近年来,随着经济和社会的发展,石油、核电和造船工业需要具有优异耐腐蚀性的独特金属材料。然而,高腐蚀电阻合金,如钛合金,镍合金,不锈钢等介绍各种昂贵的合金元素。它会增加制造和回收成本,限制了其在高端装备和民用领域的广泛应用。因此材料的优化设计理念致力于追求低成本和高性能。低合金钢表面覆盖着不锈钢钢板,即不锈钢复合板。它不仅展示了碳钢基体的屈服强度较高,而且表现优异不锈钢包层耐腐蚀性能。在如茫茫大海的众多制造方法中,真空热轧是最经济的大型不锈钢复合板工业化生产方法。
河北工业大学材料科学与工程学院天津市材料层状复合与界面控制技术重点实验室殷福星教授团队的相关研究成果以题“The evolution behavior and constitution characteristics of interfacial oxides in the hot-rolled stainless steel clad plate”发表在Corrosion Science 上。
对界面氧化物的演化过程及形成机理不同真空度的热轧不锈钢复合板进行了系统的调查。揭示了数字,类型,界面氧化物的尺寸和分布随着真空的变化而变化度,具体结论如下:
(1)随着真空度的增大,细小、稀疏、点状或棒状的纳米氧化物将取代粗块状的纳米氧化物界面氧化物,Cr元素被Mn和Si元素取代,由于低氧分压,导致Mn2SiO4的析出。
(2)在低真空度下,许多粗糙的Cr2O3和MnCr2O4复合材料的氧化物被非晶态SiO2薄膜包被,形成类似“梅”的粗糙松散的结节状结构布丁模型”。它会破坏热轧制不锈钢复合板的界面结合。
(3)在10−2 Pa的高真空度下,出现了许多纳米级的点状或棒状无定形Mn2SiO4氧化物均匀分散在热轧覆层界面处,这强化和加固了实际界面。
链接:https://www.sciencedirect.com/science/article/pii/S0010938X22007843
图 1
图1所示,制作工艺示意图。(a, b)钢坯装配顺序;(c)机械泵和扩散泵;(d)热轧机;(e)不锈钢
钢板。
图 2
图2所示,不同真空度不锈钢复合板(不锈钢:SS;碳钢:CS)。
图 3
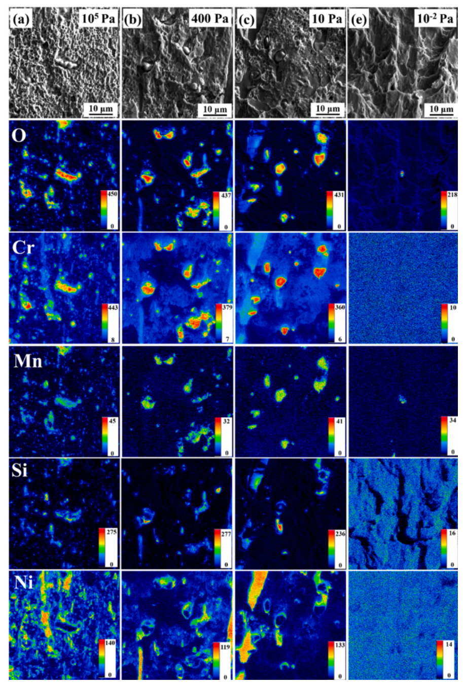
图3,不同真空度热轧覆层界面的EPMA图。
图 4
图4,不同真空度(a-d) 105 Pa时,包层界面氧化物的(a, e, i) TEM显微组织和(b-d, f-h, j-l)相应的SAED图像。
图 5
不同真空度下复合界面氧化物的TEM微观结构和EDS扫描曲线。
图 6
图6所示。在10 Pa真空度下,研究了复合界面氧化物的TEM微观结构。
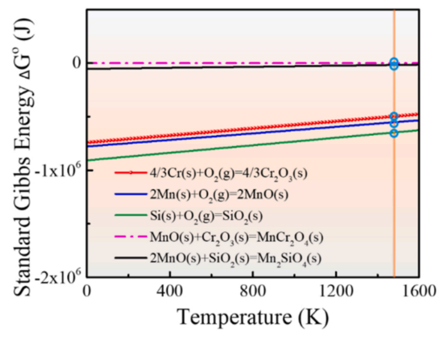
图 7
图7所示,温度和反应吉布斯能之间的关系。
图 8
图8所示。不同真空度热轧不锈钢复合板界面氧化物演化机理示意图。
图 9
图9所示。不锈钢复合板在不同真空度下的正态拉伸剪切断裂特征及相应的EPMA映射。
图 10
图10所示,不锈钢复合板在不同真空度下的正态拉伸剪切断裂特征及相应的EPMA映射。
图 11
图11所示。不同真空度下界面剪切破碎带变化示意图。
免责声明:本网站所转载的文字、图片与视频资料版权归原创作者所有,如果涉及侵权,请第一时间联系本网删除。
官方微信
《腐蚀与防护网电子期刊》征订启事
- 投稿联系:编辑部
- 电话:010-62316606-806
- 邮箱:fsfhzy666@163.com
- 腐蚀与防护网官方QQ群:140808414















