随着新一代高超声速飞行器飞行马赫数的不断提升,对隔热材料的力学强度、热导率和耐温性提出了更严苛的要求。兼具优异力学强度及隔热属性的多孔陶瓷材料一直是研究学者的追求目标。然而,这两种属性在一定程度上相互制约,对于传统的多孔陶瓷来说往往难以兼得。通过简单降低多孔陶瓷的相对密度,可显著提高材料的隔热性能(≤1 W m-1 K-1),但这又往往导致材料力学强度的大幅下降(≤10 MPa)。同时,多孔陶瓷材料的耐温普遍有限(≤1500 ℃),高温服役过程中常面临着体积收缩、力学性能衰减等问题,无法满足日益严苛的服役需求。
针对上述问题,华南理工大学褚衍辉团队提出通过多尺度结构设计,即通过利用超快速高温合成构造亚微米级超细孔、构建颗粒间的强界面以及引入9元金属阳离子严重晶格畸变,成功制备了兼具超强力学强度和高隔热的高熵多孔硼化物陶瓷材料。该材料在50%气孔率下,实现了337 MPa的压缩强度以及0.76 W m-1 K-1的热导率。同时,该材料还展现出了2000℃高温稳定性,2000℃热处理后收缩率仅为2.4%。2000℃原位高温过程中出现塑性形变,伴随着材料的逐渐致密化,最终力学强度达到了690 MPa。相关研究结果以题为Ultrastrong and High Thermal Insulating Porous High-Entropy Ceramics up to 2000 °C发表于Advanced materials上。华南理工大学的庄磊副教授和褚衍辉研究员为共同通讯作者,博士研究生文子豪和硕士研究生唐忠宇为共同第一作者。华南理工大学为唯一通讯单位。
论文链接:https://doi.org/10.1002/adma.202311870
1、高熵多孔陶瓷材料的多尺度结构设计
多尺度结构设计是该多孔材料具备优异力学和热学性能的关键。如图1所示,在微米尺度上,通过超高温快速合成技术在数十秒内完成烧结,抑制晶粒生长,进而在材料内构筑均匀分布的亚微米级超细孔隙。在纳米尺度上,通过进一步固溶反应,建立晶粒之间强界面结合。在原子尺度上,通过引入9元阳离子严重晶格畸变,提高晶格内部的应力场和质量场波动,提高硼化物的本征力学强度。
图1. 高熵多孔陶瓷多尺度设计示意图:a) 第一步:金属氧化物和硼粉均匀混合。b) 第二步:利用超高温快速合成设备通过硼热还原形成固溶化合物。c) 第三步:使用超高温快速合成设备形成单相9元高熵多孔陶瓷。多尺度设计具有以下特征:d) 超细孔隙,e) 高质量界面,f) 晶格畸变。
2、高熵多孔陶瓷材料的结构表征
本工作以硼粉及高熵氧化物陶瓷粉为起始原料,利用高温硼热还原原理,结合超高温快速合成设备(数十秒内完成升降温),实现了单相9元高熵多孔陶瓷材料的烧结制备。借助XRD和精修计算,验证了所合成的为单相硼化物陶瓷材料。通过高精度CT成像,证明了亚微米级超细孔隙在材料内部的均匀分布。利用高分辨TEM,证实了在陶瓷颗粒间界面结合状态良好,不存在缺陷和非晶相;同时计算了晶格内部的应力分布,证明了其中存在着严重的晶格畸变。
图2. 样品的制备和表征:a) 超高温合成制备的升降温过程。b) XRD衍射图谱。c) XRD衍射精修计算。d) CT重建3D图像。e) 3D重建结构中的孔隙尺寸分布。f) SEM图像。g) 颗粒的TEM及其对应的傅里叶变换(FFT)图。h) 原子弹性应变映射。
