寸为16.6μm

合金相图与稳定区间(CALPHAD计算结果)


EBSD晶粒取向与相分布


② Mo引入提升原子尺度应变场

Mo的加入引入的更大的原子应变,并使其分布趋于不均匀分布,使位错在滑移过程中受到更强阻碍,从而提升了合金的本征强度。

HRTEM与原子应变分布


③ 室温力学性能:强度与延展性的协同提升

Mo元素的引入协同提升了合金的强塑性,Mo5在室温下的屈服强度比Mo0提高了20%,达到了867MPa,同时延伸率提高至25%左右,应变硬化速率稳定保持在约2GPa,Mo5在拉伸过程中应变分布更加均匀,相比Mo0有效延缓了局部颈缩的发生。

应力–应变曲线与应变硬化行为


DIC应变场分析


TEM变形亚结构


④ 高温性能:轻质合金的优异强度保持能力

在高温下,密度仅6.4g/cm³的Mo5合金表现出优异的综合力学性能,在1073K时,抗拉强度仍可超过500MPa,这一性能表现优于传统钛合金和部分Ni基高温合金。

高温拉伸后显微组织演变


DFT计算的电子结构


Mo5与Ni基超合金、Ti合金、TiAl合金等的高温强度对比图


【总结与展望】


该研究开发出了一种新型的Ti40Nb30V20Zr5Mo5RCCA,该合金具有相对低的密度,在室温与高温条件均有优异的力学性能,这项研究为设计新型轻质耐高温结构材料提供了重要思路,未来有望在航空航天和能源装备领域发挥重要作用。

免责声明:本网站所转载的文字、图片与视频资料版权归原创作者所有,如果涉及侵权,请第一时间联系本网删除。

    标签:
相关文章
无相关信息