北科大《Corrosion Science》:Te对15-5PH不锈钢耐腐蚀性能的双重影响机制!
2023-02-07 16:53:56
作者: 材料科学与工程 来源: 材料科学与工程
分享至:
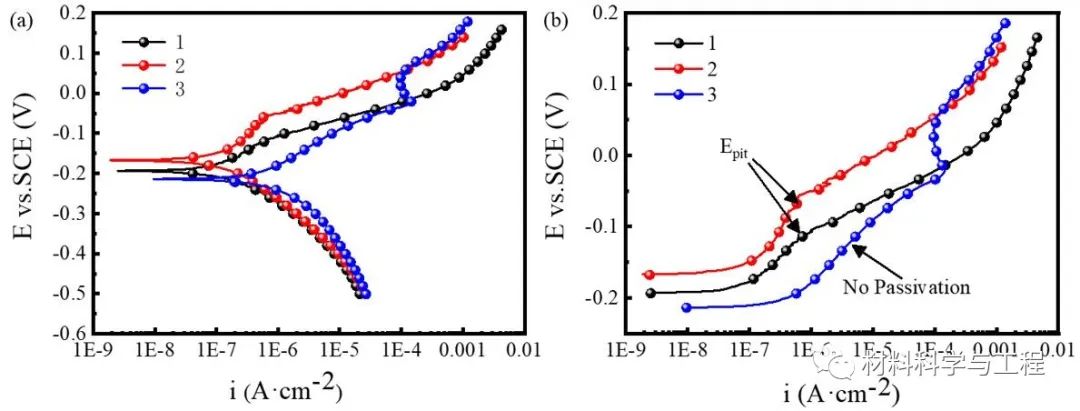
15-5PH不锈钢具有较高的强度和韧性,广泛地应用于航空航天、核工业等高科技行业。然而,15-5PH不锈钢中夹杂物的存在严重影响了其耐蚀性,限制了其在实际中的使用寿命和安全性。MnS是15-5PH不锈钢中的典型夹杂物,通常为钢材局部腐蚀的起始位置。据报道,钢中加入Te可以有效对MnS进行改性。不锈钢中添加Te后会形成Te-S-Mn复合夹杂物。钢中夹杂物的电化学特性与夹杂物诱导局部腐蚀的机理直接相关。然而,目前关于Te对不锈钢的耐腐蚀性能和局部腐蚀机理影响的研究仍然缺失。北京科技大学李晓刚教授团队联合李京社教授团队,通过微合金化对15-5PH不锈钢中的夹杂物进行了调控。并在模拟海洋环境中研究了Te对15-5PH不锈钢腐蚀机理的影响规律。Te元素调控有效改善了钢中MnS夹杂的成分、形态和数量。微区电化学性能测试结果证实了MnS和钢基体之间的电偶腐蚀作用,表明MnS以电化学溶解的方式诱发点蚀的萌生添加Te元素后,形成的含Te复合及杂物的表面电势发生显著改变,且具有良好的导电性,改变了点蚀萌生机理。适量添加Te元素可提高钢材耐蚀性能。然而,由于夹杂物中含Te部分的持续阴极效应,以及大量TeO3的溶解对钝化膜稳定性地破坏,过量添加Te会导致耐蚀性能的退化。相关研究成果以题为“Mechanism of the dual effect of Te addition on the localized corrosion resistance of 15-5PH stainless steel”发表在《corrosion science》上。https://www.sciencedirect.com/science/article/pii/S0010938X23000124采用FE-SEM-EDS对不同样品中的夹杂物进行了表征(图1)。适当添加Te,钢中尺寸较小的夹杂物明显增多,有效降低点蚀形核率,提高钢材耐腐蚀性能。过量添加Te导致钢中形成较大尺寸的复合夹杂物。在嵌入夹杂/基体界面的Te与基体之间的电偶效应以及侵蚀性溶液环境的耦合作用下,暴露在凹坑中的新鲜基体会迅速溶解,导致钢材耐腐蚀性能衰减。图1 (a)-(b)1#,(c)-(d)2#,(e)-(f)3#,(g)MnS-Te的三维形貌,(h)1#,2#,3#夹杂物的尺寸分布,(i)1#,2#,3#夹杂物的密度分布。利用SKPFM和CSAFM检测了MnS-Te复合夹杂物的局部电化学信息(图2)。含Te复合夹杂物中,Te增加了夹杂物的Volta电位,改变了局部腐蚀机理。夹杂物和基体表现出良好的导电性,MnS-Te夹杂物与钢基体之间存在三对电偶。图2 MnS-Te夹杂物的SKPFM和CSAFM测试结果,(a)MnS-Te形貌和EDS图,(b)AFM形貌,(c)SKPFM图,(d)CSAFM图,(e)在(a)相同区域的AFM线轮廓分析极化曲线测试表明适量添加Te提高了钢材的耐蚀性(图3)。过量添加Te,材料表现出活化性能,说明过量添加Te减弱了钢材的耐腐蚀性能。图3 室温下15-5PH马氏体不锈钢在1wt.%NaCl中的电位极化曲线,(a)极化曲线,(b)阳极极化曲线在晶界处聚集的Te和夹杂物中含有的Te导致钢表面形成含Te钝化膜。钢中加入过量的Te后,钝化膜中生成大量的TeO3,这可能导致钝化膜的分解。随着溶解的进行,Te的氧化物含量减少,钝化膜的溶解速率降低。因此,3#钢的曲线产生了波动。图4 2#的XPS峰分布,在不同电位下形成钝化膜:(a1–a2)Cr2p3/2;(b1–b2)Fe2p3/2;(c1–c2)O1s;(d1–d2)Te3d5/2图5 3#钝化膜在不同电位下的XPS峰分布:(a1–a2)Cr2p3/2;(b1–b2)Fe2p3/2;(c1–c2)O1s;(d1–d2)Te3d5/2适量添加Te形成了小尺寸MnS-Te夹杂物,MnS优先溶解在阳极相中。在MnS完全溶解后,Te从钢基体中释放出来并进入溶液中。过量添加Te降低了15-5PH不锈钢的耐蚀性,这是由于复合夹杂物中Te的持续阴极效应促进了基体的腐蚀。图6 (a)1#,(b)2#,(c)3#中不同夹杂物在浸泡不同时间(1)10min,(2)30min,(3)90min后局部腐蚀形貌的FE-SEM-EDS图像图7 夹杂物局部腐蚀过程示意图:(a)MnS,(b)MnS-Te图8 利用FactSage软件计算了(a)Fe-Mn-S-H2O,(b)Mn-Te-S-H2O,(c)Fe-Te-H2O体系在298.15K时的布拜图
在本工作中,研究了Te对15-5PH钢局部腐蚀机理和耐蚀性的影响。MnS-Te复合夹杂物在钢基体中表现出良好的导电性能。Te、MnS和钢基体之间形成了3对电偶,Te改变了MnS夹杂物诱发点蚀的机理。适量添加Te可以提高15-5PH不锈钢的点蚀电位和耐蚀性能,过量添加Te削弱了钢的耐腐蚀性能。随着Te含量的增加,钝化膜中Te的氧化物含量增加,这可能导致钝化膜容易分解。过量添加Te,复合夹杂物中Te的持续阴极作用降低了15-5PH不锈钢的耐蚀性。
免责声明:本网站所转载的文字、图片与视频资料版权归原创作者所有,如果涉及侵权,请第一时间联系本网删除。