导读:绝热剪切带(ASB)是金属和合金在冲击载荷作用下的一种关键失效机制。研究了具有高含量相干纳米析出物的面心立方(FCC)基高熵合金(HEA)中 ASB 的形成机制。与传统 FCC 结构合金通常表现出较低的剪切带能力不同,本文所展示的 FCC 结构 HEA 在动态载荷下表现出超高的绝热剪切敏感性(ASS)。提出了一种新机制,即由相对较低温度下高含量 L1 2 纳米析出物的瞬时溶解所诱导,该机制被认为是增强剪切不稳定性 responsible。在室温下,这些高含量 L1 2 纳米析出物显著提高了强度;然而在动态载荷下,变形集中导致局部温度升高,触发纳米析出物的瞬时溶解。这导致局部剪切强度急剧降低,并促进了 ASB 的形成。 纳米尺寸特征、低能界面以及析出物的类似共晶结构综合作用,促成了在相对较低温度下的瞬时溶解过程。这种新型剪切带机制为设计具有增强超高温绝热剪切敏感性的延性合金提供了一种新途径。
绝热剪切带(ASBs)是承受冲击载荷的金属和合金的一种关键失效机制[1]。在 ASBs 形成过程中,变形被局部集中在非常狭窄的区域(通常为 1-200 微米)内,并在极短的时间内发生(数十微秒),导致温度显著升高[2,3]。应力崩溃的临界剪切应变γc 较低,表明绝热剪切敏感性(ASS)较高,这意味着剪切失效的倾向更强,这在穿甲和高速加工等应用中是期望的[4,5]。
ASBs 在剪切方向上软化作用超过硬化作用时会出现[6]。硬化机制主要包括应变硬化,由位错-位错和位错-边界相互作用引起,以及应变率硬化。软化机制包括热软化和微观结构软化,后者主要由于动态再结晶(DRX)和微孔演化[7,8]。ASS 受多种复杂因素影响,这些因素影响硬化与软化作用的竞争,包括力学性能(例如强度、应变硬化)、热性能(例如热导率、比热)和微观结构特征(例如相组成、晶粒尺寸)[9,10]。通常,具有高强度、弱应变和应变率硬化以及低热导率的材料在高加载速率下更容易形成 ASB[11]。
体心立方(BCC)和面心立方(FCC)结构的金属和合金在绝热剪切敏感性(ASS)上表现出显著差异,这主要归因于它们强化能力的不同。BCC 合金通常具有高 ASS 和较弱的应变硬化能力,而 FCC 合金则表现出对绝热剪切带(ASB)形成的强抵抗能力,并具有优异的应变硬化能力,如图 1 所示[[20], [36], [37], [38], [39], [40], [41], [42], [43], [44], [45], [46], [47], [48], [49], [50], [51], [52], [53], [54], [55], [56], [57], [58], [59], [60]]。BCC 合金中的塑性变形主要由螺位错控制,当遇到阻碍时,螺位错可以交叉滑移,从而减少位错缠结并削弱应变硬化[12]。此外,位错激活所需的高临界应力限制了位错增殖,进一步降低了应变硬化速率[13,14]。相比之下,FCC 合金具有许多密排面和相对较低的层错能,这使得平面滑移充分,并促进了相互位错堆积[15,16]。这一特性赋予了 FCC 合金卓越的应变硬化能力。 引入析出物是提高合金强度的一种常用策略,同时也会影响绝热剪切敏感性(ASS)。如图 1 所示,析出强化(PH)BCC 和 PH-FCC 合金通常比其单相对应物更容易发生剪切破坏。这种增加的倾向主要源于析出物-基体界面处的变形不匹配,这会导致局部应力/应变集中,促进热点或动态再结晶(DRX)的形成,并促进绝热剪切带(ASB)的萌生[17,18]。在某些情况下,变形过程中的析出物粗化或动态析出可以通过耗散能量或减少局部软化来阻碍 ASB 的形成,例如 BCC 钢中的富铜析出物[19]。PH-BCC 合金通常表现出高 ASS,因为它们的基体本身具有有限的均匀变形能力。析出物在 FCC 合金中促进 ASS 的能力相对有限。在 FCC 基体中,析出物周围的位错快速增殖会显著提高局部强度,导致应变重新分布到周围材料中,从而缓解应变局部化[20]。图中的大多数 PH-FCC 合金 1 展示的 γ 值大于 1,表明对 ASB 形成有显著抵抗。
