导读:在炼钢过程中产生的不可避免的非金属夹杂物是致命的缺陷,往往会引起钢材严重的腐蚀失效,导致灾难性事故和巨大的经济损失。在过去的几十年里,为解决这一难题做出了广泛的努力,但都没有成功。在此,我们提出了一种用耐腐蚀铌装甲( Z相)包裹有害夹杂物的策略。经过系统的理论筛选,我们将微量Nb引入到双相不锈钢( DSSs )中,形成夹杂物@ Z核壳结构,从而将夹杂物与腐蚀环境隔离。此外,Z相及其周围基体均具有优异的耐腐蚀性能。因此,该策略有效地防止了夹杂物引起的腐蚀,从而双重提高了DSS的耐腐蚀性能。我们的策略克服了长期存在的"夹杂物引起的腐蚀失效"问题,并在一系列DSS和工业生产中被验证为通用技术。
腐蚀是造成钢铁材料失效的主要原因之一,不仅会导致灾难性的安全和环境事故,还会造成巨大的经济损失。据此,设计了一系列耐腐蚀不锈钢(包括奥氏体、铁素体和双相钢等。),以满足长寿命、稳定服役的要求。然而,这些不锈钢在高氯离子浓度、高温、高压的恶劣环境中服役时,仍然会发生严重的腐蚀失效。在炼钢过程中不可避免地产生的非金属夹杂物是众所周知的腐蚀失效诱因之一,其引发腐蚀的机制主要分为两类:围绕夹杂物形成的微缺陷(元素偏析、微裂纹形成、局部应力集中等。)和导电夹杂物与钢基体之间形成的微电偶。针对这一难题,炼钢过程中常采用深脱氧脱硫和夹杂物变性处理,以减轻等不良夹杂物的有害影响。然而,这些方法并不十分有效。夹杂物或周围基体仍会发生腐蚀,因此耐腐蚀性能提升非常有限。迄今为止,仍然没有一种有效的方法可以完全防止夹杂物引起的腐蚀失效。这已成为钢筋腐蚀防护长期科学和工程实践中的瓶颈问题。
根据经典理论,在液体和固体中,形核几乎总是不均匀的,夹杂物往往可以作为合适的形核位置。受这种现象的启发,我们是否可以在夹杂物周围析出耐腐蚀相,并通过一些处理将夹杂物包裹起来?微合金化可能是一种可行的策略,因为钢中的微合金化元素( Ti、V、Nb等。)很容易与C和/或N结合形成碳化物、氮化物和碳氮化物等析出物。如果这种策略可以实现,那么一定的装甲状沉淀物将包裹夹杂物并将其与腐蚀环境隔离,从而有效地防止局部腐蚀。然而,尽管Nb、Ti微合金化在双相不锈钢( DSSs )中已有一定的应用,但相关研究主要集中在其对含Nb / Ti相、铬碳化物和金属间化合物相的析出,以及相应的热加工性能、力学性能和耐腐蚀性能的影响。此外,还通过添加Mo或W等合金元素来提高DSSs的耐腐蚀性能。然而,这些方法并不能解决夹杂物引起的局部腐蚀问题。据我们所知,目前还没有通过应用微合金化技术将耐腐蚀析出相包裹夹杂物以提高DSSs耐腐蚀性能的报道。
在这项工作中,东北大学李花兵教授团队提出了一种通过用耐腐蚀的铌装甲( Z相)包裹有害夹杂物来显著提高DSS耐腐蚀性能的策略。首先通过系统的理论计算比较了Ti、V和Nb元素用于实施策略的可行性,最终选择Nb作为理想的微合金化元素。以S32205 DSS为例,通过添加微量Nb进行微合金化来实现这一策略。在最终制备的钢中,含Nb的Z相确实包裹了夹杂物,形成了夹杂物@ Z核壳结构,从而将夹杂物与腐蚀环境隔离开来。此外,Z相及其周围基体均具有优异的耐腐蚀性能。因此,该策略有效地防止了夹杂物引起的腐蚀,双重提高了S32205 DSS的耐腐蚀性能。最后,团队验证了该策略可以普遍应用于一系列DSS以及工业生产中。相关研究成果以题“Design for improving corrosion resistance of duplex stainless steels by wrapping inclusions with niobium armour”发表在nature communications上。
链接:https://www.nature.com/articles/s41467-023-43752-8