3、元素均匀性表征
如图3所示,通过SEM-EDS和TEM-EDS,证明了在微米和纳米尺度上,所有金属元素均匀分布,未出现任何元素的偏析。
图3. 样品的元素分布:a) SEM图像及其相应的EDS能谱。b) TEM透射图像及其相应的EDS能谱。
4、力学性能测试
如图4 所示,所制备的高熵多孔陶瓷材料展现出优异的力学强度,例如50%气孔率下压缩强度为337 MPa,显著高于已报到的多孔陶瓷材料。材料在1500℃高温原位压缩测试中力学强度保持率>95%,达到332 MPa。特别地,材料在1800和2000℃的高温下由脆性断裂行为转变为压缩塑性变形行为,压缩过程中伴随着材料的致密化,最终在约49%应变下强度达到了690 MPa。相较于目前已报道的其他多孔陶瓷,该材料展现出了出色的高温压缩强度。
图4. 力学性能测试结果:a) 不同孔隙率样品的压缩应力-应变曲线。b) 孔隙率45-55%范围内样品压缩强度的Weibull分布。c) 力学强度与报道的多孔陶瓷对比。d) 1500、1800、2000°C原位压缩过程中的应力-应变曲线。e) 1800和2000°C下原位测试过程中样品的应力-孔隙率变化曲线。f)测试工作温度和力学强度与已报道的多孔陶瓷对比。
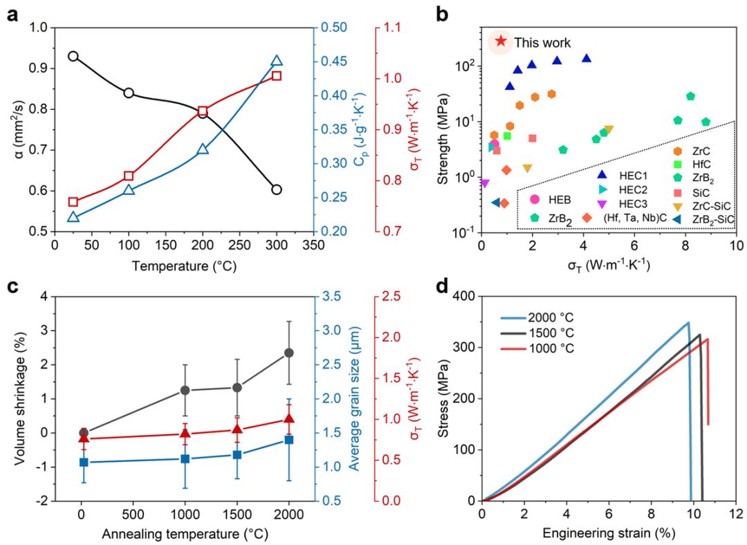
5、热导率及高温稳定性测试
所制备的高熵多孔材料同时还展现出优异的高温隔热性能和热稳定性。如图5所示,材料在50%气孔率下,热导率可低至0.76 W m -1 K-1。在进行1000、1500、2000℃高温热处理后,材料的体积尺寸几乎未发生任何变化(2000℃时收缩率仅为2.4%),力学强无衰减,具有出色的高温热稳定性。
图5. 样品的热导率及高温热稳定性测试结果:a) 室温至300 ℃材料的热导率 T,比热容量Cp和热扩散率 变化情况。b) 热导率、压缩强度与已报到的多孔陶瓷对比。c) 1000、1500和2000℃热处理后样品的体积收缩、平均晶粒尺寸和热导率 T的变化情况。d) 1000、1500和2000℃热处理后样品的压缩应力-应变曲线。
结论与展望:
本工作通过多尺度结构设计,结合超高温快速烧结技术,成功制备了兼具优异力学和隔热性能的高熵多孔陶瓷材料。该材料的优异性能主要源于微观尺度上构筑的超细孔,纳米尺度上强晶间界面结合,以及原子尺度上严重晶格畸变。该高熵多孔陶瓷材料在航空航天、能源化工领域具有广阔的应用前景。
感谢国家自然基金委(52122204和51972116)项目、国家重点研发项目(2022YFB3708 600)、广东省基础与应用基础研究基金(202201010632)的资助。
免责声明:本网站所转载的文字、图片与视频资料版权归原创作者所有,如果涉及侵权,请第一时间联系本网删除。
官方微信
《腐蚀与防护网电子期刊》征订启事
- 投稿联系:编辑部
- 电话:010-62316606
- 邮箱:fsfhzy666@163.com
- 腐蚀与防护网官方QQ群:140808414