采用多主元策略设计的高熵合金(HEAs)是一类具有优异性能的新型合金[21,22]。通常,体心立方(BCC)结构的高熵合金(包括面心立方-体心立方转化型高熵合金 PH-BCC)的绝热剪切敏感性(ASS)高于传统 BCC 金属和合金,这可能是由晶格严重畸变导致的动态屈服应力更高,以及应变硬化能力较弱所致[25,26]。相比之下,面心立方(FCC)结构的高熵合金(包括面心立方-体心立方转化型高熵合金 PH-FCC)比传统 FCC 金属和合金更难形成绝热剪切带(ASB)。多主元效应降低了高熵合金中的堆垛层错能,从而在变形过程中促进堆垛层错和变形孪晶的形成[[27], [28], [29]]。这些微观结构响应增强了应变硬化,并显著延缓了剪切局部化[30,31]。在 FCC 高熵合金中诱导 ASB 通常需要极端实验条件,例如弹道冲击试验[32]、在极高剪切应变和应变率下的动态强制剪切试验[31],或在低温下的严重剪切变形[11]。 析出物的加入进一步促进了动态载荷下的变形孪晶,并使 PH-FCC 高熵合金能够保持对 ASB 形成的高抗性[33,34]。
然而,在本研究中,Al 0.5 Cr 0.9 Fe 1 Ni 2.5 V 0.2 (由梁等人[35]设计,称为 GS2.5),一种具有高含量共格 L1 2 纳米析出物的 FCC 结构高熵合金,被发现具有超高的绝热剪切敏感性(ASS)和相当好的应变硬化能力,这两种特性被认为是相互排斥的(图 1)。该合金的归一化应变硬化率大于 1,高于大多数 BCC 合金,并反映了 FCC 合金的典型特征。然而,FCC 结构 GS2.5 的层错能比其他 FCC 合金低一个数量级,甚至低于 BCC 合金。具有与 GS2.5 类似的 FCC 基体和纳米析出物类型、含量和尺寸的常规 PH-FCC 合金,如 DD5 和 DD10 合金,在动态压缩下不会形成绝热剪切带[23,24]。此外,在 GS2.5 的 FCC+L1 2 区域没有观察到明显的位错堆积(见图)。 S1), 表明 GS2.5 中由相干 L1 2 纳米析出物引起的应变集中是有限的。因此,析出物增强应变集中的传统机制[17,18]无法完全解释高 ASS。这种异常现象表明存在完全不同的剪切破坏机制。自然产生的问题是:是什么驱动了 GS2.5 的高 ASS?
在北京理工大学的研究中,通过系统表征其力学性能和微观结构演变,研究了 GS2.5 的绝热剪切带形成机制。提出了一种与相对较低温度下高含量共格纳米析出物的瞬时溶解密切相关的新型 GS2.5 绝热剪切带形成机制。详细讨论了 GS2.5 的特定微观结构对析出物溶解过程的影响。本研究旨在加深我们对沉淀硬化 FCC 高熵合金中绝热剪切带形成机制的理解,为高速冲击服役条件下的材料设计提供新思路。
相关研究成果以“Novel mechanism of ultra-high adiabatic shear susceptibility in FCC-based high-entropy alloys via high-content nanoprecipitate dissolution”发表在Acta Materialia上
链接:https://www.sciencedirect.com/science/article/pii/S1359645425005671?via%3Dihub
图 1. 不同相结构金属和合金的临界剪切应变和归一化应变硬化率(dσ/dε)/σ的比较。其中 PH 代表沉淀硬化合金;当应变达到断裂应变的 1/2 时计算归一化应变硬化率;(dσ/dε)/σ > 1 表示均匀变形。
