导读:为了建立构型熵与晶格畸变之间的关系,本文采用固相反应法制备了新型稀土单硅酸盐(xRE1/x)2SiO5(RE=Yb,Tm,Er,Y,Dy和Tb,x=2-6)陶瓷材料。(xRE1/x)2SiO5的晶格畸变随着构型熵的增加而逐渐增加,但当构型熵足够大时,该多稀土主元固溶体倾向于形成高对称性的晶体结构,从而抑制了晶格畸变。晶格畸变效应对热学性能及耐CMAS腐蚀能力产生较大影响。(5RE1/x)2SiO5具有最大的晶格畸变,从而获得了较低的热导率和热膨胀系数。此外,(5RE1/x)2SiO5具有良好的耐CMAS腐蚀性。该陶瓷材料在1300 ℃和1500 ℃下腐蚀48 h后,反应层的厚度分别仅有53 µm和46 µm。
SiC纤维增强SiC陶瓷基复合材料(SiC-CMCs)具有优异的热学和力学性能,是先进燃气轮机发动机与航空发动机热端构件的主要候选材料之一。然而,当其在极端环境中,SiC-CMCs往往会遭受高温水蒸气和熔盐(CMAS)腐蚀。因此,迫切需要在其表面制备一层环境障涂层(EBCs)来保护SiC-CMCs。稀土单硅酸盐(RE2SiO5)陶瓷由于其优异的耐腐蚀性、低热导率和良好的化学兼容性,是极具潜力的新型EBC候选材料。但是,稀土单硅酸盐的热膨胀系数较大,与基体不匹配,易产生内应力,导致涂层开裂或剥落。此外,稀土单硅酸盐种类较多,由于稀土离子半径差异,导致性能各异。而平衡调控材料的热学性能、耐腐蚀性及高温结构稳定,提高综合服役性能是稀土单硅酸盐获得实际应用的主要难题。
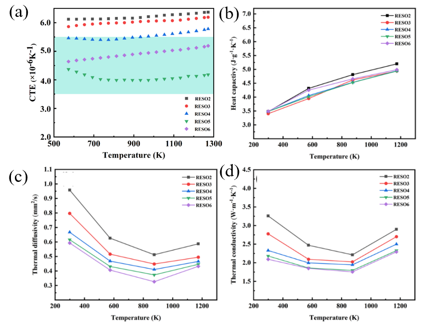
最近,沈阳工业大学材料学院王占杰团队利用构型熵来调控(xRE1/x)2SiO5(RE=Yb,Tm,Er,Y,Dy和Tb,x=2-6)的晶体结构,进而实现优化材料的高温稳定性、热学性能及耐CMAS腐蚀能力等综合性能。首先,采用固相反应法制备了五种低熵、中熵和高熵稀土单硅酸盐(xRE1/x)2SiO5粉体,然后通过无压烧结制备出块体低熵、中熵和高熵(xRE1/x)2SiO5陶瓷材料。(xRE1/x)2SiO5的晶格畸变随着构型熵的增加而逐渐增加,但当构型熵超过1.61R(x=5)时,(xRE1/x)2SiO5陶瓷倾向于形成高对称性的晶体结构,从而抑制了晶格畸变。结果表明:(5RE1/x)2SiO5具有最大的晶格畸变,能够增强声子散射,改变低频声子的非简谐性特征,增加了“负”膨胀贡献声子的比例,从而获得了较低的热导率,及与SiC-CMCs相匹配的CTE值((3.99-4.46)×10 6 K-1)。同时,材料的耐CMAS腐蚀性主要取决于构型熵和晶格畸变。构型熵的增加有利于提高材料在CMAS熔体中的高温稳定性,而[REOm]多面体的晶格畸变可以增强迟滞扩散效应,减少Ca2+对(xRE1/x)2SiO5晶粒的腐蚀。在该体系下,当构型熵为1.61R(即x=5)时,合成的 (5RE1/x)2SiO5陶瓷具有较大的构型熵与最大的晶格畸变,从而展现出优异的耐CMAS腐蚀能力。在1300 ℃和1500 ℃下腐蚀48 h后,反应层的厚度仅为53 µm和46 µm。相关研究结果以题为“Improved thermal properties and CMAS corrosion resistance of rare-earth monosilicates by adjusting the configuration entropy with RE-doping”发表在国际腐蚀领域顶刊Corrosion Science上。材料学院硕士研究生何昱萱为第一作者,王超副教授和吴玉胜教授为本文的共同通讯作者。
论文链接: https://doi.org/10.1016/j.corsci.2023.111664
图1 (xRE1/x)2SiO5陶瓷的微观结构表征。(a-e)(xRE1/x)2SiO5陶瓷的SEM图像和EDS元素图谱;(f)为(xRE1/x)2SiO5陶瓷XRD的精修结果;(g)显示了(xRE1/x)2SiO5陶瓷的XRD图谱;(h)是(xRE1/x)2SiO5和磷灰石的晶体结构;(i)为(xRE1/x)2SiO5陶瓷中[REOm]和[SiO4]多面体的平均键长与晶格畸变度。
图2 (xRE1/x)2SiO5陶瓷的热学性能。(a)在573-1273 K测试温度范围内的热膨胀系数;(b)热容;(c)热扩散率;(d)热导率。
图3 (xRE1/x)2SiO5陶瓷的耐CMAS腐蚀性能。(a-e)在1300 ℃下经CMAS腐蚀48 h后的表面和横截面SEM图像;(f)在1300 ℃下经CMAS腐蚀48 h后的XRD图谱;(g)在1300 ℃下CMAS腐蚀48h后的反应层厚度;(h-l)在1500 ℃下经CMAS腐蚀48 h后的表面和横截面SEM图像;(m)在1500 ℃下经CMAS腐蚀48 h后的XRD图谱;(n)在1500 ℃下CMAS腐蚀48h后的反应层厚度;(o)为残余CMAS熔体、石榴石、反应磷灰石和石榴石中磷灰石相中稀土元素的含量。
免责声明:本网站所转载的文字、图片与视频资料版权归原创作者所有,如果涉及侵权,请第一时间联系本网删除。
-
标签: 沈阳工业大学, 腐蚀顶刊, Corrosion Science, 稀土单硅酸盐
官方微信
《腐蚀与防护网电子期刊》征订启事
- 投稿联系:编辑部
- 电话:010-62316606
- 邮箱:fsfhzy666@163.com
- 腐蚀与防护网官方QQ群:140808414