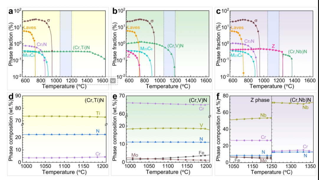
图1:微合金化S32205双相不锈钢的Thermo-Calc结果。含0.25 wt . % Ti、0.25 wt . % V和0.25 wt . % Nb的S32205双相不锈钢中相的析出行为。浅蓝色遮蔽区域代表了热加工和热处理的大致温度范围。( a )、( b )和( c )中的化学成分分别为d ( Cr、Ti)N、e ( Cr、V)N、f Z相和( Cr、Nb)N。( Cr、Ti)N、( Cr、V)N和( Cr、Nb)N属于MN型析出相,其定义分别基于( d )、( e )和( f )中的计算成分。源数据以源数据文件的形式提供。
图2为包合物@ Z核壳结构的表征。固溶态S32205双相不锈钢中夹杂物和Z相的存在状态:a 0 Nb,b 0.10 Nb和c 0.25 Nb。三角形、圆形和方形分别表示单个夹杂物、夹杂物被Z相部分包裹和完全包裹。插入物呈现单包合物和包合物@ Z核壳结构的形貌。d Z相的平均等效直径( d )和数密度( NA )。( d )中的所有误差条表示标准差( n = 30次独立实验) . e Z相包裹的夹杂物比例. f EDS元素面扫描0.25 Nb钢中夹杂物@ Z核壳结构. g TEM,HRTEM图像和0.25 Nb钢中夹杂物@ Z核壳结构的相关衍射花样. ( g )中MA为铝酸镁夹杂物的简称,( g )中δ为铁素体相。源数据以源数据文件的形式提供。
图3:S32205双相不锈钢的电化学和浸泡腐蚀行为。在72℃( p H 8.2 )双浓度模拟海水中的电化学腐蚀行为:b0Nb和c0.25 Nb钢的动电位极化曲线和腐蚀形貌。在50℃、6 % FeCl3溶液中浸泡12 h的腐蚀行为:d腐蚀速率,e试样表面点蚀坑数量,f最大点蚀坑直径,g最大点蚀坑深度。( d )和( e )中的所有误差条表示标准差( n = 3次独立实验)。源数据以源数据文件的形式提供。
图4为S32205双相不锈钢浸泡腐蚀前后的表征。( a , c)和( b ,d)在50°C的6 % FeCl3溶液中浸泡腐蚀前的SEM形貌(左)和AFM形貌(右) b 12 h和d 10 d。0 Nb钢中a,b铝酸镁- MnS夹杂和0.25 Nb钢中c,d铝酸镁-MnS @ Z核壳结构。浸泡腐蚀前铝酸镁- MnS @ Z核壳结构的SEM形貌和f SKPFM图。( f )中箭头线标记的沿铝酸镁- MnS @ Z核壳结构的伏打电位变化。( g )中MA为铝酸镁包裹体的缩写。源数据以源数据文件的形式提供。
图5为Nb微合金化技术的普适性。采用Thermo-Calc计算了Nb含量为0.25 wt . %的系列DSSs中含Nb相的析出行为。b S32101、c S32750和d工业S32205双相不锈钢在72°C ( pH 8.2 )双浓度模拟海水中微合金化和不含0.25 wt . % Nb的动电位极化曲线。插入物呈现出单一包合物和包合物@ Z核壳结构的形貌。源数据以源数据文件的形式提供。
综上所述,李花兵教授团队采用铌装甲( Z相)包裹有害夹杂物的策略克服了长期存在的"夹杂物引起的腐蚀失效"问题,从而显著提高了DSS的耐腐蚀性能。该技术已在一系列DSS和工业生产中得到验证,具有普适性。显然,该策略为不锈钢的腐蚀防护铺平了道路,代表了确保DSSs构建的高端设备长寿命和安全运行的进步。
免责声明:本网站所转载的文字、图片与视频资料版权归原创作者所有,如果涉及侵权,请第一时间联系本网删除。
官方微信
《腐蚀与防护网电子期刊》征订启事
- 投稿联系:编辑部
- 电话:010-62316606
- 邮箱:fsfhzy666@163.com
- 腐蚀与防护网官方QQ群:140808414









