第一作者:李浩哲
通讯作者:李小琳,王海丰
通讯单位:西北工业大学
https://doi.org/10.1016/j.jmst.2023.02.016
01 全文速览
本文设计并制备了AlCr0.5NbTaxTi4–x (x = 0, 0.5, 1;分别命名为Ta0,Ta0.5和Ta1)难熔高熵合金,其中Ta1合金在高温下表现出优异的力学及耐磨性能。通过向合金中引入并调控Ta元素的含量,使合金发生更为剧烈的晶格畸变,从而以增强固溶强化效应的方式来提高合金的高温强度。此外,还观察到了在高温下由摩擦和氧化共同作用形成的纳米多层结构。Ta元素在最表层的氧化摩擦层中形成了具有高温润滑作用的Ta2O5,进一步改善了合金的高温耐磨性能,最终使Ta1合金在800 ℃时的磨损率低至4.40×10–7 mm3/N·m。该研究从组成成分和组织形貌等方面讨论了摩擦层对合金减摩抗磨能力的影响,为设计开发新型高温高强耐磨合金提供了一种新思路。
图1 Ta0和Ta1合金在室温和800 ℃的磨损机理示意图
02 研究背景
难熔高熵合金是超高温环境服役的理想材料,然而许多难熔高熵合金表现出室温脆性,且抗氧化性能和相稳定性较差,这阻碍了其高温下的长期服役前景。目前主要通过向合金中引入Al、Cr等元素,或生成AlTaO4和CrTaO4等复合氧化物来改善抗氧化性能,但往往使合金的塑性下降。而Hf0.5Nb0.5Ta0.5Ti1.5Zr合金密度低,在室温下有着良好的塑性,因此可对其组元中抗氧化性能较差的Hf、Zr等元素进行替换,以实现高温下的抗氧化性能、力学性能和耐磨性能相匹配。因此,通过成分设计调控合金在高温下的摩擦及氧化产物,是改善其高温耐磨性能的关键。本文详细研究了Ta元素对组织结构的影响以及合金的高温摩擦学行为,探讨了不同温度下的磨损机制演变规律及高温摩擦梯度结构的形成机理。
03 本文亮点
(1) 设计了成分为 AlCr0.5NbTaxTi4-x(x=0、0.5、1)的难熔高熵合金,其在高温下表现出优异的耐磨性能。
(2) 阐明了合金在不同温度下的磨损机制变化,明晰了Ta元素对合金高温耐磨性能的影响。
(3) 为合金在高温严苛环境的应用提供理论基础和潜在材料选择。
04 图文解析
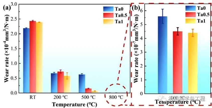
图2 (a)三种合金在不同温度下的磨损率对比;(b)合金在800 ℃时的磨损率放大图
图3 (a-c)三种合金在不同温度下的磨痕轮廓对比;(d) Ta1合金在不同温度下的三维磨痕形貌图
Ta0.5和Ta1合金的磨损率在高温下均低于Ta0合金,且随着Ta元素含量的增加磨损率呈现降低的趋势。各合金磨痕轮廓随温度的变化趋势比较类似,在室温下的磨痕中观察到了宽且深的磨损轨迹。随着温度的升高,磨痕尺寸显著减小。磨痕截面轮廓在室温和200 ℃时波动最为明显,这是由于在较低温度摩擦时产生剧烈的黏着和剥落。通过Ta1合金从室温到800 ℃的磨痕三维轮廓形貌看以看出随着温度的升高,磨痕的尺寸在长度、宽度和深度三个方向上均显著减小。
图4 800 ℃时(a, d) Ta0;(b, e) Ta0.5;(c, f) Ta1合金磨损截面组织及其放大图
图5 Ta1 合金在800 ℃摩擦后的横截面微观结构:(a)磨痕表面的SEM显微组织,(c-e)分别为(b)和(c)中红色方框的HAADF和EDS图像
图6 Ta0 合金在800 ℃摩擦后的磨痕截面TEM形貌像:(a)磨痕截面的明场像以及区域A和B的SAED图;(b, c)氧化摩擦层的暗场相和晶粒尺寸分布图;(d) O、Al、Cr、Nb和Ti元素分布的HAADF形貌像;(e, f)氧化物层中层状结构的HRTEM图像和FFT衍射谱
通过对比合金的磨痕截面组织形貌,发现Ta0合金出现了明显剥落和凹坑(图4a),导致其磨损率高于其他两种合金。在Ta0.5合金中观察到了微裂纹(图 4b和e),而Ta1合金只存在微犁沟(图4c和f)。为了进一步观察高温摩擦后组织演变规律并分析耐磨性能强化机理,通过TEM对Ta1和Ta0合金的磨痕亚表层组织进行分析。两种合金中均出现了由最表层的氧化摩擦层、次表层的摩擦变形层和最下方的未变形的氧化物层共同组成的层状组织。通过对氧化摩擦层进行衍射标定,发现Ta0合金的氧化摩擦层由TiO2和Al2O3组成, Ta1合金则为TiO2和Ta2O5,这种成分上的差异使Ta1合金获得了最佳的耐磨性能。此外,由纳米晶组成的氧化摩擦层通过对位错的钉扎和限制,使合金表面硬化。而摩擦变形层的存在可以起到防止变形进一步向下扩展的作用,并对摩擦力和剪切力起到一定的缓冲作用,最终在共同作用下使合金的高温耐磨性能得到大幅提升。
05 结论展望
本文研究了AlCr0.5NbTaxTi4–x (x = 0, 0.5, 1)难熔高熵合金的高温力学及耐磨性能。对合金的磨痕表面、磨痕截面和对磨副的微观形貌以及磨痕亚表层组织演变规律进行了详细分析。随着实验温度的升高,合金主要的磨损机制由室温下的黏着磨损和磨粒磨损转变为高温下的氧化磨损。在高温氧化和摩擦力的共同影响下,形成了由最上方的氧化摩擦层、中间的摩擦变形层以及最下方的氧化物层组成的摩擦层,使合金获得了优异的高温耐磨性能。合金的高温耐磨性能拓宽了其在高温环境下的应用前景,为设计开发新型高温高强耐磨合金提供了一种新思路。
免责声明:本网站所转载的文字、图片与视频资料版权归原创作者所有,如果涉及侵权,请第一时间联系本网删除。
官方微信
《腐蚀与防护网电子期刊》征订启事
- 投稿联系:编辑部
- 电话:010-62316606
- 邮箱:fsfhzy666@163.com
- 腐蚀与防护网官方QQ群:140808414