图 2. (a) 动态测试中使用的圆柱形和平顶帽形试样的几何尺寸,此处平顶帽形试样的厚度为 3 mm;(b) 帽形试样在 SHPB 载荷下的示意图及红外成像区域。
图 3. (a) GS2.5 的 HEXRD 光谱;(b) GS2.5 样品纵向截面的 SEM 图像;(c) 通过 3DAP 检测的 GS2.5 中 FCC/L1 2 界面的 1D 浓度分布(采样位置显示在重建中的黑色方框内);(d) GS2.5 中 FCC/L1 2 界面的 HAADF-STEM 图像。
图 4. (a) GS2.5 在不同应变率下的力学响应;(b) 静态和动态压缩下的断裂试样;(c) 圆柱试样中形成的 ASB 的 OM 图像;(d) ASB 内部微观结构的明场 TEM 图像和选区衍射图。
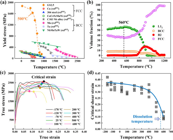
图 5. (a) GS2.5 和其他典型 FCC 和 BCC 合金的热软化行为; (b) GS2.5 中不同相的体积分数随温度增加的变化,显示了 L1 2 相的初始溶解温度; (c) 在不同环境温度下测试的 GS2.5 的动态应力-应变曲线,临界应变用点标记; (d) 临界剪切应变随环境温度的变化。
图 6。(a)帽形样品剪切区温度的直接测量结果(红外探测器);(b)基于热平衡计算的剪切应力及 ASB 内部温度的演化。
图 7. (a) 网格状结构及其在 900 °C 退火后的微观结构演变,以及 (c) 分散结构及其在 900 °C 退火后的微观结构演变 SEM 图像。
图 8. (a) Fe/Ni 界面在相互扩散过程中的浓度演变;(b) 自发分解结构和形核结构界面处的浓度分布,其中阴影区域说明了 Ni 完全溶解所需的浓度变化。
图 9. Ni-Al 合金中 Ni 基体与 Ni 3 Al 析出物之间具有不同界面的原子排列模型:(a)具有过渡界面和(b)不具有过渡界面。面板(c)和(d)分别显示了对应于模型(a)和(b)的 Ni 3 Al 析出物溶解行为的 MD 模拟结果。面板(e)说明了 L1 2 Ni 3 Al 区域中静止 Al 原子浓度的演变(由插图中固定的橙色框突出显示)。
图 10. (a) 实验与模拟的应力和温度演化对比; (b) ASB 起始和最高温度时刻的模拟温度场
图 11. (a) 动态压缩试验的实验与模拟结果对比;(b) ASB 萌发时圆柱试样的温度场演化;(c) ASB 形成时圆柱试样的温度场演化。
对具有高含量共格纳米析出物的 FCC 基高熵合金 GS2.5 的绝热剪切敏感性进行了深入研究,重点关注动态载荷下 ASB 形成的潜在机制。主要结论如下:
(1)与其他通常表现出非常低剪切带能力的 FCC 结构合金不同,GS2.5 在动态载荷下表现出超高的 ASS。GS2.5 的临界剪切应变(与许多剪切敏感性 BCC 合金相当)为 0.32。GS2.5 的超高 ASS 主要归因于动态载荷下相对较低温度时高含量 L1 2 强化析出物的瞬时溶解。
(2)自催化分解类过程使 GS2.5 能够在低温下析出高含量的 L1 2 相,从而降低了溶解的起始温度。这些纳米析出物具有广阔的界面,减少了溶解所需的原子扩散距离,并降低了原子迁移的阻力。此外,这种低能界面阻止了析出相随着温度升高而生长,维持了其纳米级尺寸,这对快速溶解至关重要。
(3)在 ASB 内部测量的局部温度足以激活 L1 2 相的溶解。溶解诱导软化模型足以重现 GS2.5 中观察到的 ASB 行为和温度演变,表明溶解软化在 GS2.5 的超高 ASS 中起主导作用。
免责声明:本网站所转载的文字、图片与视频资料版权归原创作者所有,如果涉及侵权,请第一时间联系本网删除。
官方微信
《腐蚀与防护网电子期刊》征订启事
- 投稿联系:编辑部
- 电话:010-62316606
- 邮箱:fsfhzy666@163.com
- 腐蚀与防护网官方QQ群:140808414















