强度和韧性是金属结构材料的两个重要力学性能,但二者往往存在“倒置”关系,如何同时提高强度和韧性是力学和材料学领域研究的热门课题。近年来,亚稳高熵合金在低温下表现出优异的强度和韧性,为有效解决该问题提供了潜在机会,因而高熵合金的亚稳化设计理念受到了广泛关注。
为了更好地理解结构材料的亚稳特性并其优化力学性能,燕山大学材料学院张宴会老师及其合作者,采用多种先进的结构搜索技术,探索了典型耐高温体系Ti-Zr-Hf-Ta庞大的构型空间和复杂的能量空间。相关工作得到国家自然科学基金,河北省自然科学基金、河北省教育厅、河北省金属产品工艺及性能优化控制重点实验室、爱尔兰研究委员会等的资助。论文以“Metastable high entropy alloys of TiZrHfTa with glass-like characteristics at low temperatures”发表在金属材料领域顶级期刊Acta Materialia,作者为张宴会,周云凯,王利民,Stefano Sanvito。张宴会老师是该论文的通讯兼第一作者。
论文链接:
https://doi.org/10.1016/j.actamat.2023.119031
图1:非晶物理和亚稳高熵合金之间的内在关联性示意图:高熵合金在高温下呈现出高熵稳定的无序混合固溶体特性,但在低温下呈现出类玻璃的特征,比如,浅势能面和宽的能谷、能态多样性和可变性、局部原子结构的灵活性(发生短程有序化和马氏体相变等转变)。
研究结果表明,随着该体系中Ta含量的降低,其势能面由典型晶体材料的深势阱,逐渐向类似于非晶材料的浅势能面和宽能谷化发展(图2)。这很好地解释了实验发现低Ta含量时出现的亚稳结构演化和马氏体相变现象。此外,通过与混溶度高的Zr-Hf和混溶度低的Zr-Ta体系进行对比分析发现,虽然高温下TiZrHfTa具有高构型熵稳定化的固溶体结构和成分均匀性,但是在低温下,展现出了热力学亚稳性、能态多样性(图3和图4)、结构的灵活性(短程有序化情况见图5),以及由Zr-Ta原子对分离诱发的局部成分和原子结构的异质性(图4和图6);而在高温下又会呈现出典型的由高构型熵稳定的无序混合固溶体特性。值得注意的是,这些低温下的能量和结构特性,常常出现在非晶合金体系中,与混溶度较好的固溶合金截然不同。
图2 (TiZrHf)1-xTax势能面的3D和2D投影图(以晶格常数a和轴比c/a为参数构建)。(a~c)为包含36个原子的SQS超胞模拟结果,Ta含量分别为0.250,0.167,0.138。图(d~f)为包含72个原子的SQS超胞模拟结果,Ta含量分别为0.250,0.208,0.167,0.125。
图3 等摩尔比合金的形成能分布图(a)hcp ZrHf,(b)bcc ZrTa,(c)bcc TiZrHfTa。对于每组合金而言,使用了三种不同的结构采样方法:枚举非等价的超胞法,基态全局搜索法和Wang-Landau加速采样法
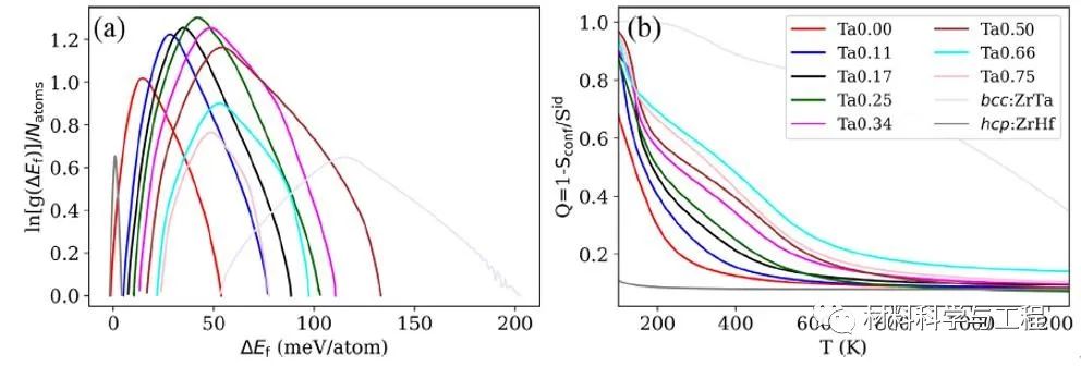
图4 基于Wang-Lauda蒙特卡洛采样和集团展开开展ZrHf(hcp),ZrTa(bcc),ZrHfTa(bcc)和TiZrHfTa(bcc)合金的热力学学对比分析:(a)构型态密度,(b)构型熵,(c)构型潜热,(d)构型熵与理想混合熵的偏差程度
图5 Warren-Cowley短程有序参数随温度的变化情况:(a)Zr-Hf原子对,(b)Zr-Ta原子对。这里对比了ZrHf(hcp)、ZrTa(bcc)、ZrHfTa(bcc)和TiZrHfTa(bcc)合金短程有序化的差异性。
图6(a)构型态密度和(b)构型熵与理想混合熵偏差程度随Ta含量的变化情况。这里也与ZrHf(hcp),ZrTa(bcc)合金进行了对比分析。
该工作聚焦于高熵合金的亚稳设计理念,从势能面、能量展宽、局部原子结构和化学复杂性等维度探讨了亚稳晶态HEA和亚稳非晶态物质的相似之处,为建立高熵合金亚稳设计和玻璃化行为间的联系奠定了理论基础,为亚稳高熵合金的成分设计提供了理论指导,也为理解高熵合金亚稳态的物理机制提供了新思路。
免责声明:本网站所转载的文字、图片与视频资料版权归原创作者所有,如果涉及侵权,请第一时间联系本网删除。
官方微信
《腐蚀与防护网电子期刊》征订启事
- 投稿联系:编辑部
- 电话:010-62316606
- 邮箱:fsfhzy666@163.com
- 腐蚀与防护网官方QQ群:140808414










