高性能材料的需求程度随着工业化的快速发展而急剧增加,在诸多金属材料中,钢在建筑以及交通等领域中非常重要,但传统钢在强度、延展性和韧性之间存在着无法兼顾的问题,而Q-P-T钢虽然具有优良的力学性能,但其冲击韧性因应变诱导孪晶马氏体对缺口敏感而存在重大挑战。
近日上海交通大学陈乃录研究员和香港城市大学吕坚院士团队提出了一种新的多尺度设计方法使Q-P-T钢的冲击韧性增加了4倍,不仅展示了多尺度设计在压应力梯度和组织梯度上优化钢性能的潜力,而且为高性能材料在动态载荷应用中提供了一种可扩展且经济的解决方案。相关研究结果以“Enhancing impact toughness of Q-P-T plain steels via multiscale design: Resolving the strength-toughness balance”为题发表在国际期刊《Scripta Materialia》上。
文章链接:
https://doi.org/10.1016/j.scriptamat.2025.116890
【核心内容】
该研究利用了DAMAI效应和QPT-LE模型使钢中残余奥氏体含量优化到约10%,并通过细化碳颗粒提高了机械稳定性。另外作者使用表面机械研磨处理(SMAT)的方式让钢表面形成了残余压应力和微观结构梯度,增强了冲击时的能量吸收。结果使Q-P-T钢的冲击韧性提高了4倍,同时保持了UTS1.8~2.1GPa的高强度。
图形摘要
【研究方法】
该研究在1150℃下对Q-P-T钢板热轧,水淬至600℃后空冷至室温(RT),随后在830℃奥氏体化 360 s,淬火至190/170/150/130/110/90/70℃和RT,分区600s后水冷。作者以11.5 m/s的速度进行SMAT,先用 Φ1.8mm 的 ZrO₂球(20g)处理 20 分钟,再用 0.5mm 的球(20g)处理 10 分钟,以形成残余压应力梯度和微观结构梯度。通过显微硬度、冲击测试和室温拉伸测定力学性能,使用 XRD、SEM、EBSD、TKD 和 TEM表征材料的物相和微观结构等。
圆形试样的SMAT处理装置及其工作演示
【研究成果】
① 力学性能的优化
优化后Q-P-T钢的冲击韧性较优化前提高了4倍,其中淬火温度为 110℃的 Q-P-T 钢在 SMAT 处理后,冲击吸收能量(A k)从 8.93J 提升至 32.83J。在冲击韧性提升的同时,材料保持了高强度,强度与韧性乘积(PST)较常见高强度工程钢提升10倍,成本效益显著优于同类材料。
样品制备方法及力学性能
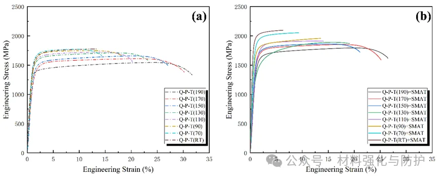
不同状态下Q-P-T钢应力-应变曲线
表 Q-P-T钢和Q-P-T + SMAT钢在不同Tq下的力学性能
表 普通工程钢的原材料成本、极限抗拉强度(UTS)、冲击吸收能(Ak)和UTS ×Ak
② 表面梯度结构的形成
该研究发现当残余奥氏体含量(VRA)约为10%时能有效减少脆性应变诱导孪晶马氏体,同时保持良好延展性,使冲击韧性达到峰值。在SMAT处理后可以使材料表面形成包括0-40μm的纳米晶区、晶粒尺寸40-50μm的过渡区和大于50μm的基体区的梯度结构,表面硬度峰值约940HV,硬化层厚度约50μm,且高VRA样品能达到如80μm的更深硬化层。
XRD结果和相应的VRA
V形缺口表面晶粒尺寸和相分数的梯度分布
明场和暗场像以及选区电子衍射图:(a) 纳米马氏体,(b) 马氏体孪晶,(c) 马氏体板条与RA呈K-S取向关系,(d) Q-P-T (110) + SMAT钢中η碳化物和 (e) NbC碳化物
③ 性能提升机理
研究通过DAMAI效应促进了位错跨马氏体/奥氏体界面迁移,减少了马氏体中位错的积累以增强变形能力,通过SMAT处理形成的微观结构梯度延缓了裂纹扩展并促进均匀变形,形成的残余压应力梯度抵消了缺口拉应力并降低裂纹驱动力。
SMAT诱导的v形缺口尖端梯度压应力
Q-P-T + SMAT钢的协同强化机制图
【总结与展望】
这项研究通过多尺度设计的方法成功将Q-P-T钢的冲击韧性提升4倍的同时保持了高强度(UTS:1.8~2.1GPa),有效保证了“强度-韧性”的平衡,该多尺度设计为高性能低成本钢材的开发提供了新框架,有望应用于更广泛的工程应用场景,并为其它金属的性能优化提供可参考的研究思路。
免责声明:本网站所转载的文字、图片与视频资料版权归原创作者所有,如果涉及侵权,请第一时间联系本网删除。
官方微信
《腐蚀与防护网电子期刊》征订启事
- 投稿联系:编辑部
- 电话:010-62316606
- 邮箱:fsfhzy666@163.com
- 腐蚀与防护网官方QQ群:140808414
















